沿海地区海洋经济效率的影响因素分析
(一)变量选择
在对海洋经济效率影响因素的相关文献进行研究后发现,狄乾斌等从海洋经济发展水平、陆域经济发展水平、政府对海洋支持力度、海洋产业结构、经济对外开放水平、海洋科研人力资本方面等方面入手,使用回归分析法对海洋经济综合效率的影响因素进行了研究;赵林等分别从海域、陆域、科技、政府、环保、对外开放方面选取指标,使用回归分析法分析了海洋经济效率的影响机制;丁黎黎等使用面板回归模型,利用海洋经济视角、陆域经济视角、政府监管视角选取指标,分析了海洋经济效率的影响因素;邹玮等从海洋经济相关领域出发,选取产业结构、经济发展水平、区位优势等指标,分析了环渤海地区海洋经济效率时空演化的影响因素。在对以往相关研究进行分析总结的基础上,结合本文的研究目的与实际需要,选取海洋经济效率作为因变量,海洋经济的区位优势、产业结构水平、科研水平、环保水平、政策支持力度、陆域经济发展水平几个方面选取合适的指标作为影响海洋经济综合效率的自变量。具体指标阐释如下:
(1)海洋经济区位优势。使用海洋经济区位熵(X1)来表示,区位熵又被称作专门化率,简单来讲就是比率的比率,是衡量某一区域要素的空间分布情况时一个很具有辨识度的指标,它可以反映某一产业部门的专业化程度。海洋经济区位熵指的是该省份海洋生产总值在沿海11个省市区海洋生产总值中所占的比重与该省份国民生产总值在沿海11个省市区全部经济生产总值中所占比重的比例,在一定程度上反映了海洋经济在整个国民经济发展中的地位。
(2)海洋产业结构水平。用海洋产业结构(X2)来表示,产业结构的合理优化能够促使资源要素的重组和产业的集聚,通过合理优化资源配置,形成“结构效应”和“正外部效应”,从而提升地区的经济效率水平。海洋经济第一产业作为传统的资源型产业主要包括海洋捕捞业、海洋水养殖业和海水增值产业,发展潜力可挖掘空间小,对海洋经济效率提升作用有限。海洋第二产业主要包括海洋船舶、海洋油气、海洋盐业等,第二产业的经济效益较为可观,但是会对生态环境造成一定的破坏,对提高海洋经济效率有较大的环境制约作用。海洋第三产业主要指为海洋开发和利用服务的产业,如滨海旅游业和海洋公共服务业等,海洋第三产业收益高、污染少,当下其比重是判断海洋经济发展水平的标志。因此,采用第三产业占海洋GDP比重来表示产业结构水平。
(3)海洋科研水平。用海洋科研人力资本(X3)来表示,海洋科技发展水平的高低对于提高资源的利用率、减少污染排放、增加经济产出具有正向作用,从而在典型的海洋经济投入产出系统和资源环境经济系统基础上,可以通过提高海洋科技发展水平来提高海洋经济效率。高水平科研队伍是高质量科研成果产出最基本的条件,海洋科研水平可以用海洋科研人数与涉海从业总人数的比值来衡量。
(4)海洋环保水平。用海洋环保技术水平(X4)来表示,在发展海洋经济时可能会产生一些环境污染物,这些污染物会对海洋生态系统造成危害,最终影响海洋经济的可持续发展,并且制约经济效率的提高。单位海洋GDP能耗,不仅可以反映海洋资源的利用效率,而且可以用来反映节能降耗的水平,因此可以用来表示海洋环保水平。
(5)海洋经济政策。选取海洋经济政策影响(X5)来表示,为了转变海洋经济发展方式,调整产业结构,在海洋经济发展过程中,政府往往会制定与海洋经济发展相关的规划和政策。常见的有海洋经济发展规划、海洋行业标准及环境政策等,通过从宏观上对海洋经济发展做出调控,来弥补市场机制调节中的不足。政府财政收支中的支出在一定程度上可以反映政府的活动方向和范围,以及财政资金的分配关系。因而海洋经济政策影响指标用该省市对海洋经济的投资总额表示。
(6)陆域经济发展水平。用陆域人均GDP(Z1)来表示,某种程度上可以认为海洋经济是陆域经济的延伸,陆域经济和海洋经济是相辅相成的关系,陆域经济的发展可以为海洋经济的开发提供资金和技术支持,海洋经济可以为陆域经济的发展提供资源和空间,因而陆域经济的发展水平对海洋经济效率的提升具有重要影响。
(7)对外开放水平。用进出口贸易总额与陆域GDP比值(Z2)来表示,对外开放水平代表了利用外资和吸收外来技术的能力,提高对外开放水平是参与国际竞争和合作的重要方式。
(8)政府对海洋科技支持力度。用政府对海洋科技投资(Z3)来表示,政府对海洋科技的支持力度代表了政府在相关领域与发展方向的引领作用,政府行为会吸引相关资源的集聚,政府有目的的引导是提升海洋经济效率不忽视的一个重要因素。
(二)面板门槛模型构建
门槛效应(Threshold Effect)是指当某一个经济参数达到特定的临界值后,引起另一个经济参数发生方向上或者数量上变化的结构突变现象,该经济参数的临界值即为门槛。门槛回归的核心思想就是确定导致经济系统结构发生突变的临界值,即结构变化内生于经济系统内部,一定程度上避免了主观判断临界值导致的统计误差和估计偏误。面板门槛回归模型为非单一线性计量模型,以某一变量为门槛变量,有效捕捉被解释变量随门槛变量变化可能发生变化的临界点,即门槛值,以更准确展示回归系数的变化。
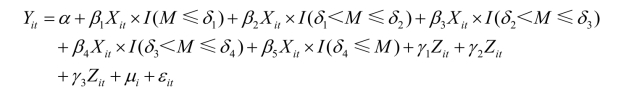
在中国沿海地区海洋经济效率影响因素研究上,以往的学者们付出了大量的心血,针对不同时间段的同一影响因素产生的效果,不同的研究者得出了不同的结论,如邹玮等研究者得出沿海地区的经济发展水平并不能显著影响海洋经济效率的结论,而赵林等研究者则认为沿海地区经济发展水平对海洋经济效率具有显著的正向影响。因此,在海洋经济效率的影响因素与海洋经济效率之间极有可能会存在使影响程度发生变化的门槛值。本文以海洋经济效率(Y)为因变量;以海洋经济发展区位熵(X1)、海洋产业结构(X2)、海洋科研人力资本(X3)、海洋环保技术水平(X4)、海洋经济政策影响(X5)为解释变量;陆域经济发展水平(Z1),海洋产业结构(X2)、海洋科研人力资本(X3)、海洋环保技术水平(X4)、海洋经济政策影响(X5)为与核心解释变量对应门槛变量;陆域经济发展水平(Z1)、对外开放水平(Z2)、政府对海洋科技支持力度(Z3)为控制变量(为防止数据不平稳,对其取对数),构建面板门槛模型。借鉴Feenstra等面板门槛模型,构建海洋经济效率影响因素面板门槛模型,具体模型如下:

式中:i和t分别表示省份和时间;Yit为被解释变量,Xit为核心解释变量,Zit为控制变量;α为截距项,βi为核心解释变量估计系数,γi为控制变量估计系数;M为门槛变量,δ为待估的门槛值,I(·)为示性函数;μi表示不随时间变化的各省截面的个体差异,即模型为个体固定效应模型;εit为随机干扰项且服从独立分布。
(三)门槛回归估计
在使用面板门槛模型分析海洋经济效率的影响因素,可以分析解释变量对被解释变量的边际影响是否存在拐点,并且可以判断拐点前后会发生怎样的变化。在进行面板门槛回归估计之前,第一步要对模型的非线性门槛效应进行检验,即确定是否存在门槛效应以及确定门槛个数。本文在方法上借鉴了以往吴伟平和刘乃全研究中的做法,使用Stata13.0软件分别对模型的单一门槛、双重门槛和三重门槛效应进行了检验。并利用自主抽样法(Bootstrap),通过500次重复抽样估算大样本渐近P值、F统计值,和统计量在1%、5%和10%显著性水平上分别对应的临界值。具体检验结果见表5-3。
表5-3 沿海地区海洋经济效率影响因素门槛估计结果[48]

通过表5-3可知,当将陆域经济发展水平设置为门槛变量,海洋经济区位熵为核心解释变量时,海洋经济区位熵值在海洋经济效率10%的显著性水平上存在显著单一门槛效应;当将海洋科研人力资本设置为门槛变量和核心解释变量时,在10%的水平上存在显著单一门槛效应;将单位海洋GDP能耗设置为门槛变量和核心解释变量时,在10%的显著性水平上存在显著单一门槛效应;将海洋产业结构设置为门槛变量和核心解释变量和将海洋经济政策设置为门槛变量和核心解释变量时,则对海洋经济效率不存在门槛效应。所有变量对海洋经济效率的影响均不存在双重和三重门槛效应。
在门槛参数回归结果中,以陆域经济发展水平为门槛变量,海洋经济区位熵为核心解释变量时,以0.9为临界值存在单一门槛效应;以海洋产业结构为门槛变量和核心解释变量时,不存在门槛效应;以海洋科研人力资本为门槛变量和核心解释变量时,在10%的显著性水平上存在单一门槛;以单位海洋GDP能耗为门槛变量和核心解释变量时,则存在以0.46为临界值的单一门槛;以海洋经济政策为门槛变量和核心解释变量,不存在门槛效应。
当陆域经济发展水平小于0.9万元/人时,海洋经济区位熵与海洋经济效率是负相关关系。海洋经济起步稍晚,起初只是作为陆域经济发展的空间延伸以及资源补充,海洋经济一定程度上依赖于陆域经济,因此陆域经济发展水平较低时,对海洋经济更多的是索取;当陆域经济发展水平大于0.9万元/人时,陆域经济的发展更加成熟,有更多资源扶持海洋经济发展,陆域经济开始反哺海洋经济,海洋经济区位熵对海洋经济效率提高起到正向促进作用。
海洋科研人力资本存在单一门槛,以每1000个海洋从业人员中有1.42个海洋科研人员为临界点。当科研人员比例小于临界值时,海洋科研人力资本与海洋经济效率之间是正向关系,此时海洋科研人力资本吸收外来科技并进行科技创新,对于还处于粗放发展阶段的海洋经济起到促进作用;而当大于临界值时,海洋科研人力资本对于海洋经济效率的提高作用并不显著。其主要原因是中国海洋经济还处于产业结构转型过程中,多数地区以劳动密集型海洋产业为主,高新技术产业需求有限。此外,国内海洋科技成果内生技术创新不足,产品技术多来自于对外模仿,真正的科技产业和产品转化率不高。
单位海洋GDP能耗即海洋科技环保水平与海洋经济效率为非线性关系,以0.46为临界点存在单一门槛。当海洋每万元GDP能耗小于0.46时,海洋科技环保水平促进海洋经济效率提高,即海洋GDP能耗倒数每提高1个单位,海洋经济效率提高0.53。当单位海洋GDP能耗大于0.46时,海洋科技环保水平对海洋经济效率提高的促进作用不明显。因此,在发展海洋经济时,应致力于提高海洋科技环保水平,提高资源利用率,减少生产单位产品时的能耗。
陆域经济发展水平、海洋产业结构、海洋科研人力资本、海洋经济政策与海洋经济效率之间的关系是正向的,地区对外开放水平与海洋经济效率的关系是负向的。在陆域经济发展到一定程度后,海洋经济被开发,海洋经济为人类发展提供了更多人类生产时所需要的空间和自然资源。因此,海洋经济是陆域经济的延伸。陆域经济为海洋经济的发展提供了更多的人力支持、物力支持与财力支持,所以陆域经济是海洋经济的腹地。也因此陆域经济的发展对海洋经济的发展有显著的正向促进作用,在今后海洋经济的发展中,应当更加注重海陆之间的协调性,促进海陆经济的协同发展。海洋第三产业比重与海洋经济效率之间的关系密切,海洋第三产业比重的提高对海洋经济效率的提高起着重要的影响。在中国,大部分沿海地区的海洋三产占比都不是特别高,在改善产业结构和提高三产内部经济效率的道路上还有很长的路要走。政府对于海洋科技的支持力度可以有效促进海洋经济效率的提升,但是影响的程度比较小。在未来,政府应当提高对海洋科技的支持力度,并引导海洋科技成果及时有效的转化为海洋产业和产品。海洋经济政策与海洋经济效率之间是正向关系,海洋经济政策力度每增加1个单位,海洋经济效率就会增加0.24个单位。在上文的分析中,我们发现海洋经济政策在国家以及地区的海洋经济效率的时空动态演变中起到非常重要的作用。因此,在以市场为经济调控主导的基础上,必须加强政府对经济的宏观调控作用,将政府对于经济发展的参与程度控制在合理的范围内,避免因政策造成的人力物力浪费,并积极倡导政府扶持与产业自主发展相结合。虽然地区对外开放水平提高可以促进海洋经济的发展,但是也可能导致发达国家为避免自身环境变差,而将污染高消耗大的海洋产业转移到发展中国家的现象。中国的出口商品中所占比重较高的是初级产品和资源性商品,因此在国际剪刀差状况下对于提高海洋经济效率的效果并不明显。