7.3.1 钻芯法
1.钻芯法的应用及特点
钻芯法是利用专用钻机,从结构混凝土中钻取芯样以检测混凝土强度或观察混凝土内部质量的方法。用钻芯法检测混凝土的强度、裂缝、接缝、分层、孔洞、或离析等缺陷,具有直观、精度高等特点,因而广泛应用于工业与民用建筑、大坝、桥梁、公路、机场跑道等混凝土结构或构筑物的质量检测。但这种方法对构件的损伤较大、检测成本较髙,只有在下列情况下才进行钻取芯样检测其强度。
(1)对试块抗压强度的测试结果有怀疑时;
(2)因材料、施工或养护不良而发生混凝土质量问题时;
(3)混凝土遭受冻害、火灾、化学侵蚀或其他损害时;
(4)需检测经多年使用的建筑结构或构筑物中混凝土强度时;
(5)对施工有特殊要求的构件,如机场跑道测量厚度。
另外,对混凝土强度等级低于10号的结构,不宜采用钻芯法检测。因为当混凝土强度低于10 MPa时,在钻取芯样的过程中容易破坏砂浆与粗骨料之间的黏结力,钻出的芯样表面变
得较粗糙,甚至很难取出完整芯样。
2.混凝土芯样选取
(1)钻芯位置的选择。
钻芯时会对结构混凝土造成局部损伤,因此在选择钻芯位置时要特别慎重。芯样应在构件的下列部位钻取:构件受力较小部位;混凝土强度质量具有代表性的部位;便于钻芯机安装与操作的部位;芯样钻取应避开主筋、预埋件和管线的位置,并尽量避开其他钢筋。另外,在使用回弹、超声或综合等非破损方法与钻芯法共同检测结构混凝土强度时,取芯位置应选择在具有代表性的非破损检测区内。
(2)芯样尺寸。(https://www.daowen.com)
应根据检测的目的选取适宜尺寸的钻头,当钻取的芯样是为了进行抗压试验时,则芯样的直径与混凝土粗骨料粒径之间应保持一定的比例关系,一般情况芯样直径为粗骨料粒径的3倍。在钢筋过密或因取芯位置不允许钻取较大芯样的特殊情况下,芯样直径可为粗骨料直径的2倍。为了减少结构构件的损伤程度,确保结构安全,在粗骨料最大粒径限制范围内,应尽量选取小直径钻头。如取芯是为了检测混凝土的内部缺陷或受冻害、腐蚀层的深度等,则芯样直径的选择可不受粗骨料最大粒径的限制。
(3)钻芯数量的确定。
取芯的数量,应根据检测要求而定。按单个构件检测时,每个构件的钻芯数量不应少于3个,取芯位置应尽量分散,以减少对强度的影响;对于较小构件,钻芯数量可取2个。对构件的局部区域进行检测时,一般应由要求检测的单位提出钻芯位置及芯样数量。
3.混凝土强度推定
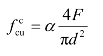
芯样试件的抗压强度等于试件破坏时的最大压力除以截面积,截面积用平均直径计算。我国是以边长150 mm的立方体试块作为标准试块,因此,由非标准尺寸圆柱体(芯样)测得的试件强度应换算成标准尺寸立方体试件强度。

式中
——芯样试件混凝土强度换算值(MPa),精确至0.1 MPa;
F——芯样试件抗压试验得到的最大压力(N);
D——芯样试件的平均直径(mm);
α——不同高径比的芯样试件混凝土强度换算系数。
表7.4 芯样试件混凝土强度换算系数
