▶9.2.2 集中质量矩阵
由式(9.9)集合得到的整体质量矩阵M将是带状的对称矩阵,其计算存储数据量与刚度矩阵K相同。为了简化计算,假设单元的质量集中分配在各结点上,这样得到的质量矩阵是对角线矩阵,称为单元集中质量矩阵。于是,整体质量矩阵M也将是对角线矩阵,给存储和计算都带来了方便。
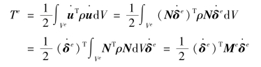
动力方程(9.13)可以由拉格朗日方程推导出,其中结构的总动能就是各单元动能之和,即
![]()
单元内位移由结点位移插值为
![]()
则速度为![]()
如ρ为材料密度,则单元动能为

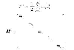
可见,单元动能为结点速度
的二次型,而单元质量矩阵就是此二次型的系数矩阵。
对于平面或三维问题,结点位移部分为互相垂直的线位移,如果把单元的质量平均分配到单元各结点,则单元动能为

其中,mk为对应于k号结点位移分量的结点质量,n为单元自由度数,这样的质量矩阵就是对角型的,有(https://www.daowen.com)
例如,对3结点三角形平面单元,单元总质量为M,每结点都集中有平均分配的质量
。此单元有6个自由度,则其中单元集中质量矩阵为

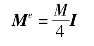
而4结点四面体单元的自由度为12,M为单元总质量,则此单元的集中质量矩阵为
![]()
其中I为12阶单位阵。
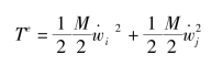
对于直梁与板壳,动能计算较为复杂,而按式(9.9)仍可求得其一致质量矩阵。但是,为了简化计算,也可以直接将单元质量平均分到各结点,成为几个质点,得到集中质量矩阵。例如,两结点直梁单元,i,j为两结点,M为单元质量。如果把质量平均分配并集中到两个结点,而对应的单元结点位移为
![]()
则动能为

集中质量矩阵为

其中零对角元素对应于两结点的转动位移θi,θj。因为质量集中于两个质点,也就忽略了梁截面转动的惯性。对于细梁和薄板壳,对应于结点转动的动能是很小的,一般都可以忽略。只把单元质量分配到各结点,最为质点只计算线位移运动的动能而得到单元的集中质量矩阵,这是合理的,又较为简单。