总复习冲刺阶段的优化策略[2]

五、总复习冲刺阶段的优化策略 [2]

研究近年来高考理综考纲变化及其物理试题的特点,我们会发现,从考试模式到考纲修改,再到命题变化,是一个经过逐步探索得到人们普遍认可,进而到今天走向成熟稳定的过程。近几年在理综卷物理试题的命题理念上悄然进行了一系列变化,体现了以下四个转变:将以“淘汰”为基本特征向以“成功”为基本特征的现代评价理念转变;将以考题中设置陷阱,从反面考查学生理解知识的深度,向正面考查基础知识的理解为主的转变;将以刻意追求“新颖、奇妙”为特色的命题方式,向常规题、基础题和学生比较熟悉的物理情景转变;将以追求知识的“深挖洞”式的偏、难、怪题向“广积粮”式的基础题、熟悉题、常规题转变,以求扩大知识面的考查。这是目前对理综试卷物理试题命题方向与趋势的基本认识,也是对考纲的一个总的认识和理解,应该说这是我们进行物理总复习指导的一个总方向。

后期冲刺阶段还应把握以下几点:

(一)精选习题,适度练习,以中档题为主,突出基本方法训练

1.选题要“精”,讲评要“细”,做题注意“精”“细”结合

总复习的最后阶段,应适当放弃偏、难和情景过于复杂的题目。从近几年高考试题可见,没有偏、难、怪和情景特别复杂的题目出现,即使与实际相联系的题目叙述也相当清晰明了,很容易提炼出物理模型。因此,对不适应理综模式下高考要求的题目应大胆放弃,把主要精力放在夯实主干知识和理解能够真正体现物理思想的情景题目上。

选题要“精”,主要体现在新颖性、梯度性、适度性、针对性和创新性,在第二轮的复习中,首先对手中的资料要仔细的分析,在此基础上可针对性地选取一些好题,采用拼盘的方式组织起来让学生练,尽量不要用成套的原卷。

讲评要“细”,即重思路、善引导、做示范、细纠正。每次在讲评试卷时,必须先对各题的得分情况进行具体的分析与总结(具体到每个同学的每个题的得分情况,及失分的原因),然后才能做到有的放矢。同时,要重视个别指导,对问题较大或问题比较明显的知识点单独进行点评。

2.训练学生读懂物理题的能力、审题能力、收集信息的能力、罗列方程的能力、计算能力

引导学生学会耐心、细心、专心。总的原则:只要少丢分,就能多得分。尽量减少低级错误,减少遗憾。作为老师要清醒地认识到,我们眼中的许多好学生头脑灵活、反应机敏、记忆力强,能攻克许多难题,甚至竞赛题,但在大考中总是栽到低级错误上,这是一个致命的缺陷,并不是低级错误,这样的学生在高考中会大起大落,给人发挥失常的感觉,必须在平时的训练中强化矫正。

训练的重点仍是学科内的综合,特别是在备考复习的第二阶段,要能够将各板块联系起来形成知识网络体系,如把力学中的平衡、直线运动、牛顿运动定律、动量、能量联系起来,甚至是应用到电学中去和电场、磁场、电磁感应、原子核物理联系起来。多年的高考已经积淀了许多这方面的经典题,不能一味求新求活,许多经典试题具有较好的训练功能,复习过程中要用好这些试题。

用能量观点解题是高考的重头戏,要多花时间、下大力气,每套高考卷中不只是考一道题,而是多次出现。如含有弹簧的问题是学生获取高分的拦路虎,应搞专题训练。

注重理论联系实际,关注最新科技进展、社会热点,关注身边的物理问题。这些热点问题往往会成为考查以能力立意的新颖试题。

加强数形结合、图表结合内容的训练。在实际生活、生产和科学实验中,图形、图表的应用非常普遍,它提供的信息多而且直观。能看懂图表给出的物理过程、会利用图表描述物理过程是一种重要的能力。在这一方面,几乎每年高考都有所体现。

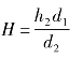
[例1] 质量为40kg的雪撬在倾角θ=37°的斜面上向下滑动,如图6.18甲所示,所受的空气阻力与速度成正比。今测得雪撬运动的v-t图象如图6.18乙所示,且AB是曲线的切线,B点坐标为(4,15),CD是曲线的渐近线。试求空气的阻力系数k和雪撬与斜坡间的动摩擦因数μ(g=10m/s2)。

图6.18

解析:由图象可得,A点加速度aA=2.5m/s2,最终雪橇匀速运动时最大速度vm=10m/s,

由牛顿运动定律得:mgsin37°-μmgcos37°-5k=maA

mgsin37°-μmgcos37°-10k=0

代入数据解得:μ=0.125 k=20N·s/m

3.解题中形成的一些结论,以及一些典型问题的解答在理解的基础上加以记忆,达到熟能生巧。例如(60条):

(1)三个大小相等的共点力平衡时力之间的夹角为120°。三力平衡时,任意两个力的合力与第三个力平衡,三力作用线顺次平移首尾相结必定构成一个封闭三角形。

(2)拉密原理:F1/sinθ1=F2/sinθ2=F3/sinθ3

(3)两个一起运动的物体刚好脱离时,弹力为0。此时速度、加速度相等,此后不等。

(4)物体沿斜面匀速下滑,μ=tanα;水平面上滑行,a=-μg;物体沿光滑斜面下滑,a=gsinα;物体沿粗糙斜面下滑时,a=gsinα-μgcosα;物体沿粗糙斜面上滑时,a=gsinα+μgcosα。

(5)若质点做无初速度的匀加速直线运动,则在时间第1T内、第2T内、第3内……质点的位移之比是1∶3∶5∶……;而在位移第1s内、第2s内、第3s内所用时间之比是

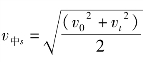
(6)做匀变速直线运动的物体,它在某段时间内中间时刻的瞬时速度等于该段的平均速度,且v中t=(v0+vt)/2 (式中v0、vt为该段时间的初速度、末速度)。

该段位移中点的速度是,且无论加速、减速总有v中s>v中t

(7)在加速度为a的匀变速运动中,任意两相邻的相等时间间隔T内位移之差都相等,且△S=aT2

(8)匀加速运动的物体追匀速运动的物体,当两者速度相等时,距离最远;匀减速运动的物体追匀速运动的物体,当两者速度相等时,距离最近,若这时仍未追上,则不会追上。

(9)平抛运动中,速度反向延长线通过水平位移的中点。

(10)绳端物体速度的分解:对地速度是合速度,分解为沿绳的分速度和垂直绳的分速度。能量守恒法最简单(细绳两端点处绳的拉力功相等)。

(11)船渡河时,船头总是直指对岸所用的时间最短;当船在静水中的速v>v时,船头斜指向上游,且与岸成θ角时,cosθ=v/v时位移最短;当船在静水中的速度v<v时,船头斜指向下游,且与岸成角θ,cosθ=v/v。如图6.19中的(a)、(b)所示。

图6.19

(12)质点做简谐运动时,靠近平衡位置时加速度减小而速度增加;离开平衡位置时,加速度增加而速度减小;速度为零时加速度最大,加速度为零时速度最大。

(13)由质量为m质点和劲度系数为k的弹簧组成的弹簧振子的振动周期,与弹簧振子平放、竖放没有关系。

(14)由质量为m的质点和摆长为l组成的单摆的周期与摆角θ和质量m无关。若单摆在加速度为a的系统中,式中g应改为g和a的矢量和。若摆球带电荷q,置于匀强电场中,则中的g由重力和电场力的矢量和与摆球的质量m比值代替;若单摆处于由位于单摆悬点处的点电荷产生的电场中,或磁场中,周期不变。

(15)摆钟在t时间内变快△t,则它的周期T与标准周期T0之间存在关系△T=(t/T0-t/T)T0,即T0∶T=(t-△t)∶t;摆钟在t时间内变慢△t,则它的周期T与标准周期T0之间存在关系:△T=(t/T0-t/T)T0,也即T0∶T=(t-△t)∶t。

(16)一起加速运动的物体,相互间的作用力,与有无摩擦(μ相同)无关,平面、斜面、竖直都一样。

(17)若由质量为m1、m2、m3……加速度分别是a1、a2、a3……的物体组成的系统,则合外力F=m1a1+m2a2+m3a3+……

(18)非匀速圆周运动中,向心力为沿半径方向的合力。

(19)在竖直面内的圆周运动中,绳类和杆类最高点的最小速度不同,分别为和v=0。

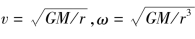
(20)若行星表面的重力加速度为g,行星的半径为R,则环绕其表面的卫星最低速度v为;若行星的平均密度为ρ,则卫星周期的最小值T同ρ、G之间存在ρT2=3π/G的关系式。

(21)太空中两个靠近的天体叫“双星”。它们由于万有引力而绕连线上一点做圆周运动,其轨道半径与质量成反比,环绕速度与质量成反比。

(22)黄金代换:GM=gR2

(23)人造卫星v、ω、T、a和r的关系:

(24)人造卫星的动能EK、势能EP、总机械能E之间存在E=-EK,EP=-2EK的关系;当它由近地轨道到远地轨道时,总能量增加,但动能减小。

(25)人造地球卫星的第一宇宙速度,或者EK=P2/2m。

(27)摩擦生热Q=fs相对,Q常常不等于功的大小。

(28)动量守恒中的“人船模型”:0=mv1+Mv2,0=ms1+Ms2

(29)一维弹性碰撞:质量相等,速度交换。动物碰静物:大碰小,一起向前;小碰大,向后转。完全非弹性碰撞中机械能损失最大,弹性碰撞机械能不损失。

(30)简谐运动中的对称性、周期性、往复性、重复性。

(31)波形图上,介质质点的振动方向“上坡下,下坡上”。旋转三角形法。

(32)理想气体:内能看温度,做功看体积,吸放热则综合前两项。

(33)求感应电荷产生的场强可由原电场求得:E′=-E

(26)质量为m的物体,其动量P和动能EK之间存在关系

(34)等量同种(或等量异种)点电荷连线和中垂线上电场强度和电势的变化具有典型特点。

(35)匀强电场中,任意两点连线中点的电势等于这两点的电势的平均值。在任意方向上电势差与距离成正比。

(36)电容器接在电源上,电压不变;断开电源时,电量不变,此时改变两板间距离场强不变。

(37)含容电路中电容器的作用:只能储存电荷,所在支路无电流。

(38)在闭合电路里,某一支路的电阻增大(或减小),一定会导致总电阻的增大(或减小),总电流的减小(或增大),路端电压的增大(或减小)。反之亦然。

(39)闭合电路里,当负载电阻等于电源内阻时,电源输出功率最多,且Pmax=E2/4r。

(40)电流表、电压表可用连接电阻方法来扩大量程。电流表Ig扩大n倍的方法是串联阻值为R=(n-1)rg的电阻;电压表Ug扩大n倍的方法是并联阻值为的电阻。

(41)等效电阻估测原则:串联近大,并联近小。

(42)伏安法测量电阻中的误差:“内大外小”。

(43)速度选择器原理:v=E/B。

(44)冲击电流的电量:BIL△t=BL△q=△p,可算电量。

(45)带电粒子在磁场中做圆周运动的周期同粒子的速率、半径无关,仅与粒子的质量、电荷和磁感应强度有关,即T=2πm/Bq,而R=mv/Bq。

(46)电磁感应电量:Q=△Φ/R单匝

(47)正弦交流电的产生:Em=nBSω,Φ与e此消彼长。

(48)转杆(轮)发电机的电动势:

(49)输电电路的基本模式:画图进行电路的等效性分析。

(50)光进入介质,频率(颜色)不变,γ=c/λ,λ=λ0/n。

(51)紧靠点光源向对面墙平抛的物体,在对面墙上的影子的运动是匀速运动。

(52)光到球面、柱面,半径是法线。

(53)增透膜增透绿光,厚度为绿光在膜中波长的1/4。

(54)由水面上看水下光源时,视深变浅,为;若由水面下看水上物体时,视高d′=nd。

(55)双缝干涉的条纹间隔与光波波长λ成正比,与双缝间隔d成反比,与双缝屏到像屏的距离L成正比,即△x=Lλ/d。

(56)尖劈干涉:用标准样板检查工件表面情况,条纹向窄处弯是凹,条纹向宽处弯是凸。

(57)静止的原子核在匀强磁场里发生α衰变时,会形成外切圆径迹,发生β衰变时会形成内切圆径迹,且大圆径迹分别是由α、β粒子形成的。半径与电量成反比。

(58)氢原子的激发态和基态的能量与核外电子轨道半径间的关系是:En=E1/n2,rn=n2r1,其中E1=-13.6eV,r1=5.3×10-10m,由n激发态跃迁到基态的所有方式共有n(n-1)/2种。

(59)氢原子在n能级的动能、势能、总能量的关系是:EP=-2EK,E=EK+EP=-EK。由高能级到低能级时,动能增加,势能减少,且势能的减少量是动能增加量的2倍,故总能量减少。

(60)1u=931.5MeV,1ev=1.6×10-19J。

4.归纳并熟悉基本物理思想与方法

高考除了注重考查基础知识和基本能力外,还注重考查常见的解题方法。掌握常用的解题方法和技巧,对考出理想成绩是十分重要的。

(1)整体法和隔离法

整体法是将几个研究对象或几个研究过程作为一个整体处理的解题方法。隔离法是将系统内某个物体隔离出来单独研究的方法。整体法和隔离法是历年高考必考的思维方法之一。

①对多个对象进行整体思维

图6.20

A.平衡问题中的整体法

B.动力学问题中的整体法

C.动量问题中的整体法

②对多个过程进行整体思维

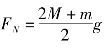
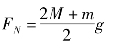
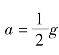
【例】 如图6.20所示,质量为M的木箱放在水平面上,木箱中的立杆上套着一个质量为m的小球,开始时小球在杆的顶端,由静止释放后,小球沿杆下滑的加速度为重力加速度的,即,则小球在下滑的过程中,木箱对地面的压力为多少?

命题意图:考查对牛顿第二定律的理解运用能力及灵活选取研究对象的能力。B级要求。

错解分析:A.部分考生习惯于具有相同加速度连接体问题演练,对于“一动一静”连接体问题难以对其隔离,列出正确方程。B.思维缺乏创新,对整体法列出的方程感到疑惑。

解题方法与技巧:

解法一:(隔离法)

木箱与小球没有共同加速度,所以须用隔离法。

取小球m为研究对象,受重力mg、摩擦力Ff,如图6.21,据牛顿第二定律得:

mg-Ff=ma ①

取木箱M为研究对象,受重力Mg、地面支持力FN及小球给予的摩擦力′如图6.22。

图6.21

据物体平衡条件得:

由①②③式得

由牛顿第三定律知,木箱对地面的压力大小为

图6.22

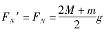
解法二:(整体法)

对于“一动一静”连接体,也可选取整体为研究对象,依牛顿第二定律列式:

(mg+Mg)-FN=ma+M×0

故木箱所受支持力:,由牛顿第三定律知:

木箱对地面压力

(2)图象法

图象分析法可以直观地反映某一物理量随另一物理量变化的函数关系,形象地描述物理规律。在进行抽象思维的同时,利用图象的视觉感知,有助于对物理知识的理解和记忆,准确把握物理量之间的定性和定量关系,深刻理解问题的物理意义。

①利用图象解决一些疑难问题

【例】 蚂蚁爬出洞穴后沿一条直线运动。已知蚂蚁的爬行速度与离洞穴的距离成反比,蚂蚁在离洞穴的距离为d1的A点时,速度为v1,则蚂蚁爬到离洞穴的距离为d2的B点时,速度为多大?由A到B的时间为多少?

图6.23

解析:由题意知,v∝1/x,即x∝1/v,如图6.23所示。

取一窄条,其宽度Δx很小(Δx→0),此段位移所需时间Δt也很小(Δt→0),可以认为在如此短的时间内,蚂蚁的速度改变很小(Δv→0),则图中窄条的面积为

Δx/Δv=Δt,这正是蚂蚁通过位移Δx所需的时间。故图线与横轴所围面积的大小表示蚂蚁通过一定的位移所需的时间。由图可知,蚂蚁由A爬至B所需的时间即为图中从x1到x2的梯形面积数值。

②波动图象和振动图象的应用。

(3)物理模型法

一个具体的物理问题,都对应着一定的物理模型。解题时,首先要将题目所描述的物理现象和过程,还原成物理模型,用物理模型揭示现象掩盖下的物理本质。

【例】 原地起跳时,先屈腿下蹲,然后突然蹬地。从开始蹬地到离地是加速过程(视为匀加速),其中重心上升的距离称为“加速距离”。离地后重心继续上升,在此过程中重心上升的最大距离称为“竖直高度”。现有下列数据:人原地上跳的“加速距离”d1=0.50m,“竖直高度”h1=1.0m;跳蚤原地上跳的“加速距离”d1=0.00080m,“竖直高度”h2=0.10m。假设人具有与跳蚤相等的起跳加速度,而“加速距离”仍为0.50m,则人上跳的“竖直高度”是多少?

解析:用a表示跳蚤起跳的加速度,v2表示离地时的速度,则对加速过程和离地后上升过程分别有v2=2ad2 v2=2gh2

若假设人具有和跳蚤相同的加速度a,令v2表示在这种假想下人离地时的速度,H表示与此相应的竖直高度,则对加速过程和离地后上升过程分别有:

v2=2ad1 v2=2gH

由以上各式可得

代入数值,得H=63m

(4)等效法

等效法是从效果等同出发来研究物理现象和物理过程的方法。利用它可以使解题过程简化。例如我们学过的等效电路、等效电阻、分力与合力等效等等。常见的等效法有分解、合成、等效类比、等效替换、等效简化等。

A.等效物理过程

B.等效物理条件

C.等效物理模型

(5)对称法

对称性就是事物在变化时存在的某种不变性。物理中对称现象比比皆是:对称的结构、对称的作用、对称的电路、对称的物和像等等。一般情况下对称表现为研究对象在结构上的对称性、物理过程在时间上和空间上的对称性、物理量在分布上的对称性及作用效果的对称性等。

(二)总结归纳基本题型,熟悉基本问题模型,以学科内综合为主

1.综合练习中,主要以下面几种方式的综合较多(在高考中突出学科内的综合已成为高考物理试题的一个显著特点):

(1)牛顿三定律与匀变速直线运动的综合,主要体现在力学、带电粒子在匀强电场中运动、通电导体在磁场中运动、电磁感应过程中导体的运动等。

(2)动量和能量的综合这是解决物理问题的一个基本的观念,一定要加强这方面的训练,也是每年必考内容之一。

(3)以带电粒子在电场、磁场中为模型的电学与力学的综合,主要有三种具体的综合形式:

一是利用牛顿定律与匀变速直线运动的规律解决带电粒子在匀强电场中的运动;

二是利用牛顿定律与圆周运动向心力公式解决带电粒子在磁场中的运动;

三是用能量观点解决带电粒子在电场中的运动。

(4)电磁感应现象与闭合电路欧姆定律的综合,用力学和能量观点解决导体在匀强磁场中的运动问题。

(5)串、并联电路规律与实验的综合,主要表现为三个方面:

一是通过粗略的计算选择实验器材和电表的量程;

二是确定滑动变阻器的连接方法;

三是确定电流表的内外接法。

2.归纳熟悉典型问题模型25例(特点是什么?如何处理?有哪些类型?有哪些变式?)

通过解题训练熟悉题型,这是物理复习的重要环节。研究表明:“不存在一种理想的教学方法,使学生可以不做练习就能学好物理。”概括题型是为了熟悉题型,通过解题后的反思,概括出某个物理规律应用的题目类型。比如“动量守恒定律”这个知识点,学生经过一定量的题目的练习后,大体上可以归纳出三类题型:一是物体间弹性碰撞的情形;二是物体间相互作用,系统的内力远远大于外力的情形;三是两个物体发生碰撞后合为一体的完全非弹性碰撞的情形。掌握熟悉的问题模型,才能培养迁移能力。

基本的典型问题模型如:

模型1:矢量运算模型——牵连绳端速度分解、渡河。

模型2:三力平衡动态三角形模型——三力挂件、死结与活结、动态变化、极值问题,可使用正交分解法、三角形法、图解法等。

模型3:物体追击相遇模型——运动定律、碰撞规律、临界问题、数学方法(函数极值、图象法等)和物理方法。

模型4:平抛运动模型——全重力场中的平抛、斜面上部分重力下的平抛、带电粒子在匀强电场中的类平抛。

模型5:皮带传动模型——摩擦力、牛顿第二定律、动能定理、功能及摩擦生热问题。

模型6:水平方向的圆盘转动模型。

模型7:汽车启动模型——恒定功率的启动、恒定牵引力的启动。

模型8:物体坠落模型——重力场中的坠落、带电体在电场中的坠落、导体在磁场中的坠落、物体在复合场中的坠落(最终运动趋于稳定状态)。

模型9:斜面模型——单体的动力学、多体问题、斜面上的平抛、斜面上的最值、斜面上的综合,以及三大定律、数理问题。

模型10:天体圆周运动模型——行星或卫星的线速度与轨道半径的关系、动能与轨道半径的关系、周期与轨道半径的关系、能量与轨道半径的关系。双星天体问题。

模型11:物体爆炸模型。

模型12:子弹打木块模型——完全非弹性碰撞模型。

模型13:对称问题模型——静摩擦现象的对称性、质点运动的对称性、简谐运动的对称性、能量转化过程的对称性、静电场中的对称性、复合场中运动的对称性。

模型14:弹簧模型——弹簧静力学、弹簧动力学、二体中的弹簧等。

模型15:单摆模型——等效摆长、等效重力加速度。

模型16:人船模型——动量守恒、能量守恒、数理问题。

模型17:等效场模型——重力场与匀强电场的等效。

模型18:电磁场中的单杆模型——单杆在磁场中的匀速运动、单杆在磁场中的匀变速运动、单杆在磁场中变速运动、变杆问题。

模型19:电磁场中的双电源模型——顺接与反接、力学中的三大定律、闭合电路欧姆定律、电磁感应定律。

模型20:流质问题中的相关模型——将流质看作柱体、微元法处理流质问题、用动量定理处理流质问题。

模型21:磁流体发电模型——速度选择器、霍尔电压效应、电磁流量计、磁强计等。

模型22:粒子加速器模型——多种加速器。

模型23:变压器模型——能量守恒、动态变化、等效电路。

模型24:玻尔氢原子模型——能级图、跃迁规律、光电效应。

模型25:核变模型——衰变、人工核转变、裂变、聚变。