▶8.2.3 局部坐标的方向余弦
如上节所述,为了建立结点平衡方程,需要用到各单元局部坐标的方向余弦矩阵λ,见式(8.11)。

图8.7 三角形单元的局部坐标
如图8.7所示的三角形单元ijm,3个结点的整体坐标为
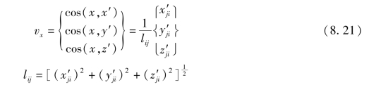
。今取结点i为局部坐标的原点,ij边为x轴,y轴在单元平面内并垂直于ij边,z轴垂直于单元平面。如果把ij边作为一个矢量Vij,可用该矢量在整体坐标系中的3个分量表示为

其中![]()
用该矢量的长度除它的3个分量,即得到该矢量的方向余弦,也就是局部坐标x轴在整体坐标系中的方向余弦,从而得到一个单位矢量如下:

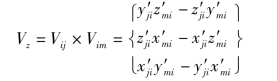
z轴是垂直于三角形平面的,利用2个矢量的矢积垂直于2个矢量所在平面的性质,可得到垂直于三角形平面的矢量Vz如下:

由于矢量Vz的长度等于△ijm面积的2倍,即

故z轴的方向余弦为

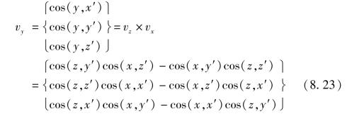
同理可求得y轴的方向余弦,由于y轴垂直于xz平面,因此单位矢量vz和vx的矢积等于y轴方向的单位矢量,即

由于vy的长度等于1,所以不必再除以它的长度了。至此,局部坐标的方向余弦矩阵λ的全部元素都求出来了。
在上面的计算中,我们规定局部坐标的x轴沿着单元的ij边,当然这并非唯一的办法。也可采用其他办法来规定局部坐标系。例如,在水坝、冷却塔、油库等壳体计算中,为了便于整理成果,最好把整体坐标系的x'y'面放在水平面内,并使局部坐标系的x轴平行于x'y'面。局部坐标的z轴仍垂直于三角形平面,故首先可用式(8.22)计算z轴的方向余弦。其次,由于局部坐标的x轴垂直于z'轴,所以x轴的方向余弦是(https://www.daowen.com)

由于各个方向余弦的平方之和等于1,故
![]()
另外,vx与vz的标乘积应等于零,即
![]()
由以上两个方程求解,可以解出cos(x,x')和cos(x,y'),从而可得到vx。求得vx和vz后,再由式(8.23)可求出vy。
对于矩形单元,其应用范围只限于柱面或箱形薄壳,而且壳的边界必须平行或垂直于柱面的母线方向,因此,可以将整体坐标系的x'轴放在柱面的母线方向,并使各个单元局部坐标系的x轴平行于x'轴,如图8.8所示。

图8.8 矩形单元的局部坐标
显然,x轴的方向余弦是
![]()
由于y轴平行于pi边,由结点p和i在整体坐标系中的坐标,可计算y轴的方向余弦如下:

其中lpi是pi边的长度,即
![]()
同样,可求得z轴的方向余弦如下:
