▶3.2.3 10结点三角形单元(三次单元)
(1)单元位移模式及其收敛性
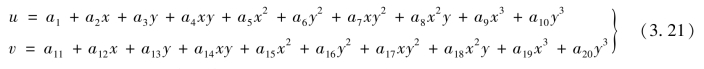
参照Pascal三角形,三次三角形单元位移模式设为完全3次多项式:

式中,u,v各有10个待定参数,按照前述分析,单元应当设置10个结点。除三角形3个角点外,考虑到相邻单元位移函数的协调性及关于坐标的对称性,在3条边的1/3长度处各设置一个结点,最后在形心处设置一个结点,该结点为内结点,如图3.5所示。

图3.5 10结点三角形单元
单元位移列阵为

式中

单元结点力列阵为

式中

单元位移为三次函数,在边界上其位移变化形态为三次曲线,而由边界上4个结点所确定的三次曲线是唯一的,因此,可以保持相邻单元在公共边界位移的协调性。10结点三角形单元为完备协调元。
(2)构造形函数
单元位移插值函数为

按前述划线法,可直接构造其形函数。(https://www.daowen.com)

(3)内结点聚缩过程
结点10为内结点,并不传递单元之间相互作用,在单元刚度矩阵中,可以消去,成为9结点18自由度单元,单元刚度矩阵的阶次也相应减为18×18。这一过程称为聚缩过程。
首先将刚度方程写成分块形式

式中
为单元的边界结点位移列阵;
为相应的结点力列阵;
δb=δ10为拟消去的内部结点位移列阵;
为相应的结点力列阵。
将式(3.26)展开,得到:

式(3.32)中kabT表示由于单元内部结点位移δb而产生的对单元刚度矩阵的修正,kabc代表由内部结点传递至单元结点的荷载。
在实际运算中,可以采用高斯消元法消去δb,从而避免矩阵求逆的复杂运算。上述内结点位移消去法也同样适用于由若干个单元组成的复杂单元,只需将复杂单元的结点位移按边界结点位移δa和内部结点位移δb重新排列即可。
单元刚度矩阵和单元等效荷载的计算可参照式(3.19)和式(3.20)。

图3.6 悬臂梁挠度计算
在图3.6中表示了采用3种不同的三角形单元计算悬臂梁在集中荷载作用下的挠度。3种计算网格具有相同的结点数目。
根据位移解法的下限性质,计算的挠度是低于真实值的,因此算出的位移越大,精度越高。由图3.6可见,9结点三角形单元给出最好的结果。6结点三角形单元次之;而3结点等应变三角形单元给出的结果则较差。