医师绩效指标权重确定方法研究

三、医师绩效指标权重确定方法研究

指标权重表示指标在医师绩效指标体系中的重要程度,将直接影响评价结果。因此,指标权重的确定是医师绩效评价的关键环节。目前,现有研究多选取熵值法、主成分分析法、变异系数法和层次分析法等确定指标权重。其中,层次分析法是主观赋权法,易受主观因素影响;并且在指标数量过多的情况下,认知负担过重且一致性难以实现。另外三种都是客观赋权法。客观赋权法是基于评价数据自身信息挖掘对指标赋权,他的赋权机理以指标值的相关关系或指标值数据变异程度为基础。对熵权法而言,以熵作为信息量度量基础,通过求取该指标的信息熵来揭示该指标值蕴含信息量的多少,进而确定该指标的重要程度。其基本原理是指标内数据的差异程度,当指标值之间的差异水平越大,其熵越小,则该指标蕴含信息量越多。主成分分析法通过一定的数学变换,在原变量的线性组合下产生相互独立的新变量主成分,究其原理是利用数据之间的相关性进行赋权。与该方法类似,而变异系数法赋权原理则依据指标在不同参评对象下指标值的变异程度大小来赋权。熵值法侧重数据本身的离散程度,变异系数法利用数据间差异,主成分分析则基于数据相互关系程度,这三种方法本质上都仅考虑指标间相关性或者变异程度,均不能全面考虑数据之间的变异程度(区分度)和相关性这两大属性。当采用主成分分析法这类方法时,指标值相关性越高,指标权重越小。实际上却不合理,如学生学业水平评价中,数学成绩与物理成绩往往具有较高相关性,而与外语成绩相关性较弱,但据此简单赋予较小权重给生物成绩,而赋予较大权重给英语科目,显然是不合理的。同理,变异系数法这类依据指标值的区分度来确定权重,指标差异越大,则权重越大。该方式进一步放大了该指标的指标值差异,但与指标重要程度的内涵存在一定区别。

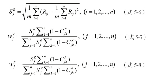
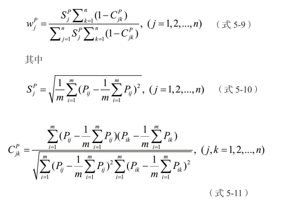
CRITIC 法以评价指标的区分程度和评价指标之间的相关性这两重角度来衡量不同指标的重要性。具体来讲,给定一指标值的标准差,指标间的冲突越就意味着指标的权重越小;指标间的冲突越大意味着该指标的权重越大。并且,当指标间的相关性越大时指标的冲突就越小。此时,针对同一评价对象,指标蕴含的信息量相似程度较高。借鉴CRITIC 考虑指标变异大小和指标间冲突性思想,本文发展了一种基于优-劣势指标能够反映指标间关联的客观指标权重确定方法。设为指标Cj的权重,则为指标Cj奖赏值标准差,为相关系数,则优势评价矩阵的指标权重可表示为:

其中:反映同一指标取值差距的不同,越大则,指标Cj反映信息量越大,指标Cj权重越大,反之亦然。反映指标Cj与指标Ck的非相关性,反映着指标间的冲突程度,非相关性越大,则指标Cj与指标Ck冲突程度越高。

同理,可以得到劣势评价矩阵的权重:

CRITIC 客观权重确定法是通过指标之间的辨别力与指标间的冲突性来表征指标的重要程度。首先,指标辨别力指的是在同一指标下,针对不同评价对象其评价值的取值差异程度,如果该指标在不同评价对象评价中取值差异程度越大,说明该指标的辨别力越好;与之相对的是,指标在不同评价对象下取值差异越小,则说明该指标的辨别程度越差。一般情况下,用该指标的标准差来衡量指标辨别力的好坏。其次,指标冲突性指的是指标之间的相关程度,指标之间的正相关程度越大,则说明指标的冲突性越小;与此相对,指标之间负相关程度越大,则指标的冲突性越大。相关系数可以很好地测度冲突性的大小与方向。故而,CRITIC因其卓越的优势成为众多客观权重确定模型受到了广泛的认可,并且对于公立医院医师绩效评估具有较强的实际适用性。