Ⅱ
令h1,h2,…,hn是相互竞争且两两不相容的假说序列。令e是相关证据(成功的预测),且可从这n个假说中的任何一个推导而出,这样的话我们就有p(hi,e)=p(hi)以及0≠p(e)≠1。我们可以立刻根据概率计算的一般乘法定理(参见《逻辑》第324页(1))得到以下如同上文第Ⅰ子节中的式子

这就是说,有利证据e增加了概率。
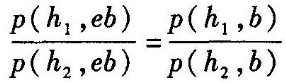
但我们也可以得到下述平凡而基本的定理(2)

定理(2)是令人震惊的。它表明虽然根据(1)有利证据e能够增加概率,但与我们最初的印象相反,这个有利证据e仍然没有改变任何原先的事实。它支持hi的程度不可能比支持hj的程度更高。相反,在给出证据的情况下假说原先具有的次序仍然不变。任何有利证据都无法动摇这个次序。证据不能影响它。
为何说这是令人震惊的呢?因为h1有可能是e的一个典型的“归纳推广”,而h2作出的断言除了e所包含的内容之外,却有可能完全不被e支持,这样一来h2就不可能是e的某个推广;反之亦然。
兹举例论述如下。
e包含了几百万例关于天鹅的观察,其中它们都是白色的,而且从未观察过非白色的天鹅。
h1是“所有天鹅都是白色的”。
h2是“希腊、意大利和法国的天鹅都是白色的;英国和斯堪的纳维亚地区的天鹅都是红色的;中亚的天鹅都是绿色的;非洲的天鹅都是蓝色的;澳大利亚的天鹅都是黑色的”。
b是背景知识,内容是在希腊、意大利和法国之外都没有观察过任何天鹅。
如果将h1应用于整个宇宙之中(请记住我们曾猜想过在整个宇宙中电荷是一个常数),那么它在初始阶段将和h2同等概然甚至更不概然。(或者我们可以削弱h2使它更概然。)因此我们可以假定p(h1)≤p(h2);而根据我们所规定的b,我们也可以假定p(h1,b)≤p(h2,b)。无论如何,根据一般乘法定理,因为从h1,b和h2,b我们都可以推出e,所以我们有

并因此有
p(h1,eb)<p(h2,eb)当且仅当p(h1,b)<p(h2,b).
因此证据e对直接推广h1的支持程度,并不比对异想天开而武断的假说h2(在证据e看来是异想天开而武断的)的支持程度更高。
这表明,如果有人认为第Ⅰ子节中的论证(B)和本子节中的关系(1)是支持归纳或归纳推广的,那么他们的诠释就是错误的。这还表明,我们根本不可能将概率计算当作某种归纳理论。
当然,证据e可以改变它不支持的假说概率。更特别地,如果它和假说不相容,那么它可以推翻这个假说。但这并不是我们目前关注的内容。(虽然证据可以将它反驳的假说概率减至零,但我们显然不需要概率计算来描述这个情形。)