河北省海洋产业经济结构效益分析
综上分析发现,河北省海洋产业结构的合理化程度不是通过几个产业部门的简单组合来实现,相反,是要发挥出更好、更高的经济效益,并且促进海洋经济发展的集合,所以判断产业结构的优劣程度或分配得合理与否,还需要找到更多的指标进行判断,以此实现对产业结构效益问题的研究和测度。此外,分析产业结构的主要方法包括比较劳动生产率、产业结构增长波动分析法、技术进步率等。
(一)比较劳动生产率分析
比较劳动生产率指标计算是不同产业产值在整个产业中的比例除以劳动力的占比。通过对比较劳动生产率分析研究,可以发现构成和分布在各产业部门的海洋产业总产值和海洋产业的劳动力,各产业劳动生产率的增长情况以及各产业之间比较劳动生产率的作用关系这四大问题。
同时,判断各海洋产业部门效益水平的标准是比较劳动生产率指标。例如,将某海洋产业部门劳动生产率水平与全部产业劳动生产率的平均水平作分析对比,就可以得到该产业劳动生产率水平在整个海洋产业部门中所处的水平高低。同理,也可以将这一指标与其他较为发达的海洋经济地区进行比较,得出该产业部门与发达地区产业部门间在劳动生产率水平上存在的差距。
比较劳动生产率的计算公式为:

其中,ki表示海洋产业中第i个产业的比较劳动生产率;Xi表示第i产业的产值与整个海洋产业总产值的比率(下文统称产值比重);Li表示海洋产业中第i产业劳动力人数与整个海洋产业劳动力总人数的比率(下文统称为劳动力比重)。现在对2016年河北省海洋产业总产值>500万元的全部企业进行该指标计算,结果如表9-4所示。
表9-4 2016年河北省海洋产业比较劳动生产率计算表

以上数据显示在河北省整体的海洋产业中比较劳动生产率较高的是渔业服务业、水产加工工业,由此说明这些产业部门单位劳动力价值的产值量较大,也说明该部门技术知识水平较高。虽然海洋渔业的总产值占比较大,但其比较劳动生产率数值则相对较小,这可能与海洋渔业中农业所占比重较大有关,其生产技术相对较为落后,其作为河北省海洋经济发展的瓶颈产业部门,更有必要注重海洋渔业生产技术水平的提升。
(二)产业结构增长波动分析
要使产业结构合理增长,必须协调好各产业部门间的转变方式,产业结构中的任何“大起大落”的现象都是产业结构实现低效益水平的表现(产业结构的效益是指由于产业结构的配置不合理导致整个产业发展向着不协调的方向发展,各相关产业部门的生产力发展不协调导致相应的产业部门发展速度参差不齐,但是由于落后产业部门的发展速度会制约经济发展较快的产业部门,导致整个产业经济发展水平偏低)。通过分析海洋产业结构增长波动,可以对整个海洋产业的结构效益进行评价。
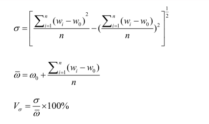
上文已提到产业发展的波动问题,这里将采用标准差和离散系数两个指标来对衡量产业结构增长的波动情况进行更为准确的计算。

其中,σ为标准差,ωi为分析期内第i年海洋产业增长速度;ω0为分析期内假定的平均增长速度;n为项数(分析期内年数);Vσ称为离散系数(标准差系数);
称为平均增长系数。
表9-5 河北省与其他沿海省市海洋产业平均增长系数计算比较表

对表9-5数据分析得到,在海洋产业的部门增长稳定性问题上,各省市之间存在较大的差异。河北省的海洋经济产业增长稳定性与辽宁省和广东省相比波动性稍大,河北省海洋产业结构增长波动系数值高达60%以上,故与山东省和天津市相较,河北省的海洋经济产业增长还算稳定。
总体而言,河北省的海洋经济产业发展处于不稳定阶段,其他一些各省市的海洋经济产业发展也是处于此阶段。可能原因有两个:一是由于海洋产业过分依赖于气象条件和环境,如海洋渔业、海洋盐业等;二是纵观我国海洋产业整体发展程度,也存在发展不稳定现象,目前也正处于初级阶段。因此,河北省在策划海洋经济发展的政策时,应积极吸取其他省市的发展经验教训,减少不确定性因素,从而确保产业结构增长的稳定性,减轻海洋污染给海洋经济带来的不利影响,最终使河北省海洋经济产业的发展更加健康、稳定和可持续。
(三)技术进步率
技术进步的程度是现代产业结构效益产生的重要基础,同样,技术进步也是产业结构向着合理化和高附加价值化方向演化的主要原因。因而可以用产业技术进步率作为衡量产业结构效益的重要指标,根据此项指标进行产业结构的优化调整,以技术进步率高的主导产业带动其他产业的经济发展。在社会发展的每个时期或不同阶段产业技术进步率可能是不相同的,这就要求我们对产业结构进行分析时,要考虑时效性,一旦发现新的高技术进步率产业,应大力扶持。相反,现 “夕阳”产业应及时进行产业转型调整。在以上分析中,比较劳动生产率可以反映出技术水平的高低,若海洋渔业的该指标值较高,则说明需要对海洋渔业加大装备和技术投入,使之转变成为现代海洋渔业。而对于海洋水产加工部门,应该利用技术含量相对较高的产业。渔业服务业等,对其产业结构进行合理引导和扶持调整,从整体上促进海洋产业的生产技术水平。