环渤海地区海洋产业差异特征
(一)偏离—份额分析法
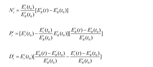
偏离—份额法最早由美国学者Daniel(1942)和Creamer(1943)相继提出,后经多位学者进一步总结完善,在研究区域产业结构、产业竞争力以及经济增长差异等方面应用较多,为区域的未来发展方向和调整产业结构提供指导。该分析法的核心思想是:视整个区域经济的发展过程为动态演进的,把要研究目标地区的上一级行政区作对照,将该地区在一定时期内产生的经济量拆分为增长份额、结构偏离和竞争力偏离三部分。其中,增长份额是研究地的标准化产业部门在所属区域的年增长率发展所带来的增加值;结构偏离分量是研究地的区域部门比重与所属区域部门比重差异所带来的增长偏差;竞争力偏离分量是研究地内某部门的增速与所属区域对应部门的增速差别引起的经济增长。偏离份额法可以表示为:
![]()
式中,
是区域r中i部门产值在整个观测时段中的增长量;
是为增长份额,值越大,表明区域r内的产业按所属区(R)的平均增长率计算得到的增量越大;
为产业结构偏离,值越大,表明该部门对地区内经济总量的增长所做贡献比重越大;
为竞争力偏离,它反映的是区域某个部门的相对竞争能力,值越大,该部门形成的竞争力对地区经济增长作用越大。
、
、
的计算公式为:

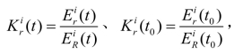
式中,
(t0)与
(t)分别代表区域r的i产业在观测期的基期和末期产值,Er(t0)和 ER (t)代表的是R地区在选取的测量期间的基期和末期的经济产值,
(t0)和
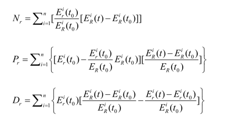
(t)则分别表示R地区内的i产业于基期、末期产值。将得出的地区内三次产业的增长份额、结构份额与竞争份额加总,得到观测区r的经济总增量 Gr,分解表示为:
![]()
其中:

假定地区r内i产业在基期与末期占同期参照区R的对应产业比分别为
那么可以将r地区相对增长率L定义为:

其中,ω表示产业结构指数,μ表示产业竞争数,n表示部门数。
(二)产业结构整体演变对环渤海地区海洋经济差异的影响
本文将研究对象的经济规模、整体地位、海洋经济量在当地经济中的地位为判定依据,选择了环渤海地区作为参照区。选择1996—2015年(共20年)作为研究观测期,进行偏离—份额分析,分析产业结构在地区经济空间差异的作用,结果如表10-1所示。
表10-1 环渤海地区产业结构对省域经济空间差异影响

由表10-1可知,以各分量增率值的正负为依据,可以将这四个省市简单地归分为两种:产业结构较好且竞争力强的经济快速增长型、产业结构良好但竞争力稍弱的产业结构推动型。因为山东、天津的结构份额与竞争份额都是正值,划分为经济快速增长值;辽宁和河北的产业结构虽具备一定的优势,但是竞争力偏弱,划分为产业结构推动型。从经济总量上,山东省位居第一,产业结构处在中、高速增长的产业比重较高,且该地区具有优质的海洋资源,海洋科技实力较为强悍,进一步助力其海洋经济。山东省的整个经济结构水平较高,产业综合竞争力强,海洋产业结构在经济中发挥重要作用。天津市的区域经济增量也处于较高地位,这与其发达的海洋产业有着直接的关系,该地的海洋科技水平在全国处于领先水平,海洋资源的利用率较高,具有较完善的海洋产业结构,在环渤海区域有着良好的经济竞争力。
相比之下,辽宁省的经济总量较小,得益于其悠久的海洋经济发展历程,其具备的海洋经济规模效应在海洋经济发展中作用明显,同时发展滨海旅游、海洋运输等海洋第三产业对该省的海洋经济起到一定的辅助作用,具有较强的产业发展潜力,海洋产业结构良好,海洋经济发展效果也相对较好。此外,河北省是渤海地区经济总量最小的省份,这与其对海洋经济发展的重视程度不高有着很直接的关系。就结构份额和结构增长率,各地区均为正值,意味着各地的产业结构良好,能够促进海洋经济的进步。但河北省的结构分量远远落后于其他三个地区,表明河北省的海洋产业结构有待进一步优化提升。就竞争份额来说,山东和天津皆为正值,辽宁和河北皆为负值,说明前两个地区的产业竞争力较强,后两者较弱。由表10-1中的产业竞争力的增率来观察产业竞争力对经济增长的贡献率,得知天津和山东产业竞争力的贡献率较大,而河北、辽宁的产业竞争力作用较小。
2006—2015年,天津市的增长率居第一位,山东省的海洋经济总量居第一位,且两地在经济总量和增速方面都具有较好的表现。相比,辽宁、河北没有展现出特别的优势,且辽宁省的海洋经济增量最少,与山东省相差甚远。
(1)就环渤海地区的份额分量而言,各地区的偏额分量均为正值,经济增长率良好。此外,除了辽宁,其他三地的份额分量的增量皆小于实际,意味着区域的海洋经济发展没有对各地区的海洋经济产生较大影响。
(2)就结构偏离分量而言,各地区的结构偏离份额均为正值,表明这些地区的产业结构整体情况良好,具有一定的结构优势。
(3)就竞争力偏离份额分量而言,山东和天津的竞争力偏离分量皆为正,而辽宁和河北皆为负,表明前两地的产业竞争力处于优势地位,后两地处于劣势地位。
(4)总偏离份额结构效应和竞争力效应共同作用,总偏离份额结构效应和竞争力效应共同作用的结果,主要体现一个省区以环渤海为标准区,偏离标准区的发展状况。天津市的总偏离份额为2348.78,山东省为5821.11,表示这两地的产业结构与竞争力的综合作用对这两地的海洋经济具有较好的拉动作用;其他两地皆为负值,说明产业综合效应在该省海洋产业发展中的综合作用带动并不明显。
(三)产业结构内部演变对环渤海地区海洋经济差异的影响效应
将偏离-份额分解到三次产业,逐一地对第一、第二、第三产业在地区经济发展中的影响进行分析。由表10-2可以看出,从三次产业在经济增长中所占的贡献比重来看,1996—2005年,天津和河北的第三产业增长份额与结构偏离份额最大,表明这两个地区的第三产业在经济增长中作用力明显,但两地区的海洋经济发展策略并不相同,天津偏重于海洋科技,而河北致力于滨海旅游经济。山东、辽宁的第一产业占比最高,结构份额最高的是第三产业,由此可见,虽然这两地的第一产业在其海洋经济增长中做的贡献最大,但第三产业在整个产业结构中却是占比最高的。
表10-2 环渤海地区三次产业对省域经济产业影响的偏离明细
