▶3.3.1 4结点矩形单元(一次单元)

图3.7 4结点矩形单元
4结点矩形单元是有限元方法中一种平面基本单元。由于它采用了比3结点三角形单元更高阶的位移函数,能更好地反映弹性体中的位移和应力状态。
图3.7表示边长分别为2a×2b任意的4结点矩形单元,单元有8个自由度。
单元位移列阵为
![]()
单元结点力列阵
![]()
(1)位移模式
参照Pascal三角形,首先选择完全一次项:1,x,y,其次应在二次及以上项中选择1项。可以看到,无论考虑坐标对称性或收敛性要求,应当选择xy这一项。则单元位移模式取如下形式函数

由于矩形单元其边界总是平行于坐标方向的,因此,在任意边界上位移函数均为x或y的线性函数,式(3.35)也称为双线性模式。单元位移模式包含完全的一次项,满足完备性要求。单元各边界均包含两个结点,可唯一确定线性函数,故满足连续性条件,单元为完备协调元。
(2)局部坐标
根据矩形单元边界的几何特性,为便于运算,引入无量纲局部坐标系(ξη),如图3.7所示。
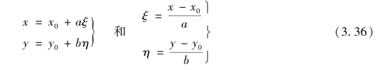
ξη与xy坐标系之间的转换关系为

式中

为矩形形心位置坐标。
于是,矩形单元均可变换为边长为2×2的正方形单元,如图3.8所示。形函数的构造将在局部坐标系(ξη)中进行,而通过坐标变换式(3.36),可将局部坐标系中构造的形函数映射到整体结构中所有矩形单元。
根据复合函数微分法则,由式(3.36)可得
(https://www.daowen.com)

图3.8 矩形单元局部坐标

(3)构造形函数
单元位移插值函数


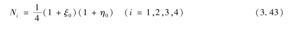
采用与上一节相同的方法,在局部坐标下构造结点1的形函数N1。
设N1=c(ξ-1)(η-1),由(N1)
,得
,故有
![]()
同理,可得其他形函数。
写作统一格式

式中,ξ0=ξiξ,η0=ηiη。
(4)单元刚度矩阵
平面问题单元刚度矩阵一般可表示为

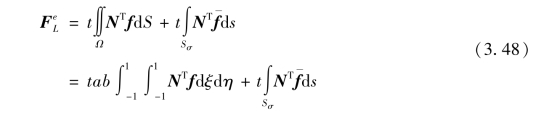
(5)单元等效结点荷载
参照式(2.45),单元等效荷载可写作

例如,对于重力问题(设容重为ρg),代入式(3.48),单元等效结点荷载列阵为:
![]()