5.2 4结点四边形平面等参单元
本节以平面4结点平面等参单元为例,介绍等参单元的坐标变换、单元位移函数的构造、单元刚度矩阵和等效结点荷载的计算等。
图5.3(b)为整体坐标x,y中的任意4结点四边形单元,建立一个与此单元对应的边长为2的4结点正方形单元,并在其形心位置建立局部坐标系ξ,η,如图5.3(a)所示。

图5.3 4结点平面四边形单元
(1)局部坐标系的单元位移函数
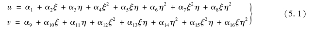
参照式(3.50),在局部坐标系中,单元位移模式可取为

单元位移插值函数为

式中,Ni(ξ,η)为形函数,参照式(3.46)可取为
![]()
式中,ξ0=ξiξ,η0=ηiη。
式(5.2)用矩阵表示为

(2)等参坐标变换
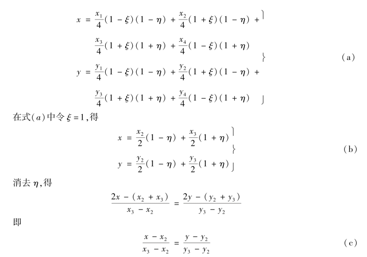
如图5.3(b)所示为整体坐标系的任意四边形单元,同样设置4个结点,对两种坐标系采用式(5.5)进行变换:

式中 Ni(ξ,η)——位移插值函数中的形函数,由(5.3)表示。
由式(5.5)可以看出,通过坐标变换图5.3(b)整体坐标x,y中的任意四边形单元映射为图5.3(a)局部坐标ξ,η中的正方形单元。任意四边形的4个角点1,2,3,4与正方形的4个角点1,2,3,4一一对应,任意四边形的4条边界与正方形的4条边界一一对应,正方形中任意点(ξ,η)与曲边四边形中相应的点(x,y)一一对应。上述正方形单元称作母单元,任意四边形单元称作子单元。
例如,对于ξ=1的边界(通过结点2和3的边界),将式(5.3)代入式(5.5),得

式(c)即为xy平面内通过结点2,3的直线方程。同理,可以推得任意四边形子单元其他3条边与母单元中ξ=-1,η=±1边一一对应,且子单元形心与母单元形心对应。
采用坐标变换式(5.4)后,xy平面内任意的四边形单元都可以映射成ξη平面上的正方形母单元。且直线仍映射为直线,仅其长度和位置发生了转化,故称该种变换为线性变换,子单元为线性等参元。
(3)单元刚度矩阵
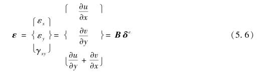
将式(5.2)代入平面问题的几何方程,得到单元的应变

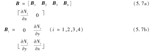
式中,B为几何矩阵

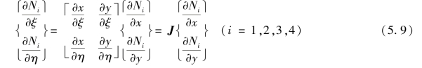
由于形函数Ni为局部坐标(ξη)的函数,所以根据复合函数求导法则可得

或用矩阵表示为

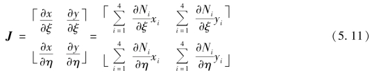
式中,J为雅克比矩阵

其元素可以利用坐标变换式(5.5)计算得到,即

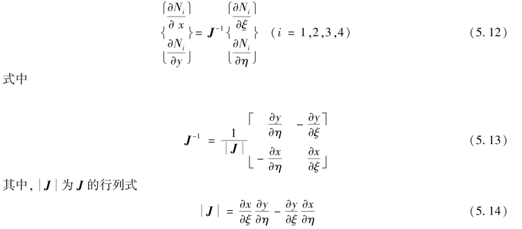
将式(5.9)两边左乘以雅可比矩阵的逆矩阵J-1可以得到

将式(5.5)代入平面问题的物理方程,得到单元的应力
![]()
式中 S——单元应力矩阵。
参照式(2.32),根据最小势能原理,单元刚度矩阵可表示为
![]()
式(5.16)中,被积函数是局部坐标ξ和η的函数,应对积分元进行变换。
设i,j分别为整体坐标x,y方向的单位向量,dξ,dη分别为局部坐标ξ,η在整体坐标系下的微元向量,可表示为(https://www.daowen.com)

在整体坐标系中,由dξ及dη所组成的微元面积为

故式(5.16)可以写为如下形式
![]()
式(5.18)的被积函数是局部坐标(ξη)的函数,难以得到显式表达。所以,等参单元刚度矩阵的积分计算一般采用数值积分计算。
(4)单元等效结点载荷
设
为单元等效荷载列阵,其子块为
![]()
式中
![]()
参照式(2.45),由虚功原理可得

式中 f——单元体力;
——单元面力。
由于
,故

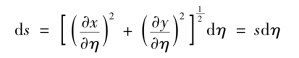
对于式(5.20)中面积微元ds,例如在ξ=c(常数)的曲线上,dη在整体坐标内的线段微元的长度为

其他边界上的ds可以通过轮换ξ,η得到。
当所给表面力沿曲边的法向和切向时,即f-=[στ]T时,可将式(5.20)中的第一类曲线积分化为第二类曲线积分形式

其中规定σ沿外法向为正,τ以沿单元边界前进使单元保持在左侧为正。
式(5.20)一般采用高斯积分法计算。
下面分析如图5.4所示的表面力计算方法。

图5.4 4结点四边形等参元表面力计算
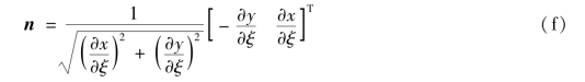
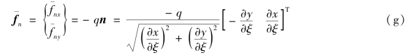
由于表面力q所在的边对应于η=1的边界,设n为该边界外法线n在整体坐标系的方向向量
为外法线表面力在整体坐标系的向量,则

因为规定压力为正,拉力为负,则当表面力为压力时,压力方向与外法线方向相反,因此,表面力可以表示为

而式(5.20)微元为

将式(g)、式(h)带入式(5.20),则可得到单元表面力的等效结点荷载

因为假定作用的表面力所在的边对应于η=1的边,所以积分只沿η=1的边(相当于实际单元的12边)。这时N3,N4等于零,且N1,N2中的η=1,计算结果为只在结点1,2上产生等效结点荷载。
当表面力作用在单元的其他边上时,同时可以得到相应的计算公式。
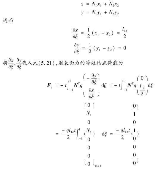
【例5.1】 计算图5.5所示单元的表面力的等效结点荷载(假定单元厚度为t)。

图5.5 等参元表面力等效荷载计算
【解】 对于图5.5所示情况,表面力的等效结点荷载可按式(5.21)计算。
因为积分只沿η=1的边进行,在该边上N3=N4=0,所以根据式(5.4),在边12上有

式中,l12是12边的长度。计算结果为将该边上的表面力平均分配到了该边的两个结点上。
结构整体方程的建立以及整体刚度矩阵K与整体结点荷载列阵FL集成,前面已经详细介绍,不再赘述。