习题教学的升华与活化

五、习题教学的升华与活化

习题教学贯穿于中学物理教学的始终,是深化基础知识的通道,是联系各部分知识的纽带和桥梁,是学生学习过程实现认识第二次飞跃的必由之路。解题并不在多,而贵在精深透活。与其肤浅地解决多题,在题海中浮游,不如进行典型习题的深入探究,钻进去就可以进入另一种境界。从习题中总结出几条规律来,就可以以例带类、以点及面、以一当十、以少胜多。只有通过典型的例题进行习题课教学的深化与活化探究,对解题的常规思维方法进行总结、归纳、优化,从反面给出错误进行辨析,从多角度引导思考,从多侧面设问和全面改造原题,使例题求解达到精化、深化、活化和变化,才能开拓学生思路,全面提高学生物理学科思维品质,将学生从题海中解放出来,才有利于培养学生的创造思维能力。

【案例2】 带电粒子加速问题模型探究

带电粒子在电场和磁场中的运动问题是高中物理的力学与电磁学相结合的学科内综合问题,也是多年来高考的重点、热点问题,常考常新,立意无穷,是一种从多视角考查学生的理解能力、推理能力、应用数学解决问题的能力、分析综合能力和分析运用信息、建立物理模型、突出物理思想等多种能力的综合问题。其中的加速器问题是一种联系高科技的典型问题,既具有复杂性,又具有综合性和典型性,对其探究分析是高考复习的一个重要的专题内容,对提升学生的学科素养、培养物理学科能力具有重要意义和价值。

一、一级高压电源加速器

例1:(2002年全国理综卷)电视机的显像管中,电子束的偏转是用磁偏转技术实现的。电子束经过电压为U的加速电场后,进入一圆形匀强磁场区域,如图1所示。磁场方向垂直于圆面。磁场区中心为O,半径为r。当不加磁场时,电子束将通过O点而打到屏幕的中心M点。为了让电子束射到屏幕边缘P点,需要加一匀强磁场,使电子束偏转一已知角度θ,此时磁场的磁感应强度B应为多少?

图1

解析:如图2所示,电子在磁场中沿圆弧ab运动,圆心为C,半径为R。以v表示电子进入磁场时的速度,m、e分别表示电子的质量和电量,则

图2

由以上各式解得

点评:此类题要注意,一是电子的偏转主要发生在磁场中,圆形区域磁场中的运动电子做圆弧形运动,圆形磁场区域与电子的圆弧偏转轨迹中隐含着几何约束关系,这是解答本题的关键点;二是电子出了磁场区域后的运动是匀速直线运动。此类题的实质是电子的分段运动问题,在不同的阶段电子的运动性质不同,要在分段分析基础上模型化问题,进而选择合理的物理规律解题。

二、二级串列加速器

图3

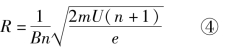
例2:(2003江苏)串列加速器是用来产生高能离子的装置。图3中虚线框内为其主体的原理示意图,其中加速管的中部处有很高的正电势U、两端均有电极接地(电势为零)。现将速度很低的负一价碳离子从a端输入,当粒子到达b处时,可被设在此处的特殊装置将其电子剥离,成为二价正离子,而不改变其速度大小,这些正价碳离子从c端飞出后进入一与其速度方向垂直的、磁感强度为B的匀强磁场中,在磁场中做半径为R的圆周运动。已知碳离子的质量m=2.0×10-26kg,U=7.5×105V,B=0.05T,n=2,基元电荷e=1.6×10-19C,求R。

解析:设碳离子到达b处时的速度为v1,从c端射出时的速度为v2,由能量关系得:

进入磁场后,碳离子做圆周运动,可得

由以上三式可得

由④式及题给数值可解得R=0.75m

点评:本题仍属于多过程问题,粒子在从a到b再到c的过程中始终在加速,最后进入匀强磁场中偏转。理解粒子从a到b再到c的过程中始终在加速运动是问题分析的关键。

三、多级直线加速器

图4

例3:(1988全国)N个长度逐个增大的金属圆筒和一个靶,它们沿轴线排成一串,如图4所示(图中只画出了六个圆筒,作为示意)。各筒和靶相间地连接到频率为γ、最大电压值为U的正弦交流电源的两端。整个装置放在高真空容器中。圆筒的两底面中心开有小孔。现有一电量为q、质量为m的正离子沿轴线射入圆筒,并将在圆筒间及圆筒与靶间的缝隙处受到电场力的作用而加速(设圆筒内部设有电场)。缝隙的宽度很小,离子穿过缝隙的时间可以不计。已知离子进入第一个圆筒左端的速度为v1,且此时第一、二两个圆筒间的电势差为U1-U2=-U。为使打到靶上的离子获得最大能量,各个圆筒的长度应满足什么条件?并求出在这种情况下打到靶上的离子的能量。

解析:为使正离子获得最大能量,要求粒子每次穿越缝隙时,前一圆筒的电势比后一圆筒的电势高U,这就要求离子穿过每个圆筒的时间都恰好等于交流电的半个周期。由于圆筒内无电场,离子在筒内做匀速运动。设vn为离子在第n个筒内的速度,则有:

第n个圆筒的长度为

联立以上两式解得第n个圆筒的长度应满足的条件为:

打到靶上的离子能量为:

点评:本题有两个关键点要弄清楚,一是离子在每一个筒内不受电场力作用而做匀速直线运动;二是要使离子打到靶上的动能最大,则每经过两筒间的缝隙时必须在电场作用下加速,由于离子的速度越来越大,所以圆筒的长度越来越长,具有递推性。

四、多级变轨回旋加速器

例4:一个回旋加速器,当外加电场的频率一定时,可以把质子的速率加速到v,质子所能获得的能量为E,则:(1)这一回旋加速器能把α粒子加速到多大的速度?(2)这一回旋加速器能把α粒子加速到多大的能量?(3)这一回旋加速器加速α粒子的磁感应强度跟加速质子的磁感应强度之比为?

解:(1)由

由周期公式得知,在外加电场的频率一定时,为定值,得va=v。

(2)由为定值得,在题设条件下,粒子最终获得动能与粒子质量成正比。所以α粒子获得的能量为4E。

(3)由周期公式

决定带电粒子在回旋加速器内运动时间长短的因素:

带电粒子在回旋加速器内运动时间长短,与带电粒子做匀速圆周运动的周期有关,同时还与带电粒在磁场中转动的圈数有关。设带电粒子在磁场中转动的圈数为n,加速电压为U。每加速一次粒子获得能量为qU,每圈有两次加速。结合知 ,

, 因此。 所以带电粒子在回旋加速器内运动时间

点评与讨论:回旋加速器是高中物理学习的重点内容之一,但很多同学往往对这类问题似是而非,认识不深,甚至束手无策、,因此在学习过程中,尤其是高考复习过程中应引起重视。

1.有关物理学史知识和回旋加速器的基本结构和原理

图5

1932年美国物理学家应用带电粒子在磁场中运动的特点发明了回旋加速器,其原理如图5所示。A0处带正电的粒子源发出带正电的粒子以速度v0垂直进入匀强磁场,在磁场中匀速转动半个周期,到达A1时,在A1A1′处造成向上的电场,粒子被加速,速率由v0增加到v1;然后粒子以v1在磁场中匀速转动半个周期,到达A2′时,在A2′A2处造成向下的电场,粒子又一次被加速,速率由v1增加到v2……如此继续下去,每当粒子经过AA′的交界面时都是它被加速,从而速度不断地增加。带电粒子在磁场中做匀速圆周运动的周期为,为达到不断加速的目的,只要在AA′上加上周期也为T的交变电压就可以了,即

实际应用中,回旋加速是用两个D形金属盒做外壳,两个D形金属盒分别充当交流电源的两极,同时金属盒对带电粒子可起到静电屏蔽作用,金属盒可以屏蔽外界电场,盒内电场很弱,这样才能保证粒子在盒内只受磁场力作用而做匀速圆周运动。

2.带电粒子在D形金属盒内运动的轨道半径是不等距分布的

设粒子的质量为m,电荷量为q,两D形金属盒间的加速电压为U,匀强磁场的磁感应强度为B,粒子第一次进入D形金属盒Ⅱ,被电场加速1次,以后每次进入D形金属盒Ⅱ都要被电场加速2次。粒子第n次进入D形金属盒Ⅱ时,已经被加速(2n-1)次。

由动能定理得(2n-1)

第n次进入D形金属盒Ⅱ后,由牛顿第二定律得

由①②两式得

同理可得第n+1次进入D形金属盒Ⅱ时的轨道半径

所以带电粒子在D形金属盒内任意两个相邻的圆形轨道半径之比为,可见带电粒子在D形金属盒内运动时,轨道是不等距分布的,越靠近D形金属盒的边缘,相邻两轨道的间距越小。

3.决定带电粒子在回旋加速器内运动最终能量的因素

由于D形金属盒的大小一定,所以不管粒子的大小及带电量如何,粒子最终从加速器内设出时应具有相同的旋转半径。

由牛顿第二定律得

动能和动量大小存在定量关系

由①②两式得

可见,粒子获得的能量与回旋加速器的直径有关,直径越大,粒子获得的能量就越大。

五、多级变频圆周加速器

例5:如图6所示为一种获得高能粒子的装置,环形区域内存在垂直纸面向外、大小可调节的均匀磁场。质量为m,电量为+q的粒子在环中做半径为R的圆周运动。A、B为两块中心开有小孔的极板,原来电势都为零,每当粒子飞经A板时,A板电势升高为+U,B板电势仍保持为零,粒子在两极间电场中加速;每当粒子离开B板时,A板电势又降为零,粒子在电场一次次加速下动能不断增大,而绕行半径不变。

(1)设t=0时,粒子静止在A板小孔处,在电场作用下加速,并绕行第一圈。求粒子绕行n圈回到A板时获得的总动能En

图6

(2)为使粒子始终保持在半径为R的圆轨道上运动,磁场必须周期性递增。求粒子绕行第n圈时的磁感应强度B。

(3)求粒子绕行n圈所需的总时间tn(设极板间距远小于R)。

(4)在粒子绕行的整个过程中,A板电势是否可始终保持为+U?为什么?

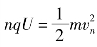
解析:(1)设经n圈回到A板时被加速n次,由动能定理得nqU=En-0,得En=nqU。

(2)经n次加速后,速度为vn,由动能定理得

在绕行第n圈时,由解得

(3)绕行第n圈时间

(4)不可能。

点评:本题是带电粒子在电场中加速和在磁场中偏转的巧妙结合,每一次加速后垂直进入匀强磁场中,均符合匀速圆周运动的条件,通过改变磁感应强度B即可获得满足能量要求的高能粒子。

六、电磁感应连续圆周加速器

例6:右图7中,内壁光滑、水平放置的玻璃圆环内,有一直径略小于环口径的带正电的小球,正以速率v0沿逆时针方向匀速转动。若在此空间突然加上竖直向上、磁感应强度B随时间成正比例增加的变化磁场,设小球运动过程中的电量不变,那么( )

图7

图8

A.小球对玻璃环的压力不断增大

B.小球受到的磁场力不断增大

C.小球先沿逆时针方向做减速运动,过一段时间后,沿顺时针方向做加速运动

D.磁场力一直对小球不做功

解析:因为玻璃环所在处有均匀变化的磁场,在周围产生稳定的涡旋电场,对带正电的小球做功。由楞次定律,判断电场方向为顺时针,在电场力的作用下,小球先沿逆时针方向做减速运动,过一段时间后,沿顺时针方向做加速运动。小球在水平面内沿轨道半径方向受两个力:环的弹力N和磁场的洛仑兹力f,而且两个力的矢量和始终提供向心力,考虑到小球速度大小的变化和方向的变化以及磁场强弱的变化,弹力和洛仑兹力不一定始终在增大。洛仑兹力始终和运动方向垂直,所以磁场力不做功。正确的为CD。

例7:电子感应加速器是利用变化磁场产生的电场来加速电子的。如图8所示,在圆形磁铁的两极之间有一环形真空室,用交变电流励磁的电磁铁在两极间产生交变磁场,从而在环形室内产生很强的电场,使电子加速。被加速的电子同时在洛伦兹力的作用下沿圆形轨道运动。设法把高能电子引入靶室,就能进一步进行实验工作。已知在一个轨道半径为r=0.84m的电子感应加速器中,电子在被加速的4.2ms内获得的能量为120MeV。设在这期间电子轨道内的高频交变磁场是线性变化的,磁通量的最小值为零,最大值为1.8Wb,试求电子在加速器中共绕行了多少周?

解析:根据法拉第电磁感应定律,环形室内的感应电动势为,设电子在加速器中绕行了N周,则电场力做功NeE应该等于电子的动能EK,所以有N=EK/Ee,带入数据可得N=2.8×105周。

图9

例8:如图9所示,在半径为r且水平放置的光滑绝缘的环形管道内,有一个电荷量为e,质量为m的电子。此装置放在匀强磁场中,其磁感应强度随时间变化的关系式为B=B0+kt(k>0)。根据麦克斯韦电磁场理论,均匀变化的磁场将产生稳定的电场,该感应电场对电子将有沿圆环切线方向的作用力,使其得到加速。设t=0时刻电子的初速度大小为v0,方向顺时针,从此开始后运动一周的磁感应强度为B1,则此时电子的速度大小为

解析:感应电动势为E=kπr2,电场方向逆时针,电场力对电子做正功。在转动一圈过程中对电子用动能定理:,得答案B。

点评:本类问题的关键是要认识到变化的磁场周围产生电场,均匀变化的磁场在其周围产生恒定的电场,电子靠电场而加速。

带电粒子在电磁场中的加速问题,是一种学科内综合性的典型问题,以带电粒子为对象,演绎出了电磁场中的运动和力关系的新情景问题。整合电场和磁场的有关知识,对于训练和提高学生的物理思维能力和分析解决问题的能力意义重大。

【案例3】 含电容器电路问题分析[4]

电容器是高中物理电学中一个十分重要的元件,是连接电场、电路、磁场、电磁感应、交流电等电学各有关内容的一个桥梁。掌握其特性及其基本原理,对于整体建构电磁学知识体系,提升学生的学科素养和思维能力,具有十分重要的意义。

在《普通高中物理课程标准(实验)》第三部分“内容标准”的选修3-1中对电容器的学习要求描述是“观察常见电容器的构造,了解电容器的电容,举例说明电容器在技术中的应用”。这一主题强调了电容器在技术中的应用,教学中应当让学生看到各种类型的实际电容器,并通过解剖了解其构造;要求了解常见电容器的电容,要能知道电容器电容公式的物理意义,还应结合电容器一些特性,如充放电过程、改变电容器电容的方法等,通过实验探究,了解技术中应用的实例,把物理与技术、生产、生活联系起来,并为后续的学习奠定良好的基础。人教版高中物理教材选修3-1第一章《静电场》第八节安排专门的一节《电容器的电容》内容,涉及到电容器的概念、组成、结构、充放电过程,电容的定义式、单位,平行板电容器的电容公式,常见电容器等,对课程标准的要求有比较好的体现或回应。在“2014年普通高等学校招生全国统一考试大纲(理科课程标准实验版)”的物理“必考内容范围及要求”中规定“常见电容器,电容器的电压、电荷量和电容的关系,要求为I级”。对于课标规定的选修3-1模块,高考则定为必考内容。电容器是《静电场》一章中的一个重要内容,与其相关的问题不仅联系整个电磁学,还与力学相联系,具有特殊的意义。为此,对电容器的教学要遵循循序渐进的原则,切不可一步到位,随意拔高要求,要把握好阶段性的学习层次要求,在进行系统复习中作为一个专题进行综合、归类,从而提升学科能力和学科素养。

一、含有电容器的直流电路问题基本分析思路

含电容的直流电路问题,是直流电路中的一种典型问题,指向于学科能力,具有较强的综合性和代表性。在直流电路中,当部分电路变化时,电容器充电和放电,形成充电电流或放电电流,电容器的带电量,两极板间电压、电场强度、电场的能量,两级板间的电荷的运动状态发生变化,此类问题也是中学物理教学的重点和难点。根据电容器的特性,分析含有电容器的直流电路要明确以下思路及要点:

1.电路达到稳定状态时,电容器在电路中就相当于一个阻值无穷大的电阻,电容器所在支路可看作是断开的,简化电路时可将电容器去掉分析。若要求电容器所带电量时,可将电容器接在相应的位置,电容器两端电压等于与其并联的那部分电路两端的电压。

2.当电容器与某一电阻串联后接入电路时,该支路只在充电和放电时有电流,电路稳定后此支路中没有电流。所以,在电路稳定时,与电容器串联的电阻可看成导线,电路两端的电压就等于电容器两极板间电压。

3.对于较复杂电路,需要将电容器两端的电势与零电势点的电势比较,然后确定电容器两端的电压。

二、几种典型的含有电容器的直流电路问题分析

1.确定电容器所带电荷量的变化

在电路稳定状态下,电容器的电量由其两极板间的电压决定,电容器两端电压的变化导致电容量的变化。只要分析确定了电容器两极板间的电压,问题就迎刃而解了。

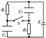
图1

例1:如图1所示的电路中,已知电容C1=C2,电阻R1>R2,电源电动势为E,内阻不计,当开关S接通时,以下说法中正确的是( )

A.C1的电量增多,C2的电量减少

B.C1的电量减少,C2的电量增多

C.C1、C2的电量都增多,Q1=Q2

D.C1、C2的电量都减少,Q1>Q2

解析:开关S断开时,电容器与电阻串联,电容器C1、C2两端的电压U1=U2=E;当开关S接通时,电容器C1与C2相当于断开,R1与R2串联,因为R1>R2,且C1=C2,则:U2′<U1′<E,C1、C2的电量都减少,则Q2<Q1<CE,故D选项正确。

图2

例2:如图2所示,电源电动势E=10V,C1=C2=30μF,R1=4.0Ω,R2=6.0Ω,电源内阻可忽略。先闭合电键K,待电路稳定后,再将K断开,则断开K后流过电阻R1的电量为__________。

解析:闭合电键时电容器相当于断开,电路可简化为电阻R1与R2的串联电路。所以,电流,电容器C2两端的电压U2=0,C1两端的电压等于R2两端的电压U2=IR2=6V,电容器C1、C2带电量分别为Q1=CU2=1.8×10-4C,Q2=0;

K断开时电阻R1、R2和电路中无电流,电容器C1、C2两端的电压U1′=U2′=3=10V,带电量Q1′=Q2′=CD=3×10-4C,电流通过R2给电容器C2充电,通过R2的电量Q2′=3×10-4C,通过R1电量等于电容器C1上电量的增量与C2上电量之和,则通过R1电量QR1′=4.2×10-4C。

点评:电容器的电容由其自身的结构决定,与电路的变化没有关系。在分析含电容电路时,根据Q=CU,C不变时,Q与U成正比,Q的变化由U的变化决定。这类习题综合考查了学生对直流电路的分析能力与对电容器的电压、电荷量和电容间关系的认识,体现了学科内的综合。

2.分析电容器两极板的电荷的运动

平行板电容器充电后,两极之间产生电场,电荷在两极之间的运动状态是由所在电场的作用和其初始运动状态决定的。此类问题属于电场与力学的综合问题,首先应从电荷的受力情况分析入手。

图3(1)

例3:如图3(1)所示,在两平行金属板中央有一个静止的电子(不计重力),当两板间加上如图3(2)所示的交变电压后,能使电子有可能作往返运动的是( )

图3(2)

解析:两平行金属板AB间加上A图所示的电压时,,平行金属板间的场强向右,电子受力向左,电子向左做加速度逐渐减小,速度逐渐增大的加速运动;,场强方向向左,电子受力向右,电子向左做加速度逐渐增大,速度逐渐减小的减速运动,时间为时电子的速度恰好为零。

,场强向左,电子受力向右,电子向右做加速度逐渐减小,速度逐渐增大的加速运动;,场强向右,电子受力方向向左,电子向左做加速度逐渐增大、速度逐渐减小的减速运动;时间T时电子的速度恰好为零,电子在两平行金属板做往返运动。A选项正确。同理,B、C选项正确。

两平行金属板AB间加上D图所示的电压时,,电子受力向左,电子向左运动,加速度先增大后减小,速度逐渐增大,时速度达到最大值;,电子受力向右,电子仍然向左运动,加速度先增大后减小,速度逐渐减小,时间T时电子的速度恰好为零。所以,电子向左做单向直线运动。

点评:电荷在电场中的运动问题,实质上是一个动力学问题,电荷所受的电场力与平行板上所加的电压成正比,结合电荷的初始运动状态就可以分析确定电荷的状态运动。

3.含电容器电路中电势的确定

电容器是一个储能元件,充电后储存一定的电能,两极板带电。充电后的电容器通过电键导线连接后,极板上的电荷发生转移,但电荷的总量保持不变,遵循电荷守恒定律。

图4

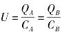
例4:如图4所示的电路中,电容器A的电容CA=30μF,电容器B的电容CB=10μF,在电键k1、k2都断开的情况下,分别给电容器A、B充电。充电后,M点的电势比N点高5V,O点的电势比P点低5V。然后把k1、k2都接通,接通后M点的电势比N点高( )

A.10VB.5VC.2.5VD.4.0V

解析:当k1、k2都断开时,给电容器A、B充得的电量分别为:QA=CAUMN=1.5×10-4C,上极板带正电;而QB=CBUOP=0.5×10-4C且上极板带负电。当k1、k2都接通后,设M点的电势比N点高U,则根据电荷守恒定律得:QA-QB=1.0×10-4C,又两电容器两端的电压相等,得:,解得:U=2.5V。

点评:这类问题的分析要抓住两个关键点:一是在电键断开的状态下,电容器充电储存一定的电荷,电键闭合后,虽然电荷在两个电容器要发生转移,但总量保持不变,遵循电荷守恒定律;二是在电键闭合后,电荷转移达到最后的稳定状态的标志是两个电容器两极板间电压相等。

图5

例5:如图5,两个电阻的阻值分别为R和2R,其余电阻不计,电容器电容量为C,匀强磁场的磁感应强度为B,方向垂直纸面向里,金属棒ab、cd的长度均为l。当棒ab以速度v向左切割磁感线运动,棒cd以速度2v向右切割磁感线运动时,电容器的电量为多大?哪一个极板带正电?

解析:导体棒ab以速度v向左切割磁感线运动时产生的电动势为E1=vlB,abfe组成闭合回路,,且f点的电势高于e点的电势;

导体棒cd以速度2v向右切割磁感线运动时产生的电动势为E2=Ucd=2vlB,且c点的电势高于d点的电势。

选b点电势为零(f点与b点电势相等),则e点的为电势为

c点的电势为φc=2vlB,电容器两端的电势差为,c点的电势较高,电容器右极板带正电,电量为

点评:这是一类电磁感应与电路综合的问题,分析这类问题的核心是要等效思维,将磁场中运动的棒ab、cd等效为电源,把电磁感应问题化为电路问题。在电路中,两点之间的电压实则就是这两点之间的电势之差,UABAB。只要抓住这个关键点,即可化难为易。

4.含电容器电路的综合问题

含有电容器电路的综合问题,往往是将静电场、电路、磁场、电磁感应以及力学知识相综合的问题,既要对磁场中运动导体切割磁感线发生的电磁感应现象进行等效电源处理,又要进行等效电路分析。由于导体运动状态的瞬时变化,会导致电容器的充电和放电,要抓住瞬时特征进行分析。

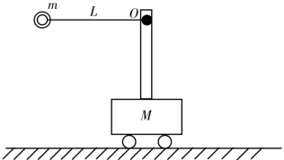
例6:图6为某一电路装置的俯视图,mn、xy为水平放置的很长的两根平行金属板,两板间距为L,板间有匀强磁场,磁感应强度为B,裸导线ab电阻为R0,电阻R1=R2=R,电容器电容C很大,导线ab匀速滑行。有一不计重力的带正电粒子以初速度v0水平射入两板间可做匀速直线运动。问:

图6

(1)导线ab向哪边运动,速度为多大?

(2)导线ab如果突然停止运动,则在突然停止运动时作用在导线ab上的安培力多大?

解析:(1)带正电粒子以初速度v0水平射入两板间所受洛仑兹力的方向垂直指向金属板mn,由于粒子做匀速直线运动,粒子所受电场力的方向一定垂直指向金属板xv,金属板mn的电势高于xy的电势,导线一定ab向右运动,且F=f,设导线ab向右运动的速度为vX

电场力,洛仑兹力f=qv0B

解得方向向右。

(2)棒突然停止时,电容器两端的电压为,上极板正电,

电容器的带电量为QC=CUC=CLBv0

导线ab突然停止的瞬间,电容器放电,等效电路的总电阻为

通过R2的电流为:

通过R0的电流为:

此时导线ab所受安培力大小为:

点评:带电粒子在两板间做匀速运动,所受外力必然处于平衡状态,电容器充电达到稳定状态,两极板间具有恒定的电压。当导线ab突然停止运动的瞬间,电容器放电,等效电路实际上是导线ab与电阻R1并联后再与R2串联,此时导线ab所受安培力大小决定于导线ab中通过的瞬时电流。因此具体问题具体分析,是解决综合问题的基本思想方法。

图7

例7:如图7所示,金属棒ab质量m=5g,放在相距L=1m的光滑金属导轨MN、PQ上,磁感应强度B=0.5T,方向竖直向上,电容器的电容C=2μF,电源电动势E=16V,导轨距地面高度h=0.8m。当单刀双掷开关先掷向1后,再掷向2,金属棒被抛到水平距离s=6.4cm的地面上,问电容器两端的电压还有多大?

解析:电容器充电后带电量为Q=CE,开关掷向位置2时,电容器通过ab放电,其放电电量为ΔQ,则通过棒中电流为

金属棒所受安培力

由动量定理得:Ft=mv 由平抛运动知:

由以上各式解得:

则电容器放电后两端电压为

从以上几种典型的含电容器的直流电路问题可以看出,分析含有电容器电路的关键是明确电路结构,确定电容器在电路中的连接方式,准确分析和判断电容器两端的电压及变化。对于较复杂电路,先设定零电势点,再分析电容器两端的电压并进行比较,最后通过确定两极板间的电势进行相关量的计算。在模块教学和系统复习中应注重分析、综合和比较,理解各知识点之间的联系,抓住关键,寻求解决问题突破点,养成良好的具体问题具体分析的习惯,培养学生分析问题和解决问题的能力。

【案例4】 轻绳拉力做功分析[5]

不可伸长、无质量的轻绳,是物理学常见的一个理想模型。认清轻绳的力学特征,对正确分析物理现象和过程,建立物理模型,形成解题策略具有十分重要的作用。轻绳具有柔软、无质量、不可形变的特征。从受力本身看,轻绳所产生的拉力总是沿绳的方向,对绳两头被约束的物体产生作用而改变其运动状态;从做功的角度看,由于所约束的情景不同,也可能做功,也可能不做功;从拉力的时间积累效应看,有拉力的“缓变”与“突变”两种形式,系统的机械能发生转变的方式不同,产生的物理效果不同。

1.拉力的突变,导致被约束物体的运动状态发生突变

例1:如图1所示,长为L的轻绳,一端固定于O点,另一端系质量为m的小球,将小球拉至轻绳水平位置后由静止释放,在悬点正下方L/2处,钉一个钉子P,则轻绳在竖直位置被钉子挡前与挡后所承受的拉力之比多大?

图1

解析:小球在轻绳的约束下,以O为圆心在竖直平面内做变速圆周运动,轻绳的拉力不做功,机械能守恒。当小球到O点正下方时,具有的水平速度为vo,满足=2gL。

轻绳在竖直位置被P挡住之前,绳中的拉力根据牛顿第二定律得T=mg+mv2/L=3mg;绳被P挡住后,拉力突变,小球将以P为圆心,L/2为半径在竖直平面内做圆周运动,此时绳的拉力为T′=mg+2mv2/L=5mg

∴T/T′=3/5

此类问题中轻绳的一端固定,在竖直平面内运动过程中机械能不损失,绳的拉力不做功,拉力与被约束的小球的运动状态相联系。当轻绳的拉力突变时,小球运动状态发生了突变,通过对被约束物体运动状态的突变入手分析,逆向思维,确定其拉力的突变就成为解决问题的基本思路。

2.拉力做功,致使轻绳两端被约束物的机械能转移,但系统总机械能守恒

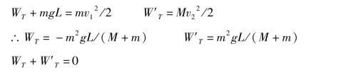
例2:如图2所示,一辆小车静止在光滑水平面上,质量为M,小车立柱上固定一条长为L、拴有小球的细绳,小球质量为m。小球从轻绳拉至水平处释放,在摆到最低点的过程中,绳的拉力对小球m做功多少?

图2

解析:小球由静止释放下摆的过程中,小球、小车与地球组成的系统,只有重力做功,内部无机械能与非机械能的转化,但轻绳拉力对小球做负功,对小车做正功。单独看小球其机械能必减少。

对系统整体,水平方向动量守恒,机械能守恒:

v1、v2为绳运动到竖直瞬间m与M的速度。

设轻绳的拉力对小球m做功WT,对小车M做功W′T,分别对m,M由动能定理得:

此类问题中轻绳两端的物体均发生运动状态的变化,被约束物之间有相对运动,轻绳的拉力发生缓变过程;拉力对两物体均做功,但总功为零。拉力的做功过程,导致两物体之间的机械能转移,而机械能总量保持不变。

3.拉力突变,致使系统机械能损失,转化为系统的内能

图3

例3:如图3所示,光滑水平面上有两个物体,用一根不可伸长的轻绳相连,开始时A,B靠在一起,已知mA=6kg,mB=3kg。现用F=3N的水平恒力拉A,轻绳瞬间绷紧拖动B一起运动。在A前进0.75m后,两物体共同速度达到v=2/3m/s,求轻绳的长度L。

解析:对于物体之间的相互作用的全过程可分为三个阶段来讨论:

第一阶段,A在外力作用下运动位移L的过程中,B未动,此时A速度达到v1

由动能定理 FL=mAv12/2 ①

第二阶段,A以速度v1与B在极短时间发生相互作用,获得共同速度v2,此过程中,因△t→0,F>>F,水平方向可认为动量守恒

第三阶段,AB共同在外力F作用下以初速度v2做匀加速运动达到速度v,位移为(0.75-L)m,由动能定理得

联立解得:L=0.25m

本题中,第二阶段轻绳的拉力发生突变,拉力做功,系统的机械能损失,内能增加,全过程中外力所做功为FS=3×0.75=2.25J,大于系统获得的动能△EK=(mA+mB)v2/2=0.5×9×4/9=2J,其差额为FS-(mA+mB)V2=0.25J,即系统内能的增加,也即轻绳突变时绳拉力的总功。从第二阶段的相互作用过程来看,A与B的瞬间作用可类比为完全非弹性碰撞模型,此过程中系统损失的机械能△E=0.25J,恰好转化为系统的内能。

由此看来,轻绳的拉力做功在不同的问题情景中扮演着不同的角色,其拉力的缓变与突变导致被约束物的运动状态发生相应的缓变与突变。针对轻绳拉力的问题,不能一味地认为拉力不做功,或做功为零。从功与能的角度既要联系相关的物体分析,还要联系具体的物体情景从整体上把握体系的功能关系,轻绳中的拉力可能不做功,也可能做功而总功为零,也可能导致机械能损失转化为系统的内能,应视具体问题具体地分析。