▶2.3.1 采用结点平衡建立整体结构分析方程
2026年01月14日
▶2.3.1 采用结点平衡建立整体结构分析方程
为说明整体结构各单元之间、单元与荷载、约束之间的关系,以结点6为例,分析其结点平衡。图2.14为结点6的受力关系图。

图2.14 结点6受力关系图
结点6荷载子列阵为

暂不考虑边界约束,则
![]()
式中
——作用于结点6的结点荷载(集中力);
——上标n表示单元编号,下标i表示单元结点编号,为单元n产生于结点6的等效结点荷载,由式(2.45)计算。
考虑结点6的平衡,则得
![]()
由式(2.40),单元基本方程可表示为
(https://www.daowen.com)
将各单元结点力代入式(2.47),得

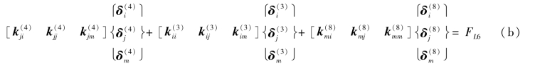
根据表2.1整体结点编码和单元结点编码的对应关系,将各单元结点编码转为整体结点编码,即引入整体结点位移,可以得到

将左端各项进行扩充,则式(c)可写成

为对应于整体结点的包含2×2个元素的子块。
同理,对于其他各结点,均可列出类似的平衡方程。将其全部集合起来,可得到整体结构分析方程
![]()
式中 K——整体刚度矩阵,简称总刚;
δ——整体结点位移列阵;
FL——整体结点荷载列阵。
一般情况下,对于平面问题,若整体结构具有n个结点,则总刚K为n×n个子块,2n×2n阶矩阵。