▶3.2.1 面积坐标
2026年01月14日
▶3.2.1 面积坐标
为便于用简化计算,根据三角形几何特性,引入自然坐标系,即面积坐标L1,L2,L3。
单元任意点P(x,y)的位置可用如下3个比值来确定

式中 A——三角形单元的面积;
A1,A2,A3——分别代表△P23、△P31、△P12的面积(图3.2)。
L1,L2,L3表示P点位置的面积坐标,按照逆时针排序。由于
![]()
因此
![]()
式(3.2)表明,这些坐标并不是完全独立的,L1,L2,L3中只有两个线性独立的坐标。

图3.2 面积坐标
不难看出,3个顶点的面积坐标分别为(1,0,0),(0,1,0),(0,0,1),L1在平行于对边23的直线上(1,2,3轮换),所有各点均具有相同的坐标值,即L1=常数。特别地,在对边23上,L1=0(1,2,3轮换)。
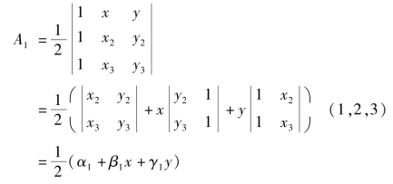
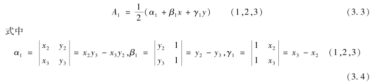
由图3.2,△P23的面积为

同理可得A2,A3。
统一记作(https://www.daowen.com)

代入式(3.1),可得到用直角坐标表示面积坐标的关系式
![]()
式(3.5)写成矩阵式为

将式(3.6)中的三式分别乘以x1,x2,x3和y1,y2,y3,然后相加,并利用式(3.2),便得到用面积坐标表示直角坐标的公式

将式(3.7)与式(3.2)合并,写成矩阵式

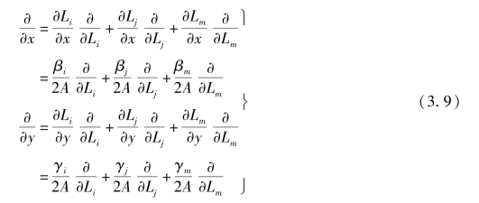
针对面积坐标的微分运算,可以采用复合函数求导法则

面积坐标的积分运算,可采用下列积分公式
![]()
面积坐标在三角形某一边上的积分时,可采用下列积分公式

应用面积坐标可较为简单地构造高阶三角形单元的形函数。