在给定条件下,对可能性结果的探索

一、在给定条件下,对可能性结果的探索

此类问题中给出一定的条件,由条件出发,要求符合题意的所有可能的结论,而题目的问题可能是找出结论的全部,也可能是要求几个特殊值。

求解此类问题的一般思路是:已知条件→推理分析→演绎结论。

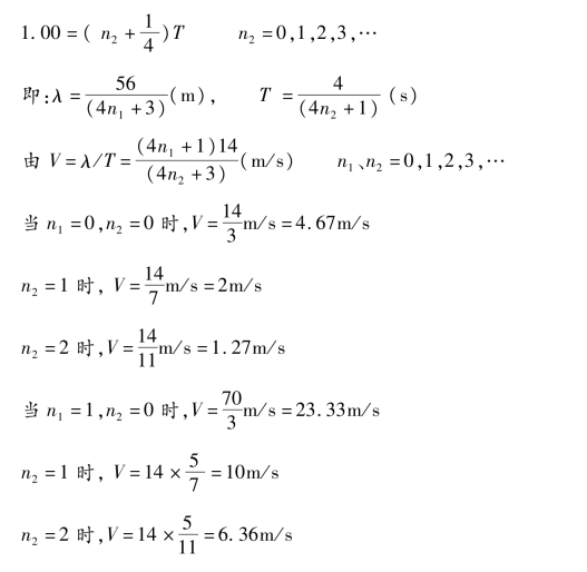
例1:一根张紧的水平弹性长绳上的a、b两点,相距14.0m,b点在a点的右侧,当一列简谐横波沿此绳向右传播时,若a的位移达到正极大时,b点位移恰为0,且向下运动。经过1.00s后,a点位移为0,且向下运动,而此时b点位移恰好达到负极大。则这列波的波速可能是:

A.4.67m/sB.6m/s C.10m/s D.14m/s

分析:此题中有两个已知条件:长度和时间,要确定可能的波速,直接判断是很困难的,此类问题应先根据波在空间传播的往复性与时间的周期性,列出可能的所有波速公式。然后通过演绎的方法推理求得答案。设波的波长、周期和波速分别为λ、T、V。

由a,b两点的状态可知:

故应选答案A、C。

例2:如图6.28,在x轴的上方(y≥0)存在着垂直于纸面向外的匀强磁场,磁感强度为B。在原点O有一个离子源向x轴上方的各个方向发射出质量为m、电量为q的正离子,速率都是v。对那些在xy平面内运动的离子,在磁场中可能达到的最大x=________,最大y=________。

分析:从离子源向任意方向射出的离子虽然初速度方向不同,但均以相同的速率垂直射入同一匀强磁场B中,其磁场中的运行轨迹半径均为r=mv/qB。当正离子的速度v与x轴正方向的夹角为α时,轨迹是以r为半径、OP为弦的劣弧。显然,离子在匀强磁场中所能达到的:有可能值

图6.28

当α=90°时,x达到最大值xm=2r=2mv/Bq

当α=180°时,y达到最大值ym=2r=2mv/qB

本题所求最值只是所有可能的x、y中的两个特殊值。在探索分析了所有可能的结论基础上找出最值是显而易见的。