物理规律教学实践与典型案例

六、物理规律教学实践与典型案例

(一)物理规律教学设计案例

【案例1】 高中物理《楞次定律》教学设计

一、教材分布

1.感应电流的方向判定法则——楞次定律,是“电磁感应”一章的重点和难点。“楞次定律”是判断感应电流方向的普遍法则,适用于一切电磁感应现象。本节课的教学内容有楞次定律的再发现、内容、应用等,是《楞次定律》课题的第一课时。对于楞次定律的进一步理解与熟练地掌握和运用等,应在下一节课中完成。且将学生实验“研究电磁感应现象”改为探究性实验,连续安排课时,更有利于调动学生学习的积极性和主动性,培养实验能力,扎实地打好基础。

2.理解和掌握楞次定律的关键是理解定律中“阻碍”二字的物理含义。首先,应在实验中观察分析,弄清楚感应电流的磁场是如何阻碍引起感应电流的磁通量的变化的,在归纳分析中认识“阻碍”实质。其次,应引导学生从电磁感应现象、过程、能量转化、效果等方面多角度地理解其内涵。

3.本节课的教学重点和难点是楞次定律的建立与正确理解。

4.所用教材版本:全日制普通高级中学教科书(必修加选修)《物理》第二册,第十六章第三节,人民教育出版社2003年6月。

二、教学基本思路

1.课堂教学应“以学生为主体,以教师为主导,以训练为主线,以创新能力培养为核心”,充分构建“师生互动”“生生互动”的探究学习情境。根据建构主义理论,教学过程应具有探索性,教学形式应具有开放性,教学主体应具有实践性。本课的设计中,注意遵循以上原则,对探究的目标由教师引导提出,并对探究的思路予以启发,在教学的重点与难点上由师生、生生共同探究得出结论。

2.在教学过程设计上注重思路教学,运用猜想、实验、探究、抽象、概括、验证等方法,沿着创设情境→猜想假设→抽象概括→实验验证→推广应用的程序安排教学,突出科学思想和方法教育。

3.加强对能力的培养,增强创新意识。先猜想后验证、先发散后收敛、先假设后实验,既能激发学生的学习兴趣,又让学生经历了规律的再发现过程,对培养学生的猜想、推理、归纳、抽象、概括和创新能力有很好的促进作用。

4.在教学中,改演示实验教学为学生实验的探究式教学,每二人一组,提供尽可能的直观条件,让学生探究活动构成课堂活动的主要形式。全方位、多层次的手、脑、口、耳、眼等各种器官并用,促使学生全面发展。

三、教学目标

1.让学生经历探究性实验过程,掌握产生电磁感应的条件,理解楞次定律。

2.在学生动手实验过程中,培养其实验能力和依据实验进行分析、归纳、概括、抽象的能力,培养学生的科学猜想能力。

3.学生通过对具体实例的分析,能从能的转化与守恒角度认识楞次定律,并正确地分析处理有关实际问题。

四、教学过程设计

(一)提出问题,创设情境

1.提问:产生感应电流的条件是什么?

2.演示一:如图5.2,当闭合电路的一部分导体AB以速度v向右切割磁感线时,感应电流方向:

图5.2

(1)用什么方法判断?(2)如何判断?(3)方向如何?

3.提出问题:在课本图16-6中,当开关接通、断开的瞬间,B线圈中产生感应电流,电流的方向如何判定?如何寻找一种更为普遍的方法呢?

4.猜想——确定探索方向:穿过闭合回路的磁通量发生变化(Δφ≠0)是产生感应电流的条件。根据电流的磁效应,感应电流(I)又在周围空间产生感应磁场(B),如果能判断出B的方向,便可由右手安培定则判断I方向,那么B与φ变化有何规律?能否由φ的变化判断B

边讲边板书:(投影)

图5.3

(二)引导探索,发现规律

1.实验准备:介绍实验装置,观察线圈绕法,观察电流方向与G表指针偏转的关系。

2.引导探索,分析物理过程

①用投影仪显示课本图16-5和表一,并简要说明要求。指导学生完成第1组实验,将内容填表。

②学生每二人一组独立完成第2—4组实验并填表作图。

表一

图5.4

③引导学生猜想实验5、6组的结果,并通过实验验证。

④教师在投影上显示表一、图16-5的内容(复合式),学生一一验证。

3.猜想推理,实验验证

①当磁铁与原线圈之间无相对运动,只有原电流变化引起原磁场变化时,是否有同样的效果。

用投影仪显示表二和图5.5并简要说明。

表二

图5.5

②猜想实验7—11组的结果,自行实验验证。

启发引导学生,注意抓住问题关键:B的变化同B与B之间方向的关系。让学生独立猜想、验证后与投影屏幕上内容核对。

(三)启发总结,概括规律

1.对比启发,分析思路

以上实验进一步验证了感应电流产生的条件——当穿过闭合电流的磁通量发生变化时,电路中产生感应电流。那么感应电流的方向到底如何?根据我们一开始的猜想,发现B与B之间存在一定依赖、制约关系。

引导学生归纳结论:Φ增加时,B与B反向。

(学生归纳):Φ减小时,B与B同向。

提问:此结论有无普遍性。

2.抽象概括,得出规律

引导思路:当电路中有感应电流时,线圈中的磁通量应包括原磁场的磁通量和感应电流磁场的磁通量之和。引起感应电流的原磁场变化,就会引起此总磁通的变化,而感应电流的磁场也影响这个变化。那么此影响是促使此变化变得更快一些,还是更慢一些?感应电流的磁场是加快引起感应电流的磁通量变化,还是阻碍这个变化呢?

写出结论:要求学生每人或每组用一条最简炼的语言概括出实验结论。

得出规律:让2~3名学生展示或宣读结论,师生讲评讨论,完善表述后板书(投影):感应电流的磁场总是要阻碍引起感应电流的磁通量的变化。

(四)深化认识,理解规律

1.指导学生阅读课本本节内容第2~4自然段,找出理解该定律的关键词组“总要”“阻碍”“变化”,并体会含义:

“总要”——任何情况,无一例外。

“阻碍”——不是阻止,不是相反,而是延缓、推迟发生的作用。

“变化”——只有B变化才有B,才有I的方向。

2.多角度理解“阻碍”含义

(1)从Φ变化方式看“阻碍”

图5.6

(2)从变化产生I的效果看“阻碍”

“增反减同”“增削减补”

即:Φ增加时,B削弱Φ增加,B与B反向;

Φ减少时,B阻碍Φ减少,B与B同向,予以补偿。

(3)从电磁作用过程来看“阻碍”

判断I方向的程序

3.应用楞次定律的一般步骤:见上图①—④(由学生分析得出)。

4.楞次定律与右手定则不矛盾,右手定则是楞次定律的特例(分析图5.2)。

5.楞次定律符合能的转化与守恒定律。

(五)应用规律,巩固小结

1.课堂练习:

(1)如图5.7所示,当I增加时,矩形线圈中感应电流方向如何?

图5.7

(2)当矩形线框abcd水平拉入、拉出磁场时,感应电流方向如何?

2.小结:

(1)通过本课实验得到两个结论:①产生感应电流的条件;②判断感应电流方向的法则——楞次定律。

(2)验证是物理学的重要方法,要体会科学猜想的重要性。

3.作业练习:略

【案例2】 《变压器》的教法探究[2]

教学的创造性首先表现在教师对教材内容的再创造过程,教学效果的好坏,反映了教师对教学过程设计和教材挖掘的创造性价值的“含金量”高低,也同样是一个教师教学水平的物化表现之一。对教材的深入挖掘与再组织,对教学手段、方法、途径的创造性设计,是物理教师教学研究的永恒课题。

1.挖掘思维因素,夯实核心素养

《变压器》这一课题,是高中物理教学的一个重点和难点,也是高考命题的一个重要考点。它内涵丰富,条件性强,交叉思维,物理情境突出鲜明,而且集成了不少似是而非的问题或疑难陷阱。变压器工作的过程是电磁感应中互感现象的典型应用,当然其工作基础是法拉第电磁感应定律。教材按照由一般演绎到特殊情况的顺序进行编排,渗透着演绎思维的方法。教材的核心和重点是对变压器原理的推理分析和应用,首先分析了变压器原副线圈中的交互式电磁感应现象,指出“互感现象是变压器工作的基础”,接着通过定量探究实验,得出了电压与匝数的关系(变压器公式)。在这一过程中,全面深刻的凸显了科学抽象与实验探究思想:以变压器为对象,对电路中同时存在的电阻、电感、电容进行了理想化处理,建立了理想变压器模型,进而将这一模型通过实验数学化(即变压器公式),环环相扣,诱导思维,突出启发。它忽略了一切次要因素,突出了客观事物的主要矛盾和主要特征,再一次进行建立物理模型的教化,体现理想化方法的现实意义和科学实验的思想方法,遵循“实践—理论—实践”的认识发展规律,实现了认识的跃变过程。这种认知教学过程可概括以下表图5.8所示:

图5.8

在教学中应重点突出以下几个方面:

(1)理想变压器的理想化三条件

理想变压器的理想化条件主要反映在三个方面:

①无磁通外漏→ΔΦ/Δt=ΔΦ/Δt(同一闭合铁芯)

②原副线圈无阻、无感、无容→u11=n1Δφ/Δt

              u22=n2Δφ/Δt

③铁芯中无能量损耗→P=P

这三点是变压器的理想化背景,是理想变压器原理的基础,离开了这三个条件,也就没有理想变压器这一物理模型。各种形式变压器的原理均源于此。

(2)用U1/U2=n1/n2和P=P更能反映理想变压器的本质特征,是变压器理想化三条件的必然要求和具体表现。而I1/I2=n2/n1最好在初学时不要出现,把它作为变压器公式带来的负作用很大,而且其负作用形成的错误定势很难被克服和矫正。

(3)由条件①可推知,ΔΦ=ΔΦ→Φ,是变压器公式之基础。如图5.9所示,电压表的读数U=u1/n1=u2/n2=Δφ/Δt,即由同一铁芯封闭原副线圈的变压器中,单匝线圈上的电压相同,即为穿过线圈的磁场的磁通量的变化率Δφ/Δt。

2.等效思维,注重分析问题和解决问题能力的培养

在理解和掌握了变压器公式的基础上,教师要引导学生探究分析变压器中最基本的三个回路。原副线圈输入端电压和输入功率并非由电路导线直接传给负载,其中包含着三个基本回路,即输入电流回路→中间传输闭合磁路→负载所在输出电流回路。教师应不失时机的引导学生变通思维,建立物理等效模型。如图5.10所示。

图5.9

图5.10

输入端电流回路:由交流信号源(或发电机)与变压器原线圈组成,变压器原线圈是等效负载,等效电路后的回路遵从欧姆定律,即E=U1+I1r(E,r分别为发电机的电动势和内电阻)

中间传输磁路:总磁通守恒、能量守恒的具体表现形式为P=P,是等效理想电源系统,通过封闭铁芯中电磁场的交互作用,把输入回路的电能传输给输出负载回路,使U1/U2=n1/n2

负载输出回路:等效电路→副线圈等效于无内阻的理想电源,遵循欧姆定律,即U2=I2R(实则是能的转化与守恒)。

通过等效三路的分析,多侧面看能量传输与能量守恒,重基础深拓宽,低起点高落点,建立起了理想变压器模型的内核。

3.模型迁移,训练思维的应变能力

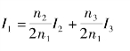
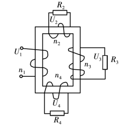
(1)同一封闭铁芯上的一主多副串型变压器,如图5.11示,原线圈匝数为n1,三个副线圈匝数分别为n2、n3、n4,当原线圈两端加正弦交流电压U1时,三个副线圈两端的电压分别为U2、U3、U4,原副线圈中的电流强度分别时I1、I2、I3、I4,引导学生由理想化三条件推理得:

图5.11

进一步深化认识,强调二点:①在只有一个铁芯封闭多个副线圈组成的一主多副型变压器中,由于穿过任意组线圈的磁通量变化率均不变,因而,任意二组线圈两端电压之比均等于其对应匝数之比。

②U1∶U2∶U3∶U4=n1∶n2∶n3∶n4或U1I1=U2I2+U3I3+U4I4所表示的意义均反映出P=P这一能量转化与守恒的本质。

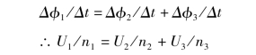
(2)单一铁芯组成的一主两副并型变压器

能否将单一型理想变压器模型灵活运用,关键是能否将理想化条件和理想变压器原理中渗透的思维方法迁移到新的问题情况中。如图5.12示,原线圈匝数为n1,副线圈匝数分别为n2、n3,原副线圈两端的电压和电流分别为U1、U2、U3和I1、I2、I3,引导学生从理想化条件入手分析,抓住封闭铁芯中总磁通守恒这一条件进行启发,易得:

且由能量守恒推理得U1I1=U2I2+U3I3

若n2=n3则U1/U2=2n1/n2,且由U1I1=U2I2+U3I3

图5.12

或 2n1I1=n2I2+n3I3

教学不仅应注重思维的结果,更重要的是要加强思维过程的教学,引导思维、启发思考、探究学习,从知识的来龙去脉中掌握思维方法,学会如何用这些思维方法去处理新情境的问题,这是培养学生学科能力的重要途径。注重知识形成过程中的思维方法教育,在方法教育中训练思维的品质,促进正向迁移,才能有效实现由知识向能力的转化,达到教学的高层境界和最终目的,从而全面提高学生的学科核心素养。