可调多指标补偿规则

(三)可调多指标补偿规则

在评价对象远离其均衡态时,超额互补表征着评价方法对指标间的非均衡态进行奖励,凸显了“鼓励搞突出、抓重点”的评价原则;欠额互补刻画出评价方法对指标间的非均衡态要求惩罚,强调了“鼓励均衡发展”的评价原则;等额互补表示评价方法对指标间非均衡态不奖不罚,体现了“取长补短式”的评价原则[76]。显然,这种维度间或指标间不同的妥协情况灵活反映着不同决策情景和势态。那么,如何通过指标之间不同补偿程度刻画评价态势的变化对评价结果的影响呢?本文基于对不确定情景分析的探寻,结合Yager 提出了一种基于有序加权平均(OWA)算子和基本单位区间单调(BUM)函数的连续OWA(COWA)算子[134],提出体现评价者主观意志的补偿规则。该规则具有很好的灵活性和柔性,它基于语言量器、相应的参数α 值及其对应的决策者态度值的灵活选择,使评价者可以方便地表达自己的决策态度。其中语言量词的选择能够较好刻画决策者对不确定评价环境的主观反应态度,换句话说,语言量词的选择能够用于体现不同的评价态势。这种评价方式为评价医师提供了更多的可能性,评价者也可根据实际情景决定决策态度,决定最终的评价结果,使评价方法更具柔性,因而更加贴合决策情境。

1.考虑决策势态的区间信息集结算子

Yager 提出了一种基于有序加权平均(OWA)算子和基本单位区间单调(BUM)函数的连续OWA(COWA)算子,以聚合一个封闭区间[ a ,b] 内的所有值。该算子可对连续性区间数据信息进行集成。

COWA 运算符是一个映射,其定义如下[134]

其中为BUM 函数 Q:[0,1]→[0,1],且具有单调性,具体表现为:(1) Q (0) =0 ;(2) Q (1) =1 ;(3)如果x >y ,

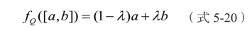
COWA 算子与参数值是有界的、单调的。有趣的是,在定义中,BUM 函数可视为[ a ,b] 区间的态度概率分布(APD),是其态度概率密度函数。此外,若让Q 的态度特征(attitudinal character)为,则fQ可简化为以下等式:

通常从式(5-19)中可以认识到, f Q([ a ,b] )本质上是区间[ a ,b] 的端点与态度特征(attitudinal character)参数λ 的凸组合。虽然在式(5-20)中虽只出现了区间的下端点和上端点,但式(5-19)中的积分表明,COWA 算子在汇总闭区间信息时,考虑了区间[ a ,b] 内的每一点。

2.体现评价者主观意志的补偿规则

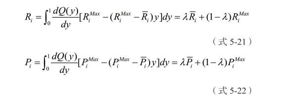
基于上述的公式,推导得出最终的医师奖赏值和惩罚值的计算公式,具体如下所示:

根据它的定义,我们知道COWA 算子的关键是BUM 函数Q 的确定,在文献中提到了几个值得注意的Q 的例子,其中最流行、最广泛使用的例子如下。

一般来说,BUM 函数Q 可以用来描述评价者的决策态度,即评价者认为一个好的解决方案所必须满足的那部分标准,用通俗的语言进行描述,如“全部”“一半”或者“少许”等,因此,它也被称为语言量化器。根据式(5-21),语言量化器通过应用不同的参数值α,评价者可以方便地表达自己的决策态度,而参数值的不同会最终影响到指标之间的权重。表5-2展示了常见的语言量化符及其对应的参数α 值和对应权重。

表5-2 语言量器和相应的参数α 值及权重

续表5-2

由上式可以得到各位医师在不同指标下的奖赏值和惩罚值,得到的奖赏值与惩罚值和加权平均值与最大值之间的权重息息相关。而权重的获取来自参数α 值,即最终来自评价者的决策态度。也即评价者的决策态度决定了最终的医师奖赏值和惩罚值,而决策态度的不同也会导致医师最终奖赏值和惩罚值的不同,并最终影响医师的评价结果。这种评价方式为评价医师提供了更多的可能性,评价者也可根据实际情况决定决策态度,决定最终的评价结果,使评价方案更加灵活。

需要注意的是,虽然上述计算方案适用于绝大多数的数据类型情况,但在实际情况中,可能会出现某些特殊情况,如某个指标共有100 组数据,有60 个指标数据为0,而非0 最小值为0.01,则经过数据调整后,的值仍小于0.01。而数据中的某些数值如0.5,经过计算后得到的奖赏值过大。对于这种情况,会采用两种计算方式。一是忽略0 值数据,只统计非0数值,计算中位数和均值,将计算后的结果用于与模型中;二是将计算后的奖赏值作归一化处理。