▶8.2.2 坐标转换、整体刚度矩阵
前面是在单元的局部坐标系中推导单元刚度矩阵的,即以单元的中面为xy面,z轴垂直于单元的中面。为了建立薄壳的整体刚度矩阵,必须把不同平面内的单元刚度系数在结点处加以集合,因此需要另外确定一个统一的整体坐标系,并把各单元在局部坐标系中的刚度矩阵转换到整体坐标系中去。
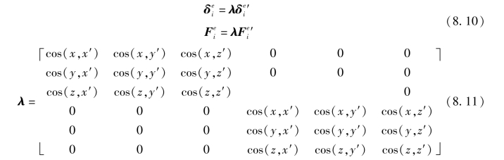
现在用x',y',z'表示整体坐标,局部坐标仍用x,y,z表示。在局部坐标系中,结点i的位移和结点力仍用
和
表示,见式(8.5)。在整体坐标系中,结点i处的位移和结点力用
和
表示,即

结点位移和结点力在2个坐标系中(图8.6)的变换可按下式进行:

而(x,x')为x轴与x'轴的夹角,等等。

图8.6 局部坐标系(x,y,z)与整体坐标系(x',y',z')
把整个单元在整体坐标中的结点位移和结点力分别用(δ')e及(F')e表示,由变换式(8.10)可得到

由式(8.12)的第二式可知
![]()
把局部坐标中单元结点力与结点位移的关系式Fe=kδe代入上式,得
![]()
可见L-1kL就是此单元在整体坐标系中的刚度矩阵,即
![]()
因L是正交矩阵,故L-1=LT,由上式可得
![]()
这就是刚度矩阵的变换公式,利用这个公式,可以由局部坐标中的单元刚度矩阵k计算整体坐标中的单元刚度矩阵k'。(https://www.daowen.com)
将刚度矩阵写成分块形式,k'的子矩阵可按式(8.15)计算:
![]()
式中 krs——按式(6.6)在局部坐标中计算的。
当整体坐标系中的单元刚度矩阵计算出来以后,按照以前所述统一步骤,加以集合,不难得到壳体的整体刚度矩阵K。
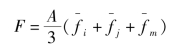
为了建立结点平衡方程,还需计算结点等效荷载。令单元荷载所做的功等于结点等效荷载所做的功,不难求出单元结点等效荷载。一般情况下,在分布荷载作用下,单元结点等效荷载包括力和力矩分量。实际上,当单元比较小时,常可采用比较简单的方法计算单元结点等效荷载,即忽略力矩分量,并把单元承受外荷载的合力平均分摊到单元的各结点上去。例如,当壳面承受着法向分布荷载
,在三角形单元3个结点上的荷载强度分别是
,那么作用于单元上的荷载的合力为

式中A是单元面积,假定荷载方向与局部坐标z轴相同时为正。把这个合力平均分摊到3个结点上,并转换到整体坐标中去,得到在整体坐标中的结点荷载如下:

其中x'y'z'是整体坐标系。将各单元的结点荷载加以集合,即可得到壳体的荷载列阵
。壳体的结点平衡方程为
![]()
从式(8.17)可解得各结点在整体坐标系中的位移。利用变换式δe=L(δ')e求出各结点在局部坐标系中的位移,再利用局部坐标系中的应力矩阵,即可求得各单元的应力。
有一个特殊情况必须注意。如果交会于一个结点的各单元都在一个平面内,由于在式(8.8)中已令θzi方向的刚度系数等于零,在局部坐标系中,这个结点的第6个平衡方程(相当于θz方向)将是
![]()
如果整体坐标与这一局部坐标一致,显然,整体刚度矩阵的行列式|K|=0,因而式(8.17)不满足有唯一解的条件。如果整体坐标与局部坐标不一致,经过变换后,在这个结点得到了表面上正确的6个平衡方程,但是由于式(8.18),行列式
的行向量是线性相关的,从而|K|=0,所以平衡方程(8.17)仍然不满足有唯一解的条件。
为了排除这一困难,对于这种各有关单元位于同一平面内的结点,可以在局部坐标系内建立结点平衡方程,并删去θz方向的平衡方程0=0,于是剩下的方程组满足有唯一解的条件。这个方法在程序设计上比较麻烦。
另一个办法是,在这些特殊结点上。给以任意的刚度系数kθz,因此在局部坐标系中,这个结点在θz方向的平衡方程为
![]()
经过坐标变换,在整体坐标中的结点平衡方程将满足有唯一解的条件。在解出的结点位移中包括θzi。由于θzi不影响单元应力,并与其他结点平衡方程无关,所以实际上可以给定任意的kθz值而不会影响计算结果。