5.5 20结点六面体三维等参单元
对于三维结构的有限元分析,高阶单元往往更具有计算效率。二次等参元既能适应复杂结构的曲面边界,又便于构造高阶单元,在三维应力分析中较为常用。目前在三维问题的等参元应用中,较为常用的是20结点六面体等参元,已被采用于多种通用有限元分析程序,在复杂的三维结构分析中取得了相当的成功。
图5.10(b)为一个任意20结点曲面六面体单元,取8个角点,12条棱边的中点为结点。建立一个与此单元对应的边长为2的20结点正立方体单元,并建立局部坐标系ξηξ,坐标原点在正立方体的形心,如图5.10(a)所示。此规则单元为任意20结点六面体曲面元的母单元。

图5.10 20结点的六面体等参元
(1)母单元位移函数
参照式(4.56),母单元的位移模式设为

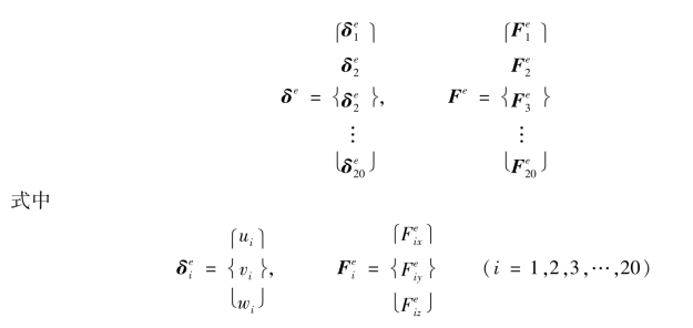
单元结点位移列阵和单元结点力列阵分别为

单元位移插值函数可以表示为

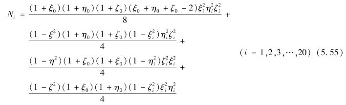
式中,Ni(ξ,η)为形函数,参照式(4.59)由式(5.55)给出

其中ξ0=ξξi,η0=ηηi,ζ0=ζζi。
(2)等参坐标变换
对图5.10(b)所示整体坐标系xyz与图5.10(a)所示局部坐标系ξηζ两种坐标系采用式(5.56)进行变换

式中,变换函数Ni(ξ,η)即为位移插值函数(5.54)中的形函数。
坐标变换式(5.55)使实际的六面体曲面子单元与正立面体母单元的8个角结点、12个边结点一一对应,子单元6个曲面、12条曲边与母单元6个平面、12条直边一一对应,并使子单元内各点与母单元相应各点一一对应。这样相当于把实际的任意曲面六面体子单元映射为正立方体母单元。
(3)单元刚度矩阵
三维变形状态下,一点的应变与位移的几何关系,写成矩阵形式为
(https://www.daowen.com)
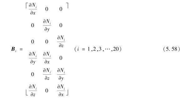
式中,B为几何矩阵,可按结点分块表示为
![]()
式中

由最小势能原理,可得单元刚度矩阵为
![]()
按照前述分析,单元刚度矩阵可写为
![]()
式中 J——坐标变换的雅可比矩阵行列式。
k可按结点分块写成

则子矩阵ki-j为

(4)单元等效荷载列阵
设
为单元等效荷载列阵
![]()
式中
![]()
单元等效荷载列阵按式(5.61a)

单元等效荷载列阵子块
