4.2.1 水下灌筑法

4.2.1 水下灌筑法

水下灌筑法有直接灌筑法、导管法、泵压法、柔性管法和开底容器法等。通常施工中使用较多的方法是导管法。导管法,是将混凝土拌合物通过金属管筒在已灌筑的混凝土表面之下灌入基础,这样,就避免了新灌筑的混凝土与水直接接触。导管,一般直径200~300 mm,每节长为1~2 m,各节用法兰盘连接,以防漏浆和漏水。使用前需将全部长度导管进行试压。导管顶部装有混凝土拌合物的漏斗,容量一般为0.8~1 m3。漏斗和导管使用起重设备吊装安置在支架上。导管下口安有活门和活塞从导管中间用绳或铅丝吊住,灌筑前用于封堵导管。活塞可用木、橡皮或钢制,如采用混凝土制成,可不再回收。开始灌注前,应先清理基底,除去淤泥和杂物,并符合设计要求的高程。

为使水下灌筑的混凝土有足够的强度和良好的和易性,应对材料和配合比提出相应要求,一般水泥采用普通硅酸盐水泥或矿渣硅酸盐水泥,标号不低于325号,并试验水泥的凝结时间。为了保障混凝土强度,水灰比不宜大于0.6。混凝土拌合物坍落度为15~20 cm,粗骨料可选用卵石,最大粒径不应超过管径的1/8。为了改善混凝土性能,可掺入表面活性外掺剂,使形成粘聚性好,泌水性小的流态混凝土拌合物。

灌筑开始时,将导管下口降至距基底表面;H1约30~50 mm处,太近则容易堵塞。第一次灌入管内的混凝土拌合物数量应预先计算,要求灌入的混凝土能封住管口并略高出管口,H2应为0.5~1 m。管口埋入过浅则导管容易进水;过深管内拌合物难以倾出。此外,管内混凝土顶面应高出水面H3约2.5 m,以便将混凝土压入水中。

当管内混凝土的体积及高度满足以上要求时,剪断铅丝,混凝土拌合物冲开塞子而进入水内,如用木塞则木塞浮起,可以回收。这一过程称为“开管”。此后一边均衡地灌筑,一边缓缓提起导管,并保持导管下口始终在混凝土表面之下。防止地下水把上、下两层混凝土隔开,影响灌筑质量。灌筑速度以每小时提升导管0.5~3 m为宜,灌筑强度每个导管可达15 m3/h。

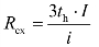
开管以后,应注意保证连续灌筑,防止堵管。当灌筑面积较大时,可以同时用数根导管进行。导管的作用半径与混凝土坍落度及灌筑压头有关,—般为3~4 m。导管的极限扩散半径亦可用下式计算:

图示

式中 Rex——水下混凝土极限扩散半径;

th——水下混凝土拌和物流动性指标;(https://www.daowen.com)

I——水下混凝土面上$速度(m/d);

I——扩散平均坡率,被1/5。

采用多根导管同时进行灌注,要合理布置导管,以混凝土顶面标高不致相差过大。水下混凝土灌筑完毕后,应对顶面进行清理,清除顶面厚约20 cm一层的松软部分然后再建造上部结构。

水下封底混凝土标号,相当强度等级C15,考虑开始灌筑的混凝土会与水接触减低质量,因此,在开始时另加10%的水泥用量配制。混凝土坍落度18~22 cm,开始时采用16 cm,正常施工后,改用20 cm。该工程封底混凝土总量为4 000 m3,用两座水上凝土搅拌站与两座陆上搅拌厂共同供应,混凝土的供应量为80 m3/h。导管采用直径15 cm的钢管,导管间连接为法兰盘石棉垫圈。导管作用半径为3.5~4.0 m,实际上在深水区施工时,可以增大至6 m以内。

在大体积水下灌注混凝土施工中,应保持连续作业以提高混凝土的均匀性;为了防止发生导管堵塞,导管插入混凝土的深度—般为1 m左右,并保证管内混凝土柱高超过水压到达水面以上的漏斗颈处。为此,就必须保持混凝土拌合物的灌筑速度这一关键环节。

根据施工经验,水下灌筑混凝土,其表面会产生厚约10 cm泡沫层,而在30~40 cm范围内质量较差,因此,必须用风铲铲除。

该泵站基础部分采用直径55 cm的预制钢筋混凝土管柱桩,经打入后管柱内混凝土灌注亦采用了导管法施工。

泵压法:当在水下需灌筑的混凝土体积较大时,可以采用混凝土泵将拌合物通过导管灌筑,加大混凝土拌合物在水下的扩散范围,并可减少导管的提升次数及适当减低坍落度(10~12 cm)。泵压法的一根导管的灌筑面积达40~50 m2,当水深在15 m以内时,可以筑成质量良好的构筑物。