物理规律的含义

一、物理规律的含义

(一)物理规律的含义

物理规律是反映物理现象、物理过程在一定条件下必然发生、发展和变化的内在本质联系。物理规律反映了各物理概念之间的相互制约关系,反映在一定条件下某种物理过程的必然性。物理规律一般是在观察与实验的基础上,通过归纳推理、演绎推理、类比推理方法得到,并用文字以及其他符号加以表述的认知结果。

(二)物理规律的分类

中学物理知识体系是由基本的物理概念和物理规律组成的知识体系。中学物理规律主要包括物理定律、定理、原理、法则、公式等内容。物理定律、定理一般以内容或发现者命名。

1.物理定律

物理定律是人们在长期的实践中,通过对个别物理事物或过程的观察和实验,归纳得出物理事物的客观规律。也就是说,物理定律是由归纳推理而得到的,这种归纳推理是从个别事物的观察与实验出发,通过推理得出的一般性结论,其正确性需要实验与实践的进一步检验。如牛顿运动定律、万有引力定律、动量守恒定律、法拉第电磁感应定律、光的折射定律等都是在观察和实验的基础上,通过归纳推理的方法获得的。

物理定律可以用文字表述,还可以用公式表述。如牛顿第一定律可表述为“任何物体都保持静止或匀速直线运动的状态,直到受到其他物体的作用力迫使它改变这种状态为止”,又如楞次定律可表述为“感应电流具有这样的方向,即感应电流的磁场总要阻碍引起感应电流的磁通量的变化”。物理定律还可以用文字与公式结合来表示,如牛顿第二定律,其定律内容为“物体加速度的大小跟作用力成正比,跟物体的质量成反比,加速度的方向跟作用力的方向相同”,公式表示为F=ma。其他的物理定律,如牛顿第三定律、开普勒三定律、万有引力定律、机械能守恒定律、动量守恒定律、能量守恒定律、闭合电路欧姆定律、热力学三定律、库仑定律、法拉第电磁感应定律、光的反射折射定律等,都可以用文字与公式来表述。

2.物理定理

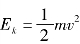
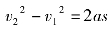
物理定理是由经过实验检验或理论证明为正确的定律,或是以原理为前提,通过一定的逻辑法则和数学规则演绎得到具有新的物理意义的结论。与归纳推理形成的定律不同,由演绎推理形成的定理是从已有的前提推导出新的结论。这个结论一方面具有新的物理意义,另一方面其正确性还需要进一步检验。如动能定理是根据运动学公式和牛顿运动定律,即将运动学公式s、动能的概念、功的概念W=Fs和牛顿定律F=ma,通过数学演绎得到。动能定理的物理意义是外力对物体所做的总功等于物体动能的增量。它反映了功与能之间的关系。又如动量定理是根据牛顿第二定律F=ma和运动学公式v=v0+at的数学演绎,得到Ft=mv-mv0。动量定理的物理意义是物体所受合外力的冲量等于物体的动量变化。其反映了冲量与动量变化之间的关系。

3.物理定则

物理定则是将物理规律中各个物理概念之间关系,为了某种目的(如便于记忆或理解)具体化为一些定则(或法则),从而使物理规律中各个概念之间的关系变得形象、鲜明。如左手定则:伸开左手,拇指与其余四指垂直,磁场方向垂直穿过手心(手心对N极,手背对S极),四指方向为电流方向,则拇指方向为导体受力方向。左手定则实际上是反映了磁场方向、电流方向以及导体受力方向三者之间的关系。这种关系借助于左手定则形象地加以表示。右手定则同样形象地反映了导体运动方向、磁感应强度方向与感生电流方向之间的关系。此外,平行四边形法则、三角形法则等都反映了物理矢量的运算关系。

4.物理方程或公式

物理方程或公式是用数学工具将物理规律中各个物理量关系表示出来。如理想气体状态方程是描述理想气体处于平衡态时,压强、体积、温度、物质的量这些物理量之间的关系,即PV=nRT。它是建立在波意耳—马略特定律、查理定律、盖—吕萨克定律等经验定律之上的。此外还有质能方程、光电效应方程、麦克斯韦方程组等都是用数学关系描述出相应的物理规律。

中学物理教学中,对物理规律的命名也并非完全与上述一致。有些定律发现时主要是通过实验等方法得到,但是在中学物理教学过程中,它们可以用已有的物理概念与规律等通过演绎推理而得到。这样得到的结论仍称为定律而不称为定理。如机械能守恒定律也可以通过演绎推理得到。根据动能定理,一方面重力对物体所做的功等于物体动能的增加;另一方面,通过重力做功与重力势能的关系,即重力对物体所做的功等于重力势能的减少。这两种情况重力做功是相同的,即可得到机械能守恒定律。