2.1.4 斯宾塞法
斯宾塞假定相邻土条之间的法向条间力E与切向条间力X之间有一固定的常数关系,即

因此各条间力合力P的方向是相互平行的。取垂直土条底部方向力的平衡,则
Ni+(Pi-Pi+1)sin(ai-θ)-Wicosai=0
再取平行土条底部方向力的平衡。
则
Ti-(Pi-Pi+1)cos(ai-θ)-Wisinai=0
同时根据安全系数的定义及摩尔—库伦准则,可得

又li=bisecαi。综合上列各式,可求出土条两侧条间力合力之差为

对整个滑动土体来说,为了要维持力的平衡,必须满足水平和铅直方向的平衡条件

因为θ是个常数,sinθ和cosθ不可能为零。因此,上列两式实际上是同一个平衡条件,即
∑(Pi-Pi+1)=0 (2.42)
同样,对整个滑动土体,还必须满足力矩平衡条件,即
∑(Pi-Pi+1)cos(ai-θ)R=0 (2.43)
式中,R为各土条底部中点离转动中心的距离,如果取滑裂面为圆柱面,R就是圆弧的半径,而且对所有土条都是常数,上式可写成
∑(Pi-Pi+1)cos(ai-θ)=0 (2.44)
将式(2.41)分别代入式(2.42)及式(2.44),可得到两个方程,而当土坡的几何形状及滑裂面已定,同时土质指标又已知时,只有θ及FS两个未知数,问题因而得解。
斯宾塞法的具体解题步骤如下。
(1)任意选择一圆弧滑裂面,划分垂直土条,宽度相同,在图上量出土条中心高h及底坡a。
(2)选定若干个θ值,对于每一个θ值,都可求出不同的FS值以满足式(2.42)及式(2.44),用力的平衡方程式(2-42)得到的FS值以Fsf表示,而以力矩平衡方程式(2.44)求得的为FSm,当θ=0°时,用力矩平衡方程求得的安全系数称为FSm0,它相当于用简化毕肖普法求出的FS值。
(3)作出Fsf-θ及Fsm-θ关系曲线,绘于同一张图上,如图2-10所示,两条曲线的交点就给出了同时满足式的安全系数Fs及条间力的坡度θ。

图2.10 斯宾塞法Fs-θ关系曲线
(4)以求出的F及θ,从上往下逐条求出每一土条两侧的条间力合力,井由此求出土条分界面上的法向力及剪力,然后根据分界面上土的强度指标,求出抗剪安全系数Fu。
(5)再从上住下逐条求出条间力合力作用点的位置,这可以通过对土条底部中点求力矩得出。
(6)重新选择滑裂面,重复上述步骤,以求得最危险的滑裂面位置及Fsmin值。
摩根斯坦-普赖斯首先对任意曲线形状的滑裂面进行了分析,导出满足力的平衡及力矩平衡条件的微分方程式,然后假定两相邻土条法向条间力和切向条间力之间存在1个对水平方向坐标的函数关系,根据整个滑动土体的边界条件求出问题的解答。
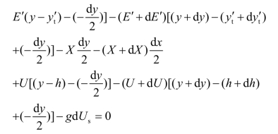
图2.11(a)表示一任意形状的土坡,其坡面线、侧向孔隙水应力和有效应力的椎力线及滑裂线分别以函数y=z(x)、x=h(x)、y=γ′t(x)及y=y(x)表示。图2.11(b)为其中任一微分土条,其上作用有重力dW,土条底面的有效法向反力dN′及切向阻力dT,土条两侧的有效法向条间力E′、E′+dE′及切向条间力X、X+dX。U及U+dU为作用于土条两侧的孔隙水应力,dUS则为作用于土条底部的孔隙水应力。

图2.11
对土条底部中点(dT、dN′合力作用点)取力矩平衡,则

将上式整理化简,略去高阶微量,并且认为dUs的作用点与dT、dN′的作用点重合(取g=0),就得到每上一条满足力矩平衡的微分方程式

再取土条底部法线方向力的平衡,得
dN'+dUs=dW cos a-dX cos a-dE'sin a-dU sin a (2.46)
同时取平行土条底部方向力的平衡,可得
dT=dE'cos a+dU cos a-dX sin a+dW sin a (2.47)
又根据安全系数的定义及摩尔—库伦准则

同时引用毕肖普等关于孔隙应力比,得
dUs=ru dW sec a (2.48)
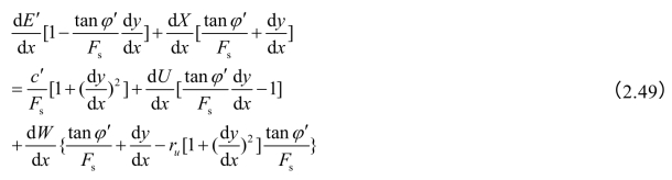
综合以上各式,消去dT及dN′,得到每一土条满足力的平衡的微分方程为

式中,Fs为稳定安全系数,ru为孔隙应力比。
一般来说,y=z(x)、y=h(x)是已知的,y=y(x)由我们选定,也是已知的,两个基本微分方程中的
都可以求出,同时土质指标c′、tan φ′及孔隙压力比ru也是给定的。因此,要求的未知量就剩下E′、X及函数y=y′t(x),还有安全系数Fs。
为了简化方程,以土条侧面总的法向力E来代替有效法向力E′,则有
E=E′+U (2.50)
其作用点位置yt可用式(2.50)求出,即
Eyt=E′y′t+Uh (2.51)
同时因为E和X之间必定存在着1个对x的函数关系
X=λf(x)E (2.52)
式中,λ为任意选择的1个常数。
对每一土条来说,由于dx可以取得很小,使y=z(x)、y=h(x)及y=y(x)在土条范围内近似为一直线,同样,函数f(x)在每一土条范围内也可以取作直线。因此,在每一土条内有

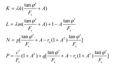
及式中,A、B、p、q、k及m均为任意常数,可通过几何条件及所选f(x)的类型来确定。
经过式(2.50)~式(2.55)的处理,基本微分方程式简化为

进一步简化为

式中

现在取土条西侧的边界条件为
E=Ei(x=xi)(https://www.daowen.com)
E=Ei+1(x=xi+1)
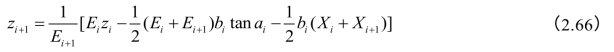
从xi到xi+1进行积分,可以求得

这样就可以从上到下,逐条求出法向条间力E来,然后根据式(2.52)求出切向条间力X。当滑动土体外部没有其他外力作用时,对最后一土条必须满足条件
En=0 (2.59)
同时,土条侧面的力矩可以用微分方程式(2.56)积分求出,即

最后也必须满足条件

此时,各条间力合力作用点位置yt可由式(2.60)求出。
因此,为了找到满足所有平衡方程的λ及Fs值,我们可以先假定一个λ及Fs,然后逐条积分得到En及Mn,如果不为零,再用一个有规律的迭代步骤不断修正λ及Fs,直到式(2.59)及式(2.61)得到满足为止。
最后剩下的问题是f(x)如何选择的问题,他们可以利用弹性理论的解答加以算出,也可以在直观假设的基础上指定。根据摩根斯坦等人的研究,对于接近圆弧的滑裂面,安全系数对内力分布的反应是很不灵敏的,往往取完全不同的f(x),得到的安全系数却相当接近。
当然,用本法求出的条间力也必须符合第一节提到的合理性条件(土条分界面上抗剪安全系数Fu≥Fs及不存在拉力),如果这两个条件得不到满足,可以通过修改f(x)来加以调整。
摩根斯坦—普赖斯法是对土坡稳定进行极限平衡分析计算的最一般的方法。
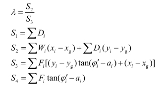
整个滑动土体还要满足力矩平衡的条件,现取所有作用力均对滑动土体的重心G取力矩,则Wi及KWi其力矩总和为零,而条间力X、E是滑动土体的内力,也不产生力矩,这样就得到
∑(Ticos ai-Nisin ai)(yi-yg)+∑(Nicos ai+Tisin ai)(xi-xg)=0 (2.62)
在上式中消去Ni及Ti得力矩平衡方程为
∑(Xi+1-Xi)[(yt-yg)tan(φ'-ai)+(xi-xg)]=∑Wi(xi-xg)+∑Di(yi-yg) (2.63)
在式(2.62)、式(2.63)中,只有地震加速度K及条间力X是未知的,如果我们能够找到X 的表达式同时满足式(2.63)及∑(Xi+1-Xi)=0,则由式(2.62)就可以求出K,此时的K也就是临界地震加速度Kc。
为此,沙尔玛假定
Xi+1-Xi=λFi (2.64)
式中,λ为一常数;Fi是一待求的函数,当然必须满足∑Fi=0。
将式(2.64)代入式(2.62)及式(2.63),并解此联立方程组,得

其中

当Xi+1-Xi为已知时,可以由式(2.58)求出(Ei+1-Ei),然后从边界开始逐条推求各土条分界面上的Ei及Xi,从而求出土条分界面上的抗剪安全系数为
![]()
式中,Upi为作用于土条侧面的孔隙水应力,c
及tanφ
可以用土条侧面各土层的加权平均抗剪强度指标。Ei的作用点位置可以取每一土条各作用力对土条底面中心求力矩,得

同样可从初始条件Zi开始逐条堆求。
最后剩下的问题是Xi或Xi如何确定,沙尔玛已经堆求出均质和非均质情况下Xi的表达式,对于均质的情况可用下式表示,即

其中

fi是可以任意选择的值,通常可取fi=1,如果求出的Fui<1或条间力作用点位置超出三分点,可以通过修正fi加以调整。
这是我国工民建和铁道部门在核算滑坡稳定时使用非常广泛的方法。它同样适用于任意形状的滑裂面,而假定条间力的合力与上一条土条底面相平行,根据力的平衡条件,逐条向下推求,直至最后一条土条的推力为零。
图2.12是任意一滑动土条,其两侧条间力合力的作用方向分别与上一条土条底面相平行,取垂直与平行土条底面方向力的平衡,有

图2.12

应用安全系数的定义及摩尔-库伦准则,得

式中,Ui为作用于土条底面的孔隙应力。
由以上三式消去Ti、Ni,得

式中ψi称为传递系数,以式(2.68)表示,即

在解题时要先假定Fs,然后从第一条开始逐条向下椎求,直至求出最后一条的推力Pn,Pn必须为零,否则要重新假定Fs进行试算。
Pi=FsWisinai-[c
li+(Wicosai-uili)tanφ
]+Pi-1ψi (2.69)
式中,传递系数ψi改用下式计算,即
ψi=cos(ai-1-ai)-tanφ
sin(ai-1-ai) (2.70)
如采用总应力法,在式(2.69)中略去uil项,c、φ值可恨据土的性质及当地经验,采用试验和滑坡反算相结合的方法来确定。Fs值应根据滑坡现状及其对工程的影响等因素确定,一般可取1.05~1.25。另外,因为土条之间不能承受拉力,所以任何土条的推力pi如果为负值,则此pi不再向下传递,而对下一条土条取pi-1=0。
各土条分界面上的pi求出之后,就很容易求出此分界面上的抗剪安全系数,为一常数,其结果和斯宾塞相同;更特殊一些取f(x)=0,则相当于简化毕肖普法。

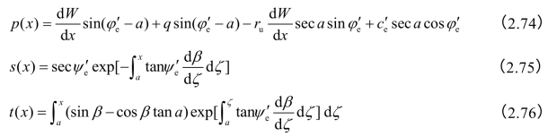
我国水利水电科学研究院陈祖煜在摩根斯坦指导下,对这个方法作了改进。首先,从以上列出的静力平衡微分方程出发,结合相应的边界条件,推导出下列带有普遍意义的极限平衡方程式。对力的平衡,有
![]()
对力矩平衡则有

其中

式中,q为坡面垂直荷载,ru为孔隙应力比,β为土条侧向作用力合力对x轴的倾角a、b为滑弧两端的x坐标,ζ、ξ则为积分变量。c
、φ
、ψ
分别用以下各式求出,其余符号同前。

不难看出,在式(2.72)、式(2.73)中,p(x)表示土条底部各作用力在底面合力垂直方向上的分量;ψ
表示此方向与土条侧向作用力合力方向的交角;而∫p(x)s(x)dx 是在土条侧向作用力合力方向上力的平衡;t(x)则是垂直于土条侧向作用为合力方向的力臂。
在式(2.72)、式(2.73)中仅有β(x)及Fs是未知量,在满足合理性要求的前提下,可任意假定以β(x),代入两式中求Fs,这些都是满足静力极限平衡条件的解答[如假定β(x)为常量,就是斯宾塞法,假定β(x)=0就变成简化毕肖普法等)。但需注意,β(x)在滑动土体两个端部的土条上是1个确定值,需满足端部土条力的平衡合理性条件。根据陈祖煜的研究,如果端部条块形状是个三角形,而且其宽度取得足够小的话,β应等于端点处土坡面的倾角,亦即端部条块侧面总作用力应平行于该土条土坡面的方向。
假定一个β(x)的分布形状,解式(2.72)、式(2.73),求出满足方程组的解答β*(x)和Fs*,这就是摩根斯坦—昔赖斯法。陈祖煜对该法的电算程序做了改进,加了相应的功能,使端点的β(x)能满足确定的要求,采用了多种数值计算的技巧,以保证计算程序的收敛性。在求得β*(x)和
以后,还可以求出同样满足式(2-63)、式(2-64)的邻近解β*(x)+Δβ和Fs*+ΔFs。采用这个步骤,有意识地改变β*(x)的形状分布,使原来满足合理性要理性要求的解过渡到不满足合理性要求的解,以发现向这一方向过渡的边界。然后变换过渡方向,用同样步骤,求出另一方向满足合理性的边界。相应于这两个边界的Fs值,就是安全系数的上、下限。如果这两个数值的确非常接近,就求出了相应于这个滑裂面的土坡稳定安全系数的“严格解”。