5.6 有限元计算中的高斯积分法
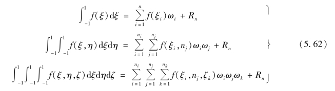
在单元刚度矩阵及等效结点载荷计算中,经常需要进行下列形式的一维、二维和三维积分

被积函数往往很复杂,无法得出其显式,因此,在有限元法计算中通常采用数值积分。一般数值积分包括两类:一类采用等间距积分点,如梯形法和抛物线法等;另一类采用不等间距积分点,如高斯积分法。
高斯积分法采用加权积分的方法,其采用不同加权系数改变积分点的间距,从而通过求和得到近似的积分值。比之其他数值积分法,高斯积分法在采用相同数目积分点时,可以达到较高的精度。
采用高斯数值积分法,上述积分可用下列公式计算

式中 ξi——高斯积分点坐标;
ωi——加权系数(i=1,2,…,n);
n——积分点数量;
Rn——当取n点积分时,高斯积分与该积分的误差。
下列首先讨论一维高斯积分的思路和方法。