指导学生做好总复习的基本方法

一、指导学生做好总复习的基本方法

1.读书分析法

就是要吃透课本抓基础。有人认为,复习就是授课内容的复述和再现,把旧知识加以巩固就完成了复习任务。实际上仅限于这样的复习是远远不够的。因为,教师在授新课时,不可避免地存在知识的遗漏、疏忽,甚至遗忘,所有学生也不可能把大纲和教材所涉及的知识学懂吃透。这些被遗漏和疏忽的知识,以及学生还没有吃透的知识,如果在复习中不加以解决,就会留下知识的“死角”,这是复习的大忌。因此,必须在全面扎实复习课本知识的基础上,注重查漏补缺,这样,既能使复习课具有新意,又能使学生全面把握知识,从而提高复习质量。同时,由于新课学习时受到一定的限制,许多知识是零散的,缺乏整体的理解,总复习中就要从整个高中物理的角度对每一个基本概念和基本规律系统地加以整合。

整个复习过程中课本要三读,即一遍细读、二遍整读、三遍精读。第一轮复习细读课本,吃透每一个基本概念、基本规律、基本方法,在“准”字上下功夫。第二轮复习要整读课本,按照章或单元分块阅读,在读的基础上理清知识脉络,建立知识体系和网络结构,把知识穿成线、连成面、织成网,使知识横向发展;把问题分成类,整理基本方法,在读的基础上整理知识、整理方法、整理题型是这一次读书的目的。最后,在考前一周内要精读课本,回归课本,熟悉知识、理清思路。如《电场》一章,概念多,抽象性强,通过复习阅读可把教材精炼为一个定律——库仑定律,三个概念——电场强度、电势、电容,三个关系——场强方向与电荷受力方向的关系、电力线与场强方向的关系、电场线与电势降落方向的关系。经过这样分析处理,学生对于静电学的知识主次就分明了。阅读教材时,还要注意发现知识缺陷在什么地方,要分析知识缺陷产生的原因,及时拾遗补漏。

总复习阅读,主要在于深化知识理解,因此就是要充分挖掘教材的内容,加深拓宽知识面。如复习机械振动时,可让学生分析教材中一练习题:“假如把单摆和弹簧振子都从地球移到月球上,它们的振动频率是否改变?为什么?”当学生据g≠g,得出单摆周期要变,振动频率也要变的结论后,再分析若把单摆置于离地面高为h处,频率是否改变?置于匀加速上升(或下降),匀减速上升(或下降)的升降机中,频率是否变?置于在光滑斜面上自由下滑的小车上,频率是否改变?最后可总结出摆长一定时,单摆所处的位置或运动状态改变了,一般周期也相应的改变。这样把课本上的问题结合有关知识进行综合、变化,有利于挖掘知识间的逻辑联系,有利于培养学生发散思维能力。这样复习阅读,学生不会有单调、呆板之感,反而觉得课本里面有深度可挖,有方法可学,有奥妙可寻,乐趣无穷。

2.比较分析法

物理总复习的第一阶段,首先应该认真复习基本概念和基本规律,即认真复习基础知识。在中学物理中,有很多概念和规律容易混淆不清。而对概念、规律认识不清,理解不准确,就谈不上应用物理理论去分析和解决问题,更谈不上发展能力。学生在学习和运用知识过程中,经常发生思维障碍,这种障碍产生的原因,多是由于对物理概念之间、物理规律之间的因果关系、条件关系、本质联系和差异含混不清造成的。如位移和路程、动能和动量、动能定理和功能原理、振动和波、电势和电势差等等,都是易混易错的交集点。在总复习过程中,引导学生用列表比较法对易混概念或规律加以鉴别和认识是一种比较有效的方法。列表比较法本身是形象思维和抽象思维的结合。当外界信息进入大脑后就会发生耦合、接通,激活贮存的信息,并发生相互作用,互相渗透和重新组合。通过比较、分析、联想一系列思维活动,使学生把握住易混概念或规律之间的联系及共同点,找出之间的差异,达到深刻理解和牢固掌握的目的。

对物理概念、规律进行比较是物理知识内化的重要形式。有许多物理概念和规律既有联系,又容易混淆,运用比较的方法,可以起到很好的复习效果。如电场和磁场、电场强度和磁感应强度、振动图象和波的图象、动量定理和动能定理、氢原子的能级与地球卫星的能量关系、原子的能级与原子核能等等。

如“能量及其守恒”是中学物理贯穿始终的一条主线,因此,教学中要以功和能的关系为专题,首先吃透力学中的五种基本功能关系,即动能定理、重力(弹力)做功与重力(弹性)势能的关系、机械能守恒定律、功能原理、系统内摩擦发热与机械能变化的关系,其实质是对动能改变、势能改变、机械能改变和内能增加的判断与因果关系概括。进而横向联系物理各部分内容(热学、电磁学、光学、原子与原子核物理等)中能量转化与守恒的具体表现形式。对于其中的难点——“势能”,可以引导学生发掘出中学物理只涉及到的四种形式的势能——重力势能、弹性势能、分子势能、电势能,比较中加以理解其特点,就能系统地把握规律。

俄国著名心理学家谢切诺夫说:“比较是人的最珍贵的智力宝藏。”列表比较法是开发智力宝藏的好方法。它有助于学生对物理概念、规律的理解、记忆,有助于知识的迁移和思维能力的培养。教师要做好示范,并指导学生在运用此法时要特别注意,对相似概念或规律,要找出它们的本质区别;对差异很大的概念或规律,要找出它们的相同点。例如,对功和能关系在物理各部分中的应用列表比较如下:

3.总结归纳法

中学物理是一个完整的知识体系。任何知识体系都有其内部联系,既有横向的联系,又有纵向的沟通。但是平时教学则要把完整的知识体系化整为零,分解成若干微小的单元,采取一口一口“吃掉”的分段教学。总结归纳法就是还知识于本来面貌,系统化、结构化的过程,是能力提升的过程。

总复习时要按中学物理的知识结构和学生的实际情况,重新组织教材内容。在总复习的整体安排上,宜先以章为单元进行小综合式复习,在学生头脑中形成一个个知识的小系统。然后再依基本规律或基本理论进行跨章节的大综合式复习。复习系统是一个开放系统,以教师和学生、教材和教师的立体双向信息传递方式进行交流,要不断使学生吸收新的信息,改换新的思维角度,运用新的研究方法,才能实现学生头脑中的知识由简单到复杂、由片面到全面、由无序到有序的转化。对知识的归纳总结可沿着从一般到特殊这样一条线索,按着知识的内在联系,理清知识脉络,以求达到知识归类系统化、知识联系网络化。并在此基础上搞清概念、规律在知识体系中的地位。

由于知识的本质联系方式是多种多样的,所以可从不同角度,多层次地把知识系统化。知识系统化的关键是要切实打好基础,即以扎扎实实掌握的概念为点,以熟练掌握的物理规律为线,编织成的知识网才有实际意义。学生掌握了总结归纳法,就可把知识“结网”,绘制主线明确、思路流畅、安排巧妙、横向跨度大、纵向联系深的知识结构网络图。如对于动力学的三大基本观点,总结归纳如下:

4.解题思考法

解题练习是复习的有效手段之一,复习效果的好坏往往体现在知识的灵活运用程度,这就离不开解题。复习阶段学生有两种倾向值得注意,应通过引导加以解决:一是有些学生依赖心理很强,等待教师传授一些解题的“秘诀”和“法宝”;二是有些学生整天忙于做题,实际上是把精力都放在识别题型,套用现成解题模式上去了。教师要精心设计、选择一些突出基础知识、解题方法灵活的典型题目,指导学生练习。通过一题多问、一题多变、一题多解和多题归一等不同形式的练习,比较不同解法的优劣,达到举一反三、触类旁通的效果。

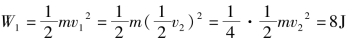
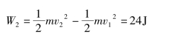
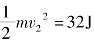
例如:在光滑水平面上有一静止的物体,现以水平恒力甲推这一物体,作用一段时间后,换成相反方向的水平恒力乙推这一物体。当恒力乙作用时间与恒力甲作用时间相同时,物体恰好回到原处,此时物体的动能为32J。则在整个过程中,恒力甲做的功等于________J,恒力乙做的功等于________J。

这是一道经典型的好题,可以从不同的角度思考,运用不同的规律和方法得出不同的解法。

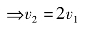
方法1:运用动能定理和动量定理分段分析

联立(5)、(6)式可得:v2=2v1

由题知:,则

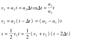
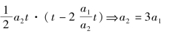
方法2:根据匀变速直线运动规律分析

联立式(5)、(6)可得:v2=2v1

方法3:由匀变速直线运动及v-t图象分析

由v-t图知:

图6.24

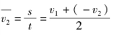
方法4:由平均速度概念分段分析

在前一段运动过程中,

在后一段运动过程中,

由上两式可解得:v2=2v1

四种不同思路,就有四种不同解法,其中第四种解法简捷,又快又好。通过解题训练,学生要多思,通过联想、概括等思维活动,培养思维的发散性和灵活性;要打通思路,做到由生到熟,由熟到巧,掌握解题的基本方法和规律,能准确、迅速地分析问题解决问题。

5.实验联想法

实验能力的培养与提高,也是总复习的一个重点和难点。总复习阶段不能以讲代替做实验,也不能重复平时的实验。要开放实验室,给学生创造手脑并用的机会。教师要引导学生善于联想、开动脑筋,把平时做过的相关实验组合为新实验,或由学生自己设计实验。如利用平抛、竖直上抛运动有关规律,要求学生设计出几种测玩具手枪子弹出口速度的实验。又如给定一些器材,要求选用其中一部分符合需要的器材组成电路,比较准确的测出小灯泡的实际功率,并要求电路消耗的功率较小。这样既能让学生熟悉常用仪器的使用,提高实验技能,又能提高其对知识的综合应用能力。

6.主干带动法

总复习必须明确方向,要把课程标准和物理考纲中所规定的高考物理的主干核心知识点与命题热点梳理清楚,对每一模块、单元进行复习时,要抓住主干核心知识,发挥以点带面的作用,才能提高复习的效率。如下表所示,为高考物理的重点和命题热点,复习时可供参考。

复习方法是多种多样的,教师要指导学生注意将各种方法相互补充,相互配合,才能取得良好的复习效果。