2.4.2 深基坑支护结构
深基坑开挖采用放坡无法保证施工安全或场地无放坡条件时,一般采用支护结构临时支挡,以保证基坑的土壁稳定。深基坑支护结构既要确保坑壁稳定、坑底稳定、邻近建筑物与构筑物和管线的安全,又要考虑支护结构施工方便、经济合理、有利于土方开挖。
重力式支护结构:重力式支护结构丰要通讨加固基坑周边十形成一定厚度的重力式墙,以达到挡土目的。常用深层搅拌水泥桩支护墙,即在基坑四周用深层搅拌法将水泥与土拌和,形成块状连续壁或格状连续壁与壁间土组成复合重力式支护结构。这种支护墙具有防渗和挡土的双重功能,要求两桩间应搭接200 mm。宜用于场地较开阔,挖深不大于7 m,土质承载力标准值小于140 kPa的软土或较软土中。此外,尚有高压旋喷帷幕墙、水泥粉喷桩、化学注浆防渗挡土墙等形式的重力式支护结构。深层搅拌水泥桩支护墙宜用强度为42.5 MPa的水泥,掺灰量应不小于10%,以12%~15%为宜。横断面宜连续,形成封闭的实体或格状结构。为保证水泥壁与土形成复合体,格子间的土体面积应满足下式:

式中 F——格子内土的面积(m2);
r——土的重度(kN/m3);
C——土的黏聚力(kN/m2);
μ——格子的周长(m)。
重力式支护结构的破坏包括强度和稳定性两方面,而强度和稳定性的验算又必须先知道支护结构的断面尺寸。所以,一般先根据下式估算断面尺寸
D=(1.0~2.0)h
B=(0.4~0.8)h
式中 D——墙的埋深(m);
h——墙的挡土高度(m);
B——墙的底宽(m)。重力式支护结构的稳定性验算内容包括抗倾覆验算、抗滑移验算、整体圆弧滑动验算、抗隆起验算和管涌验算等。
1.抗倾覆验算
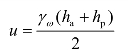
如图2.16,水泥桩支护墙如截面、重量不够大,在墙后推力作用下,会产生整体倾覆失稳,抗倾覆安全系数为

式中 ∑MEP,∑MEa分别为被动土压力与主动土压力绕墙前趾a点的力矩之和(kN·m);
∑Mw一墙前与墙后水压力对A点的动力矩之和(kN·m);
G——墙身重量;
B——墙身宽度;
u——作用于墙底面上的水浮力

ha——主动侧地下水位至墙底的距离(m);
hp——被动侧地下水位至墙底的距离(m);
lw——的合力作用点距A点的距离(m);
K0——抗倾覆安全系数,应大于1.0~1.1,当用朗肯公式计算时,应大于1.2~1.5。

图2.16
2.抗滑移验算
当水泥桩支护墙与土间产生的抗滑力不足以抵抗墙后的推力时,支护墙会产生整体滑动,使墙体失效。为此,需进行抗滑移验算。如图2.16,水平滑动安全系数为

式中 ∑Ep,∑Ea——分别为被动和主动土压力的合力(kN);
∑Ew——作用于墙前墙后水压力的合力(kN)
φcq——墙底处土的固结快剪摩擦角(度);(https://www.daowen.com)
Ccq——墙底处土的固结快剪黏结力(kPa);
Ks——抗水平滑动安全系数,取1.1~1.2,当用朗肯公式计算时,取1.25~1.55。
3.抗圆弧滑动验算
水泥桩支护墙由于水泥掺入量较少,因此只能把它看作是提高了强度的一部分土体,进行整体圆弧滑动计算,如图2.17。计算方法采用本节中介绍的“条分法”。由于水泥桩支护墙有时是按格状布置,沿桩墙部分滑动面上的内聚力可按下式估算:
Cai=Ci(1-ac)+Ccoi·ac
式中 Cai——第i个水泥桩条的平均内聚力(kPa);
Ci——第i个土条的内聚力(kPa);
Ccoi——水泥桩的内聚力(kPa);
ac——置换率(单位长度内水泥桩面积与桩墙面积之比)。

图2.17
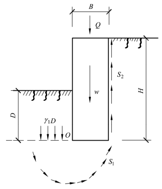
4.抗基底隆起验算
开挖较深的软黏土基坑时,如果桩墙的重量超过基坑底面以下地基的承载力时,地基中的平衡状态受到破坏,就会发生坑壁土流动,坑顶下陷、坑底隆起的现象,为防止这种现象发生,需验算地基是否会产生隆起。常用地基稳定验算法如图2.18。

图2.18 重力式挡土结构承载地基稳定性验算

图2.19 抗渗(管涌)稳定验算

式中 S1——墙底一倍墙体宽度范围内的平均强度;
S2——墙底以上土的平均强度;
Η——墙体深度;
Β——墙体宽度;
D——墙体插入深度;
W——墙重量;
Q——作用在墙顶的荷载;
Fa——安全系数。
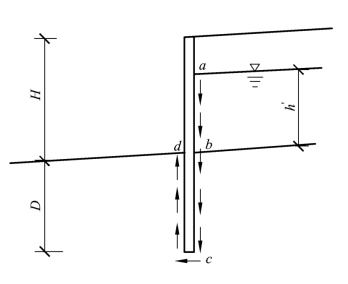
5.抗渗稳定(管涌)验算
基坑开挖后,地下水形成水头差h',使地下水由高处向低处渗流。因此,坑底下的土浸在水中,在水中,其有效重量为浮重力密度γ'基坑管涌的计算简图见图2.19。当地下水的向上渗流力(动水压力)大于土的浮重力密度时,土粒则处于浮动状态,于坑底产生管涌现象。要避免管涌现象产生,必须满足下式:

式中 FS——安全系数,对影响范围内的1、2、3级建筑物,FS值分别取1.6、1.55和1.5。
h'——地下水形成水头差;
γ'——坑底土浸水浮重力密度;
D——墙体插入深度;
γw——水的重度。