▶3.3.3 12结点矩形单元(三次单元)
2026年01月14日
▶3.3.3 12结点矩形单元(三次单元)
图3.10所示为12结点矩形单元,在4个角结点和各边三分点设置2个结点,每个单元有24个自由度。单元结点位移列阵和单元结点力列阵分别为


图3.10 12结点矩形单元
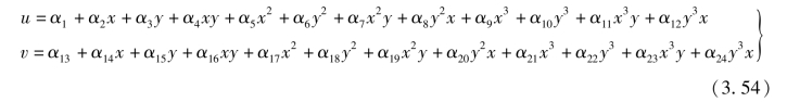
参照前述分析过程,单元位移模式为取为

式(3.54)为不完全4次多项式,单元位移模式包含完全的一次项,满足完备性要求。同前述分析,在任意边界上位移函数均为x或y的三次函数。单元各边界均包含4个结点,可唯一确定三次函数,能够保持相邻单元公共边界上位移的协调性,因此该单元为完备协调元。
单元位移插值函数为(https://www.daowen.com)

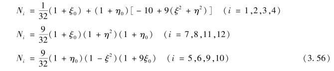
按照前述方法,可构造形函数Ni为

式中,ξ0=ξiξ,η0=ηiη
单元刚度矩阵和单元等效荷载的计算可参照式(3.47)和式(3.48)。
本章主要介绍了常用的三角形和矩形平面单元的构造,从理论上按照上述方法尚可进一步构造更高阶次的单元,但对于结构分析而言,提高计算精度的方法并非仅依靠单元的精度,因此更高阶次的单元已无较大实用意义。
需要进一步说明的是,本章讲述的矩形单元为Serendipity单元(或称索氏单元),有限元分析中通常采用的单元还包括Lagrange单元,Hermite单元等。与其他各类单元相比,索氏单元的特点是在相同数目情况下,结点仅需(或大多)设置在边界上,从而较大地提高了计算效率,因此目前索氏单元被广泛应用。