实验教学设计典型案例

六、实验教学设计典型案例

测定电阻实验的基础与常规及其创新设计[3]

(一)实验基础与常规

1.伏安法测电阻

图5.13

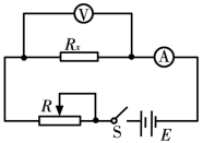
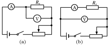
(1)基本原理:伏安法测电阻有(a)、(b)两种接法,如图5.13所示,图(a)叫(电流表)外接法,图(b)叫(电流表)内接法。

测量未知电阻的原理是:

(2)实验测量的误差分析与内外接法的选择原则:

由于测量所需的电表实际上是非理想的,所以在测量未知电阻两端电压U和通过的电流I时,必然存在误差,即系统误差。

①若一般选电流表的内接法。

如图(b)所示,由于该电路中电压表的读数U表示被测电阻Rx与电流表A串联后的总电压,电流表的读数I表示通过本身和Rx的电流,所以使用该电路所测电阻为,比真实值Rx大了RA,相对误差

内接法的系统误差是由电流表的分压引起的,测量值总大于真实值,大电阻应采用内接法。

②若,一般选电流表外接法。

如图(a)所示,由于该电路中电压表的读数U表示Rx两端电压,电流表的读数I表示通过Rx与RV并联电路的总电流,所以使用该电流所测电阻为

外接法的系统误差是由电压表的分流引起的,测量值总小于真实值,小电阻应采用外接法。

图5.14

(3)如果无法估计被测电阻的阻值大小范围,可以利用试触法:如图5.14,将电压表的左端接a点,而将右端第一次接b点,第二次接c点,观察电流表和电压表示数的变化。若电流表示数变化大,说明被测电阻是大电阻,应该用内接法测量;若电压表读数变化大,说明被测电阻是小电阻,应该用外接法测量。(这里所说的变化大,是指相对变化,即ΔI/I和ΔU/U)。

电阻的测量有多种方法,主要有伏安法、欧姆表法,除此以外,还有半偏法测电阻、电桥法测电阻、等效法测电阻等等。

【例1】 一个未知电阻Rx,无法估计它的阻值,按图5.15中(a)、(b)两种电路各测一次,(a)中电表读数分别为3V和4mA,(b)中电表读数分别为3V和3mA。比较两组数据:按______________电路的接法测量较好,Rx的实验值为__________Ω,它比Rx的真实值偏______________。

图5.15

分析:注意分析伏安法测电阻时两种连接方式产生系统误差的原因。

解答:由于两种不同的接法使电流表的读数变化显著,这说明电压表的分流较明显,因此可以判断Rx的阻值与电压表内阻较接近,应选用电流表内接电路(即b图所示电路)。Rx的实验值为

它比真实值偏大。

2.滑动变阻器接法的选择

(1)滑动变阻器的限流式接法与分压式接法的特点

图5.16

如图5.16所示的两种电路中,滑动变阻器(最大阻值为R0)对负载RL的电压、电流强度都能起控制调节作用,通常把图(a)电路称为限流式接法,图(b)电路称为分压式接法。

其中,在限流式电路中,通过RL的电流为,当R0>RL时,IL主要取决于R0的变化;当R0<RL时,IL主要取决于RL,特别是当R0<<RL时,无论怎样改变R0的大小,也不会使IL有较大变化,这种情况下就不能用限流式接法。

在分压式电路中,不论R0大小如何,调节滑动触头P的位置,都可以使IL有明显的变化。

(2)选择滑动变阻器的限流式接法与分压式接法的方法

滑动变阻器以何种接法接入电路,应按照遵循安全性、精确性、节能性、方便性原则综合考虑,灵活择取。

A.下列三种情况必须选用分压式接法:

①要求回路中某部分电路电流或电压实现从零开始可连续调节时(如:测定导体的伏安特性、校对改装后的电表等电路),即大范围内测量时,必须采用分压接法。

②当用电器的电阻RL远大于滑动变阻器的最大值R0,且实验要求的电压变化范围较大(或要求测量多组数据)时,必须采用分压接法。因为按图(b)连接时,因RL>>R0>Rap,所以RL与Rap的并联值R≈Rap,而整个电路的总阻约为R0,那么RL两端电压,显然UL∝Rap,且Rap越小,这种线性关系越好,电表的变化越平稳均匀,越便于观察和操作。

③若采用限流式接法,电路中实际电压(或电流)的最小值仍超过RL的额定值时,只能采用分压式接法。

B.下列情况可选用限流式接法:

①测量时电路电流或电压没有要求从零开始连续调节,只是小范围内测量,且RL与R0接近或RL略小于R0,采用限流式接法。

②电源的放电电流或滑动变阻器的额定电流太小,不能满足分压式接法的要求时,采用限流式接法。

③没有很高的要求,仅从安全性和精确性角度分析两者均可采用时,可考虑安装简便和节能因素采用限流式接法。

【例2】 某电压表内阻在20kΩ~50kΩ之间,现要测量其内阻,实验室提供下列可选用的器材:

待测电压表V(量程3V)

电流表A1(量程200μA)

电流表A2(量程5mA)

电流表A3(量程0.6A)

滑动变阻器(最大阻值1kΩ)

电源E(电动势4V) 开关S

(1)所提供的电流表中,应选用__________。

(2)为了尽可能减小误差,要求测多组数据,试在方框中画出符合要求的实验电路图(其中电流和开关及其连线已画出)。(图略)

解析:在本题中由于电压表内阻远大于滑动变阻器最大阻值,即Rx>>RM,若此时采用限流式,Rx上的电压(电流)变化范围比较小,以至于无法测量电压表内阻,故只能采用分压式连接。电流表选A1

【例3】 从下表中选出适当的实验器材,设计一个电路来测量电流表A1的内阻r1,要求方法简捷,有尽可能高的测量精度,并能测得多组数据。

电流表A1(量程10mA,内阻RL待测,约40Ω)

电流表A2(量程500μA,内阻r2=750Ω)

电压表V(量程10V,内阻r3=10kΩ)

电阻R1(阻值约为100Ω,起保护电阻用)

滑动变阻器R2(总阻值约50Ω)

电池E(电动势1.5V,内阻很小)

开关S 导线若干

图5.17

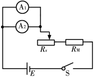
解析:根据本题所给的条件,若采用伏安法,电压表测量的最大电压为1.5V,指针偏转角度过小,无法精确测量,故只能采用两电流表并联,利用电流表的电流与电阻成反比进行测量。保证电阻串联在干路中,两电流表并联后的电阻约为38Ω,Rx<RM,调节滑动变阻器的滑片,Rx上的电流变化范围比较大,因此采用限流式即可满足要求。标准答案尽管给出了分压式和限流式两种答案,但如果从节能的角度出发,应采用限流式连接,如上图5.17所示。

3.实验器材的选择与设计原则

实验器材的选择,首先要符合实验目的、实验原理,在此基础上,要遵循四条原则:

一是安全性,即保障实验器材及实验者的安全。如通过电源和电阻的电流不能超过其允许的最大电流,电表的量程要大于实际值等。

二是精确性,即尽量减少实验误差。如电流表、电压表在安全条件下尽量使指针偏转大一些,一般情况下指针指在满偏值的1/3~2/3左右较为合适,可以减少操作中的相对误差。

三是操作性,要便于操作控制。如滑动变阻器易选择总电阻小的,这样触头移动同样的距离,电阻改变的小,便于操作。

四是节能性,即能量消耗最小原则。

【例4】 用伏安法测量某一电阻Rx阻值,现有实验器材如下:待测电阻Rx(阻值约5Ω,额定功率为1W)、电流表A1(量程0~0.6A,内阻0.2Ω)、电流表A2(量程0~3A,内阻0.05Ω)、电压表V1(量程0~3V,内阻3kΩ)、电压表V2(量程0~15V,内阻15kΩ)、滑动变阻器R0(0~50Ω)、蓄电池(电动势为6V)、开关、导线。

为了较准确测量Rx阻值,电压表、电流表应选___________,并画出实验电路图。

解析:由待测电阻Rx额定功率和阻值的大约值,可以计算待测电阻Rx的额定电压、额定电流的值约为

则电流表应选A1,电压表应选V1。则电流表必须外接。

图5.18

因为滑动变阻器的全阻值大于被测电阻Rx,故首先考虑滑动变阻器的限流接法,若用限流接法,则被测电阻Rx上的最小电流为,故可用限流电路。电路如上图5.18所示。

4.实物图连线方法

(1)无论是分压式接法还是限流式接法,都应该先把测量电路(伏安法部分)接好。

(2)对限流电路,只需用笔画线当作导线,从电源正极开始,把电源、电键、滑动变阻器、伏安法四部分依次串联起来即可(注意电表的正负接线柱并选择正确的量程,滑动变阻器的滑动触头应调到阻值最大处)。

(3)对分压电路,应该先把电源、电键和滑动变阻器的全部电阻丝用导线连接起来,然后在滑动变阻器电阻丝两端之中任选一个接头,比较该接头和滑动触头两点的电势高低,根据伏安法部分电表正负接线柱的分布,将伏安法部分接入该两点间。

注意:

①滑动变阻器的连接方式。

②电表的极性,忌正负极反接。

③双量程电表应注意量程的选择。

④导线连接要美观、清晰、不交叉,尽量避免一开始就用钢笔、圆珠笔直接作答。

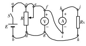
【例5】 如图5.19所示,其中图(a)为测量电阻的电路,Rx为待测电阻,R的阻值己知,R′为保护电阻,阻值未知。电源E的电动势未知,K1、K2均为单刀双掷开关。A为电流表,其内阻不计。

(1)按图(a)所示的电路,在图(b)的实物图上连线。

(2)测量Rx的步骤为:将K2向d闭合,K1向_______________闭合,记下电流表读数I1,再将K2向c闭合,K1_________________向闭合,记电流表读数I2。计算Rx的公式是Rx =______________

图5.19

解析:(1)如下图5.20所示 (2)a,b,I2R/I1

图5.20

(二)电阻测量的若干方法

1.等效替代法

在物理实验中,用已知的标准量去代替未知的待测量,以保持状态和效果相同为判断依据,从而求出待测量的方法叫等效替代法。

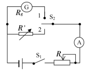
1.1 如图5.21所示的电路,闭合电键S1,使单刀双掷开关S2置于“1”,调节滑动变阻器R,使电流表有较大的偏转,A表的示数为I;然后将单刀双掷开关S2置于“2”,调节电阻箱R′的阻值,使电流表的读数仍为I,此时则有Rg=R′。

图5.21

图5.22

1.2 如图5.21所示的电路,打开电键S2,闭合电键S1,调节滑动变阻器R和电阻箱R′的阻值,使电流表A满偏(或有较大的偏转,读数为I),此时电阻箱R′的读数为R1;再闭合电键S2,调节电阻箱R′的阻值,使电流表仍满偏(或读数仍为I),此时电阻箱R′的值为R2,则有Rg=R2-R1

2.电桥平衡法

2.1 用待测电阻的电表作为一个桥臂,从两条并联支路的中间横跨支路连接一个开关,在开关闭合和断开时,待测电表指示不变,说明电桥平衡,如图5.23所示,则有Rg=R1R3/R2

2.2 若测量的是一般电器或定值电阻的阻值,电桥的连接应如图5.24所示,当调节某电阻使电流计的读数为零时,电桥平衡,则有Rx=R1R3/R2

图5.23

图5.24

3.伏安法的若干变式

伏安法测电阻的实质是用部分电路的欧姆定律R=U/I,只要想办法能把待测电阻两端的电压和通过它的电流采用直接法或间接法测量出来,就可以达到目的。除了基本的电流表内接法和电流表外接法之外,通常还有以下几种变式。

3.1加“R”法

加“R”法的实质就是加保护电阻。在用伏安法测电阻时,由于电流表或电压表的量程太小或太大,为了满足安全、精确的实验原则,就只好加保护电阻,以使其实验圆满完成。

【例6】 某电流表的内阻在0.1Ω~0.2Ω之间,现要测量其内阻,可选用的器材如下:

A.待测电流表A1(量程0.6A);

B.电压表V1(量程3V,内阻约2kΩ)

C.电压表V2(量程15V,内阻约10kΩ);

D.滑动变阻器R1(最大电阻10Ω)

E.定值电阻R2(阻值5Ω)

F.电源E(电动势4V)

G.电键S及导线若干

(1)电压表应选用______________;

(2)画出实验电路图;

(3)如测得电压表的读数为v,电流表的读数为I,则电流表A1内阻的表达式为:RA =________。

解析:本题利用电压表测电压,电流表测电流的功能,可以根据欧姆定律计算电流表的内阻。由于电源电动势为4V,在量程为15V的电压表中有的刻度没有利用,测量误差较大,因而不能选;量程为3V的电压表其量程虽然小于电源电动势,但可在电路中接入滑动变阻器进行保护,故选用电压表V1。由于电流表的内阻在0.1Ω~0.2Ω之间,量程为0.6A,电流表上允许通过的最大电压为0.12V,因而电压表不能并联在电流表的两端,必须将一个阻值为5Ω的定值电阻R2与电流表串联再接到电压表上,才满足要求。滑动变阻器在本实验中分压与限流的连接方式均符合要求,但考虑限流的连接方式节能,因而滑动变阻器采用限流的连接方式,故本题电压表选用V1,设计电路图如图5.25所示。电流表A1内阻的表达式为

图5.25

点评:本题实际上是伏安法测电阻原理的简单变式。增加R的目的只是为了能使提供的电流表或电压表在量程范围内安全地使用。

3.2.A-A表法

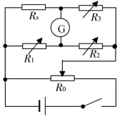
“A-A表法”是用两块电流表测电阻的一种方法,这一方法的创新之处在于运用已知内阻的电流表测量了电压,起到了一块电压表的作用。此种方法适用于已知电压表不能用或没有电压表的情况下。这种方法可以用来测量未知电阻的阻值,也可以用来测量电流表的内阻,适合于测量一般小电阻。例如:

【例7】 实验室中现有器材如实物图5.26所示,有:电池E,电动势约10V,内阻约1Ω;电流表A1,量程约10A,内阻约为0.2Ω;电流表A2,量程300mA,内阻约5Ω;电流表A3,量程250mA,内阻约5Ω;电阻箱R1,最大阻值999.9Ω,最小阻值改变量为0.1Ω;滑线变阻器R2,最大值100Ω;开关S;导线若干。要求用图5.27所示的电路测量图中电流表A的内阻。

图5.26

图5.27

(1)在所给的三个电流表中,哪几个可以用于此电路并能够精确测出其内阻?

答:___________________________________________________________。

(2)在可测的电流表中任选一个作为测量对象,在实物图上连成测量电路。

(3)你要读出的物理量是_______________________。用这些物理量表示待测内阻的计算公式是______________________。

解析:(1)电流表A1不能精确测出其内阻,因这时图中的电流表A′应为A2、A3中的一只,这使得电流表A1中的电流不能超过300mA,其指针的偏转极其微小,误差很大。而A2、A3可用于此电路并能够精确测出其内阻。

(2)若测r3,实物连线如图5.28所示。

图5.28

(3)根据前面的分析,要读出的物理量是A、A′两电流表的示数I、I′和电阻箱的阻值R1,待测内阻的计算公式是

【例8】 用下列器材测量一个待测电阻的阻值,器材与规格如下:

电流表A1(量程是250mA,内阻R1为5Ω)、标准电流表A2(量程300mA,内阻R2为5Ω)、待测电阻R1(内阻约为100Ω)、滑动变阻器R2(最大阻值10Ω)、电源E(电动势约为10V,内阻约为1Ω),开关、导线等。

(1)要求方法简洁,并能测多组数据,画出实验电路图,并注明各器材的代号。

(2)实验中需要直接测量的物理量是______________,用测得量表示待测电阻R1的阻值计算式为R1=________。

图5.29

解析:要想到用电流表可以测电压,这是一种创新思维。(1)实验电路图如图5.29所示。(2)A1、A2两块电流表的读数分别是I1、I2,则待测电阻阻值计算式为R1=I1R1/(I2-I1)。

3.3 V-V表法

用两块已知内阻的电压表也可以测量待测电阻,此种办法适合于测量大电阻,也可以用来测量电压表的内阻。

【例9】用以下器材测量一待测电阻Rx的阻值(900~1000Ω):

电源E,具有一定内阻,电动势约为9.0V;

电压表V1,量程为1.5V,内阻R1=750Ω;

电压表V2,量程为5V,内阻R2=2500Ω;

滑线变阻器R,最大阻值约为100Ω;

单刀单掷开关K,导线若干。

测量中要求电压表的读数不小于其量程的1/3,试画出测量电阻Rx的一种实验电路原理图(原理图中的元件要用题图中相应的英文字母标注)。若电压表V1的读数为U1,电压表V2的读数为U2,则由已知量和测量量表示Rx 的计算公式为________。

解析:由于没有电流表,所以两电压表中,一个与待测电路串联,用于测量流过的Rx电流;另一个与被测电阻并联,用于测量Rx两端的电压。又由于Rx的值比滑动变阻器R的值大很多,由前面分析测量电路中应串联一电压表。而电压表内阻也比滑动变阻器R大得多,所以若采用如图5.30所示的限流式接法,则电压调节范围小。

图5.30

图5.31

图5.32

因对于电压表V1,作电流表用时量程为

对于电压表V2,作电流表用时量程为I2=

而按此电路通过V2的最小电流为:

图5.33

计算表明电压表超过量程,因此滑动变阻器应采用分压式接法。电路原理图应如图5.31所示。

同理,若采用如图5.32所示的限流式接法,则电压调节范围小。计算表明电压表也超过量程,因此滑动变阻器应采用分压式接法。电路原理图如图5.33所示。

根据串并联电路的规律,待测电阻的计算公式为Rx=(U2-U1)RV1/U1

图5.34

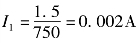
【例10】 为了测量量程是3V的电压表V的内阻(阻值约2000Ω),实验室可以提供的器材有:

电流表A1(量程是0.6A,内阻约0.1Ω)、电压表V2(量程5V,内阻约3500Ω)、变阻箱R1(阻值范围0~9999Ω)、变阻箱R2(阻值范围0~99.9Ω)、滑动变阻器R3(最大阻值约100Ω,额定电流1.5A)、电源E(电动势为6V,内阻约为0.5Ω),开关、导线若干。

(1)请从上述器材中选择必要的器材,设计一个测量电压表内阻的实验电路,画出电路原理图(图中的元件要用题中相应的英文字母标注),要求测量尽量精确。

(2)写出计算电压表内阻RV的计算式RV =__________。

解析:(1)测量电路图如图5.34所示。(2)电压表V的读数为U,电压表V2的读数为U2,电阻箱R1的读数为R1,根据欧姆定律与串并联电路知识可知,电压表的电阻为RV=UR1/(U2-U)。

3.4 A-V表法

当要求测量电压表内阻,而只有电流表时,可以将待测电压表与电流表串联使用。但要注意电流表的选择应符合安全性、精确性、操作性和节能性原则。

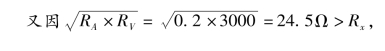
【例11】 某电压表的内阻在20kΩ~50kΩ之间,现要测量其内阻,实验室提供下列实验器材:

待测电压表V(量程3V),电流表A1(量程200μA),电流表A2(量程5mA),电流表A3(量程0.6A),滑动变阻器R(最大阻值1kΩ),电源E(电动势4V),开关K。

(1)所提供的电流表中应选用____________(填写字母代号);(2)为了尽量减少误差,要求测多组数据,试画出符合要求的电路图。

提示:本题考查电流表的合理选取、电流表和和滑动变阻器的合理接法。电压表的读数是其电阻两端的电压,若用电流表与其串联可测出电流,根据欧姆定律R=U/I即可测出电阻。电路中可能通过的最大电流是Im=E/Rmin=200mA,又考虑尽量减少实验误差,所以电流表选用A1

图5.35

因为R/RV的值在1/50~1/20之间,若采用限流式接法,其控制作用很弱,又不能保证电压表安全,而采用分压式接法,调压范围在0~4V之间,并可多测几组数据,从而减少误差。电路如图5.35所示。

【例12】 利用下图5.36所示的电路测量电流表mA的内阻RA。图中R1、R2为电阻,K1、K2为电键,B是电源(内阻可忽略)。

(1)根据图5.36所给出的电路原理图,在图5.37的实物图上连线。

(2)已知R1=140Ω,R2=60Ω。当电键K1闭合,K2断开时,电流表读数为6.4mA;当K1、K2均闭合时,电流表读数为8.5mA。由此可以求出RA =______Ω。(保留2位有效数字)

图5.36

图5.37

解析:(1)电路如右图5.38所示。

(2)43Ω

图5.38

3.5 V-R法测电流表内阻

图5.39

如图5.39所示电路,闭合电键S,调节滑动变阻器R和电阻箱R′的阻值,使待测电表G和电压表V指针偏转到足够大,示数分别为I和U,则通过G的电流为I,其两端的电压为U-IR′,所以有Rg=(U-IR′)/I。

注意:由于电流表和电压表两端允许的电压相差太大,直接并联不能同时偏转到足够大,所以需要给电流表串联一个电阻箱调节其数值使电流表偏转到足够大。

图5.40

3.6 A-R法测电流表内阻

如图5.40所示电路,闭合电键S,调节滑动变阻器R和电阻箱R′的阻值,使待测电表G和电流表A指针偏转到足够大,示数分别为I和I0,则R′两端的电压值为(I0-I)R′,则有Rg=(I0-I)R′/I。

4.半偏法

半偏法有两种电路,如图5.41中图A、B所示。

(1)对于图A,操作步骤:

图5.41

①闭合S1,打开S2,调节R1使电流表满偏;②再闭合S2,调节R2使电流表半偏;(注意:此过程不能再调节R1);③则此时的R2=Rx

误差分析:S1闭合后,R2与待测电流表并联,使电路的总电阻变小,总电流变大,这时电流表中的电流半偏时,通过R2的电流必定大于电流表中的电流,因此此时R2的阻值小于电流表内阻,故使测量值偏小。

使用范围:当R1远远大于待测电流表的内阻时,测量误差较小。

注意:如果不满足R1>>Rx,可在干路中接入一个电流表,监视干路中电流使之不变,即恒流。

(2)对于图B电路,操作步骤:

①闭合S,使R2为零,调节R1使电压表满偏;②不改变R1的位置,调节R2的阻值,使电压表半偏;③此时R2的阻值即为待测电压表的内阻。

误差分析:

使用范围:当R1<<Rx时,测量误差较小。

注意:若不是R1<<Rx,可用电压表监视,直接将电压表并联在电阻箱和V表的两端,调节电阻箱的阻值使V表读数不变。

【例13】 如图5.42所示的是测定电流表内阻的实验电路,

其操作步骤如下:

图5.42

(1)合上电键S1,调节R1,使R1接入电路的阻值为R1=15kΩ,此时电流表的示数为3mA。

(2)再合上电键S2,保持R1不变,调节R2,使R2接入电路的阻值为R2=100Ω,此时电流表的示数数为1mA。

由此可判断:电流表的内阻的测量值应为′=__________Ω,和其真实值rg相比,应有′略__________于rg

分析:要求掌握测定电流表内阻的实验原理并能运用原理做灵活的定量处理。

解答:由于R1=15kΩ>>R2=100Ω

所以合上电键S2,在电流表上并联R2后,电路的总阻值几乎未变,于是总电流AB可以认为是3mA,而此时流过电流表的电流为1mA,则可认为流过R2的电流为2mA,考虑到并联电路分流,电流强度与电阻成反比,可以判断:电流表内阻的测量值为

′=200Ω

由于并联上R2后使电路总电阻略有减小,干路总电流略有增加,流过R2的电流应该比2mA略大一些,由此可判断:Rg′略小于rg

5.满偏法测电流表内阻

图5.43

5.1 如图5.43所示,打开电键S2,闭合电键S1,调节电阻箱R的阻值,使待测电流表G满偏,则有:I=Ig=E/(r+R+Rg);再闭合电键S2,调节电阻箱R的阻值减小为原来的一半,再调节电阻箱R′的阻值使待测电流表G的指针仍然满偏,此时干路电流为:I′=E/[r+R/2+R′Rg/(R′+Rg)];由并联电路两端电压相等得:IgRg=(I′-Ig)R′,解得Rg=R′R/(2r+R)

如果电源内阻很小,相对R可忽略不计,则有:Rg=R′

注意:此方法与半偏法相比,不需要条件R>>Rg的限制,并且准确度较高。

图5.44

5.2 如图5.44所示,闭合电键S,调节变阻器R0使电压表V读数为U1,调节电阻箱R,使待测电流表G满偏Ig,此时电阻箱R的阻值为R1,有:Ig=U1/(Rg+R1

然后调节变阻器R0,使电压表读数U2=U1/2,再调节电阻箱R,使待测电表仍然满偏Ig,此时电阻箱R的阻值为R2,则:Ig=(U1/2)/(Rg+R2);解得:Rg=R1-2R2

6.闭合电路欧姆定律法

图5.45

【例14】 用图5.45所示的电路测定未知电阻Rx的值。图中电源电动势未知,电源内阻与电流表的内阻均可忽略不计,R为电阻箱。

(1)若要测得Rx的值,R至少需要取________个不同的数值。

(2)若电流表每个分度表示的电流值未知,但指针偏转角度与通过的电流成正比,则在用此电路测Rx时,R至少需取________个不同的数值。

(3)若电源内阻不可忽略,能否应用此电路测量Rx?答:_______。

解析:(1)2 (2)2 (3)不能

图5.46

【例15】 利用图5.46中给定的器材测量电压表V的内阻RV。图中B为电源(内阻可忽略不计),R为电阻箱,K为电键。

(1)将图中实物连接为测量所用的电路。

(2)写出实验中必须记录的数据(用符号表示),并指出各符号的意义:__________________________________________________________。

(3)用(2)中记录的数据表示RV的公式为RV =______________。

图5.47

解析:(1)连线如图5.47所示。

(2)R1、R2,它们是电阻箱的两次读数;U1、U2,它们是相应的电压表的两次读数。

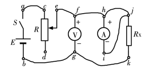
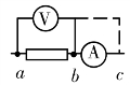
【例16】 在测量电阻的实验中,提供的器材有:3V稳压电源E,滑动变阻器R,电压表V,电流表A,待测电阻Rx,以及开关S,导线等。要求:①电流表内接;②调节滑动变阻器可使电压表的示数在0V~3V间变化。在实验中,有的同学连成图5.48、图5.49所示的电路,其中a,b,c,…,k是表示接线柱的字母。请将图5.48、图5.49中接线错误(用导线两端接线柱的字母表示)、引起的后果、改正的方法(改接、撤消或增添),分别填在图下面相应的表格中。

图5.48

图5.49

解析:图5.48对应的表格

图5.49对应的表格

(三)电阻测量实验的意义及价值

为何实验青睐于考查电学的电阻测量实验题?因为电学实验所占的比例较大,而且具有一系列能较好地体现实验考查功能的特征。其特点有:一是设计性,例如电学实验中的测电阻问题,除了伏安法之外,有电桥平衡法、双电阻法、V-R法、A-R法、等效替代法、半偏法等多种;二是探究性,器材的选择、电路选择、方法选择均要经过尝试、选择、探究过程;三是灵活性,题目变化多,有足够变化的形式与内容;四是思想性,充分彰显了物理学的思想方法和实验特征,如迁移和回归思想、发散思维、求异思维等;五是综合性,综合了实验与电学双基要求,需要分析、计算、推理、综合等;六是全面性,对双基与能力要求全面,将知识与技能、过程与方法、情感态度与价值观相统一,体现创新意识与创新思维。