总复习应把握好的几个问题

三、总复习应把握好的几个问题

1.抓纲务本,切忌超纲超本

在复习过程中必须控制好主干知识的“度”——广度、深度、难度,不应超越课程标准、考试大纲和教材的要求,把知识任意延伸,也不应把有较高要求的内容作为复习的重点。必须控制内容的深度、广度和难度,集中精力、有的放矢地复习好基础知识和重点内容。

抓纲务本,应突出主干知识的系统复习与强化训练。例如,高考物理主干知识有:

(1)受力分析与三力平衡——平行四边形定则、三角形法则、正交分解法、三角形的动态分析、平衡中的极值问题。

(2)牛顿运动定律及其应用——简单连接体与叠加体问题、斜面问题、弹簧问题。

(3)平抛运动、类平抛运动——正交分解为两个直线运动,具有等时性。

(4)圆周运动、天体与卫星运动——匀速圆周动力学、行星与卫星运动学、双星运动、自转与重力变化分析。

(5)动量定理、动量守恒——碰撞、反冲、爆炸等。

(6)动能定理、机械能守恒。

(7)功能原理、能量转化与守恒。

(8)电场力做功、电荷在电场的加速与偏转。

(9)串并联电路、电热、电功、电功率、闭合电路欧姆定律。

(10)安培力、洛伦兹力、磁场中运动电荷的圆周运动。

(11)带电粒子在电场或磁场中的运动。

(12)电磁感应、法拉第定律及其应用。

(13)振动与波——波长、周期与波速关系,波的传播与质点振动关系,图象问题。

(14)分子力,分子势能,热力学第一、二定律。

(15)平面镜成像、三棱镜的折射与色散、全反射。

(16)光的干涉、光电效应。

(17)氢原子模型、原子跃迁。

(18)核反应方程、核能、质量亏损。

2.重视课本,切忌用复习资料代替教材

教师教,学生学都是以课本为依据,任何复习资料都不能代替课本。有的学生衡量自己的复习效果和水平,常以看过多少本复习资料和做过多少课外题为标准,这是不全面的。丢开课本完全依赖课外复习资料是很危险的,课本是最重要最基本的复习资料。课本之外的高考复习资料鱼龙混杂,在科学性、针对性、适应性等方面难以保障,大多为商家追求利益所做,未经教育行政部门权威审定,万万不可代替课本。

3.专题练习,切忌坠入题海盲目做题

以专题的方式强化解题训练是必要的,但切忌坠入题海。解题训练的关键不在解题数量多少,而在题要精,要有代表性。在解题时要多思,做到举一反三。如果坠入题海不能自拔,单纯钻难、偏、怪题,必然要耗费大量的时间和精力,反而会造成不良后果。丢开课本搞题海战术是不可取的,一味的做题,不求质量,没有反思与分析归纳,这样的做题训练往往是徒劳的。

对于不同版块内容,要进行专题性的解题训练。

A.以“力和运动、能量和动量”为主线,抓好力学、打好基础

力学是基础,电学与热学中的许多复杂问题都是与力学相结合的,因此一定要熟练掌握力学中的基本概念和基本规律。对于力学的复习,要明确力学中以牛顿运动定律为核心的知识整体结构,深刻理解力、速度、加速度、质量等力学核心概念,熟练掌握静力学、运动学和动力学中的重要规律;明确力学中以牛顿运动定律、动能定理、机械能守恒定律、动量定理和动量守恒定律为核心的知识体系,深刻理解功、功率、动能、势能、机械能、动量、冲量等核心概念,熟练掌握“两理三律”并能灵活应用。

力学部分要抓好下面几个关键问题:

(1)力的概念与受力分析的方法

(2)加速度的概念和匀变速运动的规律

(3)牛顿第二定律的应用

(4)牛顿第三定律与动量守恒定律

(5)功的概念和功能关系

(6)波动的两个周期性——时间周期T、空间周期λ

(7)复杂运动的研究方法

①从时间上分段

②沿空间不同方向上分解

③从作用力与初始条件之间的关系去讨论

B.以“带电粒子在电磁场中的运动、电磁感应综合问题”为主线,深化电学知识,提高学科综合能力

(1)电学部分知识可分为“场”和“路”两大部分。“场”,即电场与磁场,“路”,指直流电路和交流电路。有必要深入了解的问题有:

①静电场的性质

②两种感应电动势:动生电动势和感生电动势

(2)有两个问题具有特别强的综合性:

①带电粒子在电场、磁场中的运动

②以电磁感应为中心的综合问题

C.系统复习热学、光学、原子,点面结合抓得分

(1)热学中的气体虽然没有了气态方程的计算题,但以它为载体涉及能量转换及方向的问题仍是考查的热点。

(2)光传播规律,包括反射、折射、全反射、色散等。

(3)近代物理的三个观点,即波粒二象性、量子性、质能关系是重点。

4.抓解题的关键环节

在掌握了物理题型之后,需要明确各种题型的解题关键。比如运用动量守恒定律解题的关键是:一要判断系统是否满足条件(即系统所受的外力为零或外力远小于内力,或者在某一方向上不受外力);二要注意各个物体的速度是否相对同一参照系。又如圆周运动类型的问题,其解题关键是明确由什么力提供向心力,然后列出这个力(或几个力的合力)等于向心力的方程。像“天体运动”类型的问题一般是引力等于向心力,“带电粒子在磁场中运动”的问题一般是洛伦兹力等于向心力。还有像平抛运动(包括类平抛运动)问题的解题关键一般是明确物体在初速度方向上做匀速直线运动,在与初速度垂直的方向(或沿等效重力场的方向)上做自由落体运动(或初速度为零的匀加速直线运动),等等。

在处理物理问题时,要用物理的眼光对具体问题具体分析,弄清所给问题中的物理状态、过程和情景。对于复杂的问题,要分析清楚与问题有关的方方面面,通常我们把一个复杂的物理过程进行综合分析处理,转化为几个简单的物理模型的组合,并找出它们之间的联系,然后综合应用多方面的知识解决问题。例如,“把用α粒子轰击一个核子产生的新核子射到匀强磁场中”这句话就有两个物理情景:一个是α粒子和核子的碰撞过程,其动量守恒;另一个情景是射到磁场中的新核子在磁场中受洛仑兹力的作用做匀速圆周运动,洛伦兹力等于向心力。

图6.1

【例题】如图6.1所示,在水平地面上放置一块长ab=0.64m的木块A,其质量mA=2.99kg,它与地面的动摩擦因数为μ=0.15。在A的上表面b端处放一质量为mB=1.0kg的小木块B,A与B的摩擦不计,它们原来处于静止状态。现有一质量为m=10g的子弹以V0=600m/s的速度从A的左端水平射入A,并经极短的时间停留在A内。问子弹射入A后,经过多长时间物体B到达A板的a端处?重力加速度g=10m/s2

【提示】解决本题的关键是:(1)明确子弹射入A时,子弹与A构成的系统动量守恒,B的速度不变而处于静止状态;(2)子弹射入A后,子弹与A一起做匀减速运动,而B仍处于静止状态;(3)对计算结果能根据物理意义进行取舍。

近年来,高考考题经常有“新题”出现,这些理论联系实际的“新题”“生题”,可能题目的文字较多,甚至一些知识或名词是陌生的(但题目都会清楚介绍的)。遇到这类问题,要求学生能通过阅读和分析,找出其中需要解决的物理问题,然后应用所学的物理知识去解决问题。如“K-介子衰变”的问题,如果学生明确K-介子衰变时,是一个动量守恒的过程,并且“K-介子”和“π-介子”在磁场中做匀速圆周运动,它们各自所受的洛伦兹力就是各自的向心力,这个题目就可以解决了。这类“生题”首先需要学生有不怕的心理,有创新的精神,其次要有较强的阅读能力和综合分析能力。因此,要使学生适应这种“新题”“生题”,必须对学生进行适当地训练,更重要的是要求学生认真去总结解题的方法。但不可过多地练习。

很多学生把物理公式背得滚瓜烂熟,但是不懂得运用,乱套公式,问题就出在没有把物理情景与物理规律相结合,不能建立起相应的物理模型。如果学生能够认真解题,精心去概括题型和解题关键,在处理物理问题时,就能够迅速地把物理问题和所熟悉的物理模型相联系,达到条件反射般的解题境界,就不会乱套公式,从而可以大大提高解题的速度和正确性。

每一个物理问题,都有一定的物理情景,涉及一定的物理过程,要想正确地解答物理问题,必须把有关的物理内容分析清楚。一般说来,分析一个物理问题的基本步骤或关键环节如下:

(1)选取恰当的研究对象

不论是力学问题、热学问题、电学问题或其他问题,都有一个选择和确定研究对象的问题。研究对象或是某一个物体,或是某一个物体系(两个或多个相关联的物体)。有的问题始终都是同一研究对象,而有的问题在不同阶段应选取不同的研究对象。

(2)建立物理模型

实际中的物理现象一般都很复杂,为了解决它,常常需要忽略一些次要因素,物理模型就是忽略次要因素的产物,例如质点、理想气体、理想镜面、理想电表、理想变压器以及光滑平面、不可伸长的细绳、不计质量的轻弹簧、定值电阻、内阻可忽略的电源等等,都是理想模型。对一个具体物理问题,在确定了研究对象后,首先要考虑的就是建立怎样的物理模型。

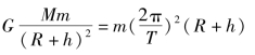
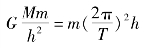
【例题】 中子星是恒星演化过程中一种可能出现的结果,它的密度很大。现有一中子星,观测到它的自转周期为。问该中子星的最小密度应是多少才能维持该星的稳定,不致因自转而瓦解。计算时星体可视为均匀球体。(引力常数G=6.67×10-11N·m2/kg2

解析:设想中子星赤道处一小块物质,只有当它受到的万有引力大于或等于它随星体运动所需的向心力时,中子星才不会瓦解。

设中子星的密度为ρ,质量为M,半径为R,自转角速度为ω,位于赤道处的小物块质量为m,

由以上各式得,代入数据解得:ρ=1.27×1014kg/m3

点评:在应用万有引力定律解题时,经常需要像本题一样,先假设某处存在一个物体,再分析求解,这是应用万有引力定律解题惯用的一种方法。

(3)分析状态、过程

状态是与某一时刻相对应的,过程则是与某一段时间相对应的。任何一个过程,都有一个初始状态和一个末状态(当然还有无数个中间状态)。分析物理内容,很重要的就是要分析相应的状态和过程。

对于某一确定的状态,要用状态参量来描述,例如对于一定质量的理想气体,它的状态参量有三个,即压强、体积、温度;对于做机械运动的物体,它的状态参量有两个,即位置和速度(加速度不是状态参量,但它是与某个时刻相对应的量);对于一段电路,电流和电压是状态参量等等。

对于一个具体的物理问题,简单的可能只需讨论某一确定的状态下各物理量间的关系,复杂的问题则往往要涉及到某种物理变化,这就是物理过程。对一个变化方向和路径都确定了的物理过程,要注意分析这个过程遵循的物理规律,可能它是个较简单的过程,始终按同一个规律变化,也可能它是个较复杂的过程,不同的阶段遵循不同的规律。对于一个始、末状态确定了的物理过程,则可能存在着不止一种的变化路径,对一个物理问题,如果能把相应的状态和过程分析清楚,问题一般说来就已基本上解决了。

图6.2

【例题】 如图6.2,长为L的细绳悬挂一个质量为m的小球,把小球拉至A点使悬绳与水平方向的夹角为30°,然后突然放手使小球从静止开始运动,当小球到达悬点的正下方时,细绳的拉力是多大?

小球到达正下方时细绳的拉力取决于此状态时小球的速度。本题的关键在于分析确定小球从A点运动到最低点时的运动过程,此处有隐含条件。小球从A点由静止释放后并非做圆周运动,而是先做自由落体运动,使细绳变松弛,到水平位置时细绳刚好拉直,之后才在竖直面内做圆周运动。在细绳有松弛变拉直的瞬间,拉力做功要消耗机械能。

(4)选择合适的规律

在对物理状态、过程分析的基础上,再去选择适用的物理规律。对于同一个物理过程,从不同的角度去考虑,可以遵循不同的物理规律,因此可能有几种不同的解题方案,应通过比较选择最佳的方案。例如,一个力学问题,可以从力与加速度的角度去分析讨论,也可以从做功和能量变化的角度去讨论,还可以利用动量及动量变化来解决问题,到底用哪种方法好,应根据具体情况灵活选择。

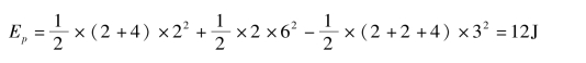
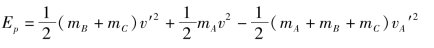
【例题】 用轻弹簧相连的质量均为2kg的A、B两物块都以v=6m/s的速度在光滑的水平地面上运动,弹簧处于原长。质量为4kg的物块C静止在前方,如图6.3所示。B与C碰撞后二者粘在一起运动。求:在以后的运动中,

图6.3

①当弹簧的弹性势能最大时,物体A的速度多大?

②弹性势能的最大值是多大?

③A的速度有可能向左吗?为什么?

解析:①当A、B、C三者的速度相等时弹簧的弹性势能最大。

由于A、B、C三者组成的系统动量守恒,

(mA+mB)v=(mA+mB+mC)vA

解得

②B、C碰撞时,B、C组成的系统动量守恒,设碰后瞬间B、C两者速度为v′,则

设A速度为vA′时弹簧的弹性势能最大,为Ep

根据能量守恒

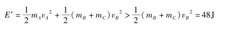
③A不可能向左运动

系统动量守恒,mAv+mBv=mAvA+(mB+mC)vB

设A向左,vA<0,vB>4m/s

则作用后A、B、C动能之和

实际上系统的机械能

根据能量守恒定律,E′>E是不可能的

(5)讨论所得结果

对于解出的结果,应进行必要的讨论,看它是否合理,物理意义是否明确,从中可以得到哪些启示等等。

注意评价性试题的训练。评价性试题是一种比较好的新题型,要引起重视。

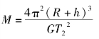
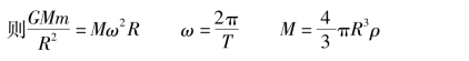
【例题】 已知万有引力常量G,地球半径R,月球和地球之间的距离r,同步卫星距地面的高度h,月球绕地球的运转周期T1,地球的自转周期T2,地球表面的重力加速度g。某同学根据以上条件,提出一种估算地球质量M的方法:

同步卫星绕地球作圆周运动,由

①请判断上面的结果是否正确,并说明理由。如不正确,请给出正确的解法和结果。

②请根据已知条件再提出两种估算地球质量的方法并解得结果。

解析:①上面结果是错误的,地球的半径R在计算过程中不能忽略。

正确的解法和结果是:

②方法一:月球绕地球做圆周运动,

方法二:在地面重力近似等于万有引力,

总之,夯实学科的基础知识是根本,掌握基本规律的应用是方向,提高分析、推理的能力是关键。

5.全面复习,切忌割裂知识

教师要全面复习,突出重点,把重点知识系统化,梳理成线,编织成网,这样才能做到知识结构与学生的认知结构协调统一,有利于落实“双基”,提高能力。如果只是孤立地复习一些重点知识,使知识支离破碎,必然难以深刻理解和掌握知识,也不利于灵活应用知识。

如,对力学可以总结为“三个观点”——力的观点、动量的观点、能量的观点,分别涉及到牛顿运动定律、动量定理和动量守恒定律、动能定理和机械能守恒定律,这些都是高考着重考查的主干知识;对机械波可以概括为“三大关系”——波的传播方向、波的图象和质点振动方向之间的关系,波长、频率和波速的关系,空间距离和时间的关系。

可以将中学物理知识按力、动量、能量、场、路、波等分为几块,将各部分知识横向贯通,精简浓缩后以便于掌握。对学习中形成的一些结论和一些典型问题的解答在理解的基础上加以记忆,达到熟能生巧。例如,在对同步通信卫星复习时,总结同步卫星的四个“一定”(即周期一定、高度一定、速率一定、一定与地球赤道平面共面),并用万有引力定律和圆周运动知识进行简单的推导,使学生对同步卫星的有关知识有进一步地了解;在复习电学实验时,要结合具体实验题目给学生讲电学实验设计的四条原则(即安全、精确、方便、节约),使学生感到新颖,有所收获。

基本观念、基础知识、基本规律、基本方法的梳理要充分体现一个“活”字,即知识内容学活、基本方法用活、各类题型做活,才能以不变应万变,这是提高临考前复习质量和效率的关键。总之,每一轮复习均要有新意,使学生在扎实复习课本知识的基础上有新的收获和提高,达到温故而知新的目的。