投资收益及收益率计算
投资收益在正常情况下,来自两块:一块是出让资本所有权获得的资本利得,也叫资本价差,即卖价减买价;另一块是出让资本的使用权获得的佣金收益,称为租金收益。如果我们是借钱给他人,我们获得的就是利息收益;如果我们是做股权投资,我们获得的就是股息红利。
在经济生活当中,我们经常面临着收益率的计算问题。例如我们在投资决策时首要考虑的是这个项目会给我们带来多大的回报。由此可见收益率的计算是非常重要的。本节主要介绍收益率的计算。
收益率的计算有两种方法:第一种是收益比成本法,收益率等于当期的利息或是股息红利收入加上资本利得收入除以最初的投资额。第二种是现金流贴现推导法,即未来所有现金流的现值等于我们的期初投入,使这个等式成立的贴现率即为收益率。
为了理解这两种方法,我们来看一个例子。
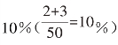
假如有一只股票每年支付股利2元,股票的当前市值为50元,假设投资者现在购买了它,并在期末获得2元股利,然后以53元卖掉它,那么他的收益率是多少呢?
方法一:根据收益比成本的方法,我们可以得到当期的收益有两部分。一部分是2元股利,另一部分是资本利得3元,所以投资收益一共5元,成本50元,两者相比得到收益率为
。
方法二:根据贴现推导法,我们可知未来的流入现金有两部分,一部分是年底收到的2元股利,另一部分是我们卖掉这一股获得的53元,所以期末我们一共流入的现金有55元。将这部分现金折现,应该等于我们期初花了50元的成本。通过计算我们可以得到收益率k为10%。

这个例子中两种方法计算的结果是一样的,那么这两种方法有什么不同的地方吗?我们将这个例子延伸一下,还是这只股票,股利依然是2元每股,假设第一年年初购买了一股市值为50元,第二年年初又购买了一股,市值已经上升到了53元,投资人将这两股都持有到了年末,然后以54元卖掉它,这个时候投资者的收益率是多少呢?它的计算比前面要复杂,因为在这个案例当中,我们的投资期限已经不是单一的期限了,其中一股持有一年,另一股持有两年,另外它的投资资金也不是封闭的,有流入,有流出。(https://www.daowen.com)
在这种情形下计算收益率的时候,一般有两种方法:一种根据资金的不同,用资金加权收益率法,我们计算出持有期间内所有的流入资金和流出资金,将它们分别贴现,使得流入资金现值等于流出资金现值,这样计算出来的收益率就是资金加权收益率。另一种方法是考虑到时间因素,采用时间加权收益率法。一般采用收益比成本法,分别计算各个年份的收益率并将这些年份的收益率平均,根据平均方法的不同,有几何平均法和算术平均法。
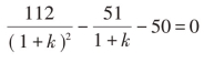
我们再回到刚刚的例子,按资金加权收益率法计算,我们需要算出各个时期的流入、流出资金,先看流出资金,在期初我们花了50元购买了一股,这是不用贴现的。一年之后,我们又花了53元购买了一股,应该按一年折现。再看流入资金,在第一年末,我们收到持有一股的股利2元,按一年折现。第二年年末,我们持有了2股,收到股利4元,并按54元每股全部卖出,这部分资金我们应该按2年贴现。具体如图1-1所示。

图1-1 资金加权收益率计算示意
,计算可得=7.12%。所有的流入现值等于流出现值,得到收益率为7.12%。
按照时间加权收益率法计算,我们应分别计算每一年的收益率。第一年我们获得的收益为股利2元,加上资本利得3元,比上成本50元,得到收益率为10%。第二年,我们获得的收益为股利依然2元,资本利得只有1元,比上成本53元,得到收益率为5.66%,如图1-2所示。将这两个收益率平均,按照算术平均法(10%+5.66%)÷2=7.83%,得到算术平均收益率为7.83%。按几何平均法
,得到几何平均收益率为7.81%。

图1-2 时间加权收益率法计算示意
现在,我们将这几种收益率进行比较,可以看到,在这个例题中,资金加权收益率法比时间加权收益率法计算出的收益率更低,这是因为我们在收益率比较低的年份资金权重大。一般基金公司在考核基金经理人时常常采用时间加权平均法,而项目经理人在评价项目收益率时会采用资金加权收益率法。