二、隐含式设错
2025年10月13日
二、隐含式设错
图6.26
就是把重要的条件或状态用隐式词语含蓄地给出,需要解题者抓住关键词语认真推敲,化隐为显,化暗为明的一种命题方式。这一方式有利于培养学生严格的审题习惯和思维的深刻性。
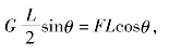
例2: 如图6.26,一均匀木棒OA可绕过O点的水平轴自由转动,现有一方向不变的水平力F作用于棒的A点,使棒从竖直位置缓慢转到偏角θ<90°的某一位置,设M为F对转轴的力矩,则在此过程中:
A.M不断变大,F不断变小B.M不断变大,F不断变大
C.M不断变小,F不断变小D.M不断变小,F不断变大
此题并未明确告诉木棒的运动状态,学生只有抓住关键词语“缓慢转动”来认识、挖掘出本题中隐含的木棒转动状态——平衡态,来选择判据加以判定。既然木棒缓慢转动的实质是木棒绕O轴匀速转动,那么必有MF=0。
即
显然,θ增大→sinθ增大→MF增大
但θ增大→cosθ减小,故而必有F增大,应选B。
常见的习题中隐含某参量、状态、关键点、临界态、过程等,解题分析时认准它们并分析它们的深刻含义,就成为解此类题的一个关键点和突破点。基础知识掌握不灵活,思维方式呆板的学生就易在此类题中出错。