16.2.1 概述
2026年01月14日
16.2.1 概述
1个自由度双转子齿轮系统如图16-22所示。齿轮的转动惯量和连接刚度有以下三种情况,分别求解这三种情况的扭转振动固有频率。

图16-22 1个自由度双转子齿轮系统
(1)转动惯量J1=12kg·m2,J2=12kg·m2,连接刚度k1=k2=47200N/m,传动比n=1;
(2)转动惯量J1=12kg·m2,J2=3kg·m2,连接刚度k1=k2=47200N/m,传动比n=2。
(3)转动惯量J1=12kg·m2,J2=3kg·m2,连接刚度k1=755200N/m,k2=47200N/m,传动比n=2。
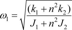
此扭振系统的共有频率理论解为:

在SAMCEF Rotor软件中采用两个集中质量和转动惯量单元模拟转动惯量,采用等效梁单元模拟扭转刚度
圆形截面的扭振刚度为:(https://www.daowen.com)

连接扭转刚度为47200N/m,长度取为1m,假设轴的直径为20mm,弹性模量计取为2.0E5MPa,泊松比为0.3,计算得到轴的直径为25mm。同样,连接扭转刚度为755200N/m,等效轴的直径为50mm。
第一种情况下的第1阶固有频率:

第二种情况下的第1阶固有频率:

第三种情况下的第1阶固有频率:
