▶3.2.2 6结点三角形单元(二次单元)
如图3.3所示为6结点三角形平面单元,除三角形角点以外,3条边的中点各设置一个结点。

图3.3 6结点三角形平面单元
单元结点位移列阵为

式中

单元结点力列阵为

式中

(1)单元位移模式及其收敛性
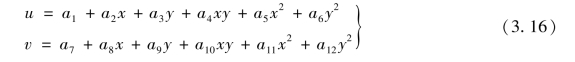
单元具有6个结点,12个自由度,参照图3.1所示Pascal三角形,单元位移模式设置为完全二次多项式,包含12个待定常数:

式(3.14)包含完全一次多项式,因此,单元的完备性得到满足,下面考察其连续性。
图3.4所示,两个相邻的6结点三角形单元,结点2,5,3连线为其公共边界。对于单元①,位移模式(3.16),使得单元位移函数在公共边界上为坐标的二次函数,且由结点2,5,3确定的二次函数是唯一的。同理单元②的位移函数在公共边界亦为由结点2,5,3唯一确定的二次函数,于是,在弹性体变形过程中相邻单元公共边界上位移始终保持协调,因此,由式(3.16)所确定位移函数的单元为完备协调单元。
(2)构造形函数
利用形函数的性质直接构造单元插值函数。
单元位移插值函数为

图3.4 相邻单元的连续性

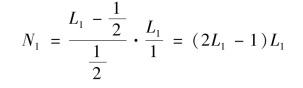
分别考察N1和N4的构造。
根据形函数性质(1)(见2.2.3节),设
(https://www.daowen.com)
如图3.3所示,式中包含了通过结点4,6的直线方程
与通过结点2,5,3的直线方程L1=0,因而,
。由
,得到c=2。代入上式可得


可以证明,式(3.18)满足根据形函数性质(2),即
![]()
为叙述方便,形象地将上述直接构造单元形函数的方法称为划线法。实际上,可以利用划线法可直接构造3结点三角形单元(一次单元)的形函数,即
![]()
结果与式(2.11)完全相同。
(3)单元刚度矩阵
单元基本方程应用最小势能原理建立,其过程与第2.2.6节讨论完全相同。由式(2.37)有
![]()
由于形函数Ni是面积坐标L1,L2,L3的函数,单元刚度矩阵k参照式(2.38)应写作
![]()
式(3.19)的计算参照面积坐标积分公式(3.10)。
(4)单元等效结点荷载
单元等效结点荷载可参照(2.45)写作

式(3.20)可按照面积坐标积分公式(3.10)和式(3.11)计算。
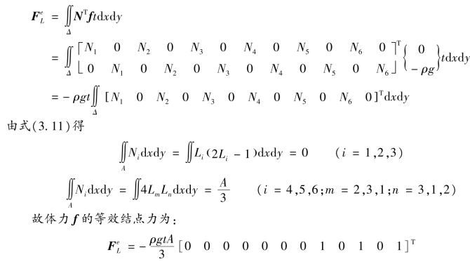
【例3.1】 均质平板,厚度为t,容重ρg,重力作用方向沿y轴负方向。试求6结点三角形单元的等效结点力。
【解】 将体力

代入式(3.20)中体积力等效结点力公式,得:

可以看出,6结点三角形单元承受自重荷载时,只需向3个边中结点各移置单元自重的
,3个角结点上等效结点力为零。该结果与静力等效结果有所不同。
整体结构分析的方法与过程在第2.3节已做详细介绍,这里不再赘述。