4.2.2 水下压浆法
压浆法是先在水中抛填粗骨料,并在其中埋设注浆管,然后用水泥砂浆通过泵压入注浆管内并进入骨料中。骨料用带有拦石钢筋的格栅模板、板桩或沙袋定形。骨料应在模板内均匀填充,以使模板受力均匀,骨料面高度应大于注浆面高度0.5~1 m,对处于动水条件下,骨料面高度应高出注浆面1.5~2.0 m。此时,骨料填充和注浆可同时配合进行作业。填充骨料,应保持骨料粒径具有良好级配。注浆管可采用钢管,内径根据骨料最小粒径和灌注速度而定,通常为25 mm、38 mm、50 mm、65 mm、75 mm等规格。管壁开设注浆孔,管下端呈平口或45度斜口,注浆管一般垂直埋设,管底距离基底约10~20 cm。
注浆管作用半径可由下式求得:

式中 R——注浆管作用半径;
Ht——注浆管长度;
RCB——浆液密度;
HW——灌浆处水深;
γW——水密度;
Dh——预填骨料平均粒径
Kh——预填骨料抵抗浆液运动附加阻力系数;卵石为4.2;碎石为4.5。加压灌注时,注浆管的作用半径为

式中 P0——注浆管进浆压力;
τcs——浆液极限剪应力。
注浆管的平面布置可呈矩形、正方形或三角形。采用矩形布置时,注浆管作用半径与管距、排距的关系为(https://www.daowen.com)

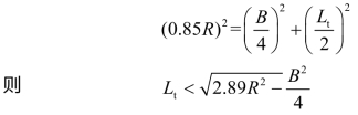
当宽度方向有几排注浆管时

式中 Lt——注浆管间距;
R——注浆管作用半径;
B——浇筑构筑物宽度;
n——沿宽度方向布置注浆管排数。
通常情况下,当预填骨料厚度超过4 m时,为了克服提升注浆管的阻力,防止水下抛石时碰撞注浆管,可在管外套以护罩。护罩一般由钢筋笼架组成,笼架的钢筋间距不应大于最小骨料粒径的2/3。水下注浆分自动灌注粕加压注入。加压注入由砂浆泵加压。为了提高注浆管壁润滑性,在注浆开始前先用水灰比大于0.6的纯水泥浆润滑管壁。开始注浆时,为了使浆液流入石骨料中,将注浆管上提5~10 cm,随压、随注,并逐步提升注浆管,使其埋入已注砂浆中深度保持0.6 m以上。注浆管埋入砂浆深度过浅,虽可提高灌注效率,但可能会破坏水下预埋骨料中砂浆表面平整度;如插入过深,会降低灌注效率或已灌浆液的凝固,通常插入深度最小为0.6 m,一般为0.8~1.0 m。当注浆接近设计高程时,注浆管仍应保持原设定的埋入深度,注浆达到设计高程,将注浆管缓慢拔出,使注浆管内砂浆慢慢卸出。注浆管出浆压力,应考虑预埋骨料的种类(卵石、砾石、碎石),粒级和平均粒径,水泥砂浆在预填骨料和空隙间流动产生的极限剪应力值以及注浆管埋设间距(要求水泥砂浆的扩散半径)等因素而定,一般在0.1~0.4 MPa范围内。
水泥砂浆需用量,可用下式估计:
VCB=KN·l·VC
式中 VCB——水泥砂浆需用量(填充系数一般取值为1.03~1.10);
KN——充填系数;
I——预填骨料的孔隙率;
VC——水下压浆混凝土方量。