▶2.3.2 整体刚度矩阵和整体结点荷载列阵的装配
2026年01月14日
▶2.3.2 整体刚度矩阵和整体结点荷载列阵的装配
由式(2.46)和式(2.47)可知,整体刚度矩阵和整体结点荷载列阵分别由单元刚度矩阵和单元等效结点荷载列阵集成而得到。
对于图2.13所示结构,其整体刚度矩阵和整体结点荷载列阵的集成可由式(2.49)表达

式中
——作用于结点的外力;
——各单元计算的结点等效荷载。
将总刚K写作对应于结点的分块形式

整体结构具有9个结点,则总刚K为9×9个子块,18×18阶矩阵。
有两种方式可完成式(2.49)的集成:
①采用上述与处理结点6相似的方法,将单刚k扩充到总刚K的阶数,然后进行叠加,即获得总刚。这一方法由于不便于程序化计算,一般较少采用。
②将每个单刚k的各子块按照各结点的整体编码(表2.1)装配在式(2.50)总刚K相应的位置。这一做法的物理意义是该单元对总刚的那些刚度系数的贡献。
例如对于图2.13所示结构单元③,其单刚k(3)的分块形式为(https://www.daowen.com)

由表2.1可知,其结点i,j,m对应的整体编码分别为6,2,5,则k中各子块装配在总刚K相应的位置如下:

依次完成了所有单元的上述装配过程,就形成了整体刚度矩阵。这一装配过程称为“对号入座”。
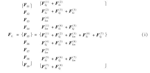
同理,可完成整体结点荷载列阵FL的装配。其物理意义是各个单元对整体结点荷载列阵的贡献。需要说明的是,边界约束处,相应方向承受未知的支座反力,因此无须进行装配。
对于图2.13所示结构单元③的等效结点荷载FL(3)
![]()
各子块安放在FL相应的位置
![]()
式(i)、式(j)分别为图2.13所示结构装配完成后的整体刚度矩阵和整体荷载列阵。

