体现奖惩的医师绩效指标测度模型

二、体现奖惩的医师绩效指标测度模型

鉴于医师绩效评价“奖罚分明”的特征以及考评工作的导向性要求,需要直观明确地表明其指标的优劣。而将各评价对象的每个指标的具体性能值明确转化为或优或劣相对值,需要确定指标数据的基准值。涉及基准值(参考解)的方法研究中呈现出这样的特点,许多研究乐于以平均或极端作为参考点;联系背景说明的却一笔带过,未对如何具体设置做进一步交代,而侧重如何具体明确设置参照点的研究中缺乏对其相应的背景解释。实际上,在观测统计数字时,我们不仅要看到具体数字,更要深刻理解数字背后揭示的抽象社会现象。

目前,基准的确定往往来自统计数据里的特征值。众所周知,平均值和中位数是统计数据中最常用且代表性极强的特征值。平均数充分反映着样本内所有个体的信息,但易受极端数据影响。中位数是指在数据样本在数值排序条件下处于中间的位置的数值。相较于包含全部信息的平均值,它更侧重于考虑相对位置上中间样本个体的信息。故中位数在数据分析中往往扮演“分水岭”的角色,决策者可以根据中位数信息对样本的发展趋势做出判断。在医院管理过程中,平均数与平均主义、全员投票等相对应,而中位数则代表了医师在某种规则下(譬如收入或者地位)处于中间位置的群体(类似于中产阶级,且占医师群体比重较大),该群体的发展对维持医院的稳定与发展十分重要。

传统的计算方法往往是将高于某个指标平均值或中位数的统计对象作为该指标的奖赏部分,将低于某个指标平均值或中位数的统计对象作为该指标的惩罚部分,并将与平均值或中位数的差值与平均值或中位数之间做比作为最终的奖赏值或惩罚值。但这种计算方法具有局限性,这种局限来源于平均值和中位数的固有缺陷。一是平均值易受极端值的影响,而中位数只包含了部分数据信息从而造成信息损失。二是当在一个特定社会环境中(譬如医院绩效评估),与平均数对应的完全平均主义可能会造成“大锅饭”现象,使员工失去进取心。相对而言,使中位数所代表的中部群体利益得以表达,有利于社会结构的稳定。绩效较差的医师通过不断努力可以达到中部群体的水平,同时绩效最高的医师群体也将受到一定程度的限制,从而不能凭借其较高的地位和收入垄断医院资源,为整个医院建立了一套不同群体或者阶级之间的流动机制与途径,但是该机制仍存在弱势群体利益损失的可能。

同时,随着实际问题复杂程度的增加,单一固定的决策模型已经不能满足复杂多变的现实情况。尤其在公立医院医师绩效评价过程中,可能由于评价主体、评价对象以及评价环境的多变性,而导致如果仅仅使用固定的参考点可能会影响最终评价结果的准确性。为解决上述问题,在多属性决策领域已衍生出可调或可变参考点这一多情景分析工具。即在参考点的设置过程中,参考解也并不总是唯一的和不变的。这意味着如果决策环境产生变化,决策者的关注重心将随之变化,即决策参考点随决策环境变化而呈现动态特征,这凸显出参考点的可调整性或者动态性特征。同时,前人的理论研究也侧面证实了参考点的可调整或动态性质。

基于此,鉴于医师绩效评价中具体基准值的设置应该充分考虑医师绩效考核导向性与奖优罚劣的要求,本模型将结合使用平均值和中位数对医师指标进行奖惩绩效评价以适应不同决策态势。具体算法展示如下:

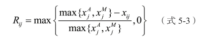
首先,计算得到评价对象每一指标完成绩效的奖赏值 Rij。对效益性指标而言,有

对于成本型指标有

其中为第C j指标下各指标值的平均值,为第Cj指标下各指标值的中位数。

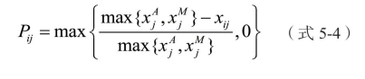
同理,可以得到各医师每项指标的惩罚值 Pij。对于效益性指标有

对于成本型指标有

上式表示原始值劣于参照值的程度占参照值的比率,显然,当指标值优于参照值的原始值,其惩罚绩效值为0。

根据式(5-2)和式(5-3)不难发现,具有如下特点:

(1)R ij意为原始 xij优于分界点max程度(多少)所占分界点max大小的比率。显然,当指标值劣于参照值的原始值,其奖励绩效值为0。同理, Pij意为原始 xij劣于分界点max程度(多少)所占分界点max大小的比率。并且,当指标值优于参照值的原始值,其惩罚绩效值为0。

(2)当时,表明此时医师绩效分布偏右,且分布右端出现长尾现象拉高平均值。换句话说,医师大部分达不到平均水平,是由于少数医师绩效远高于大部分医师,故而拉高了医师平均绩效。此时,设置医师绩效评价的基准点略高于医师中间群体(也是医师全体中占比较大群体)水平,则该评价体系发挥医师绩效“提升”作用,侧重于通过奖惩措施充分调动绩中部医师群体的人员工作积极性,通过促进中部群体医师水平不断进步,实现医院整体绩效提升;当时,表明此时医师绩效分布偏左,整个分布距离零点很远才可能出现左端长尾拉低平均数现象。也就是说,此时该医院医师绩效整体较高,但有少数人非常低。此时,设置医师绩效评价的基准点等于医师中间群体水平,则该评价体系发挥医师绩效“稳定”作用,侧重于通过奖惩措施充分调动绩效水平较低的医师群体工作积极性,促进此类医师水平不断提高,进而实现医院整体绩效提升。显然,这种基准点设置既体现了医师绩效奖惩要求,也符合医院医师绩效发展水平具体态势。

(3)当选择作为基准,则获得奖赏的医师数量会略多一些,而选择作为基准,则获得惩罚的医师数量则会略多一些。这种选择受决策人员风险偏好态度和医院资金状态等多种因素影响。

(4)当 Rij> 0时,Pij= 0,反之亦然。这反映出某一项指标值,要么是奖励,要么是惩罚,不存在既奖励又惩罚的情况。

图5-2 原始值转化为优势值与劣势值

图5-2 显示原始值转化为优势值与劣势值的四类状态。从图中可以看到:①当时,选取基准值为,表明医师绩效分布偏左,并且整个分布距离零点很远才可能出现左端长尾拉低平均数现象。反映到实际中,此时医院医师绩效整体较高,但存在少数人绩效非常低。此时,医师绩效评价的基准点设置为中位数,对应着医师中间群体水平,则该评价体系发挥医师绩效“稳定”作用,达到及超过医师绩效中间水平即产生奖赏,有利于医师队伍稳定。②当时,选取基准值为,表明医师绩效分布偏右,且分布右端出现长尾现象拉高平均值。这意味着医师大部分未达到平均水平,但是少数医师绩效远高于大部分医师,故而拉高了医师平均绩效。此时,选取基准值为,即医师绩效评价的基准点略高于医师中间群体水平,则该评价体系发挥医师绩效“提升”作用,通过于奖励绩效中等水平偏上的医师群体,越高于基准值奖励越多,进而通过“强者更强”实现医院整体绩效提升。

同理,③当时,选取基准值为,表示医师绩效评价的基准点设置为中位数,对应着医师中间群体水平。此时,该评价体系侧重惩罚绩效中等水平偏下医师群体,并且越低于基准值惩罚越大,以此促进此类医师水平趋于提高,进而通过“补齐短板”实现医院整体绩效提升。④当时,选取基准值为,表示医师绩效评价的基准点略高于中位数所对应的医师中间群体水平。此时,该评价体系侧重于惩罚绩效略低于中等水平及以下医师群体,并且越低于基准值惩罚越大,此措施通过激发中等水平及以下的医师努力进取实现医院绩效整体提升。

本文提出的奖惩指标测度模型,通过奖励完成情况较好的医师,惩罚完成情况欠佳的医师,激发被考核医师的工作热情和潜力,实现了医师绩效评价的导向作用。该医师绩效评价体系通过奖惩机制架起绩效评价与实际管理之间的桥梁,通过对医师行为的引导和调整,促进医院战略目标的实现。不仅如此,其评价结果还可以作为促进医师发展和进步的一种手段。通过递阶层次结构指标体系及医师个体的评价,既可以分析医师个体绩效水平及其主要影响因素,也可以分析医院为提高医师整体绩效水平,应由哪些岗位、哪些指标做出主要改变。并将评价结果作为决定医师的职务变动和制定个性化医师职业培养规划的依据。