行为金融决策模型
1.DHS模型
DHS模型认为过度自信的投资者会高估自身私有信息准确性,进而引发股票价格的序列负相关,即反转效应。露西阿科特为我们提供了一个DHS模型的精简版本。假设世界上有两类投资者:一是风险中性的知情投资者,他们拥有关于证券价值的私有信息,但这类投资者存在过度自信问题,即高估他们的私有信息的准确性;二是不具有私有信息,但对信息的理解是无偏的,他们是价格的接受方。
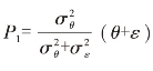
首先,我们假设在t=0期时市场处于均衡;在t=1期出现一个私人噪声信号(我们可以认为是知情投资者通过分析得到了关于证券真实价值的部分信息);t=2期人们正式得知证券的真实价值。在t=1期私人信号完整的表达式为
![]()
式中,θ均值为零,
代表证券真实价值变动的方差。ε是噪声项,均值为零,方差为
,所以真实价值只能被部分观察到。在这里,过度自信是指知情交易者高估了自身私人信息的准确性,推断时假定噪声项的方差为
而非
,并且有
。因为我们假设交易者均为风险中性,那么在t=1期的价格即为已知信号为S1时随机变量θ的条件期望值。在t=2期,证券的真实价值体现为价格。
考察在t=1期的证券价格,关键是把真实价值信息从噪声中分离。显然,若
相对于
较小,那么有理由认为信号主要反映的是真实价格的变动,相反,若
相对于
较大,那么信号则主要为噪声。前者情况下应以S1为参考调整估值,而后者情况下估值则不应该变化太多。更正的表达式可写为:

式中,P1为t=1期证券的价格。在另一方面,过度自信的投资者认为自己的信号误差小于实际值,鉴于此,其对t=1期的证券估值为

由于
,故
,比之理性情况下,价格被信号S1过度影响。(https://www.daowen.com)
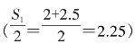
图12-3的例子说明了这对价格将产生怎样的影响。假设θ=2、
、
,我们考虑两种情况:ε=2.5(情况1)和ε=1.5(情况2)。实线是过度自信交易者决定的价格路径。虚线则是当不存在过度自信交易者时的价格路径。

图12-3 基于DHS模型的模拟
首先情况1,即使是理性条件下的价格也高于均衡价格,为2.25。这是因为
,那么根据
认为信号的一半为真实信息
是合理的。然而过度自信的投资者认为S1的更大一部分为真实信息,由此给出了更高的价格。再考虑情况2,此时理性价格略低于均衡价格,为1.75。我们要注意到,当信号的一半为真实信息,另一半为噪声,也即通常情况下的情形时,理性价格将会迅速实现为均衡价格。在情况2下过度自信投资者的价格依然反应过度,将价格推高至2.33。当噪声相对于真实信息足够小时,即使是过度自信的投资者依然会得出低于均衡价格的价格。但一般而言,他们将反应过度,使得之后的反转成为必然。
2.BSV模型
BSV模型(Barberis,Shleffer&Vishny)认为,人们进行投资决策时存在两种偏差:其一是代表性偏差(representative),人们通常不考虑样本规模,理所当然地认为小样本可以像大样本一样代表总体;另一种是保守主义偏差(conservatism),即投资者对最近出现的事件反应太慢。这两种偏差的相互作用常常导致投资者产生两种错误决策:反应不足(Under Reaction)和过度反应(Over Reaction)。由于收益变化是随机的,上述两种偏差使投资者会做出两种错误的判断:一是投资者认为收益变化是一种暂时现象,未能及时调整自身对未来收益的预期,即反应不足;二是投资者认为近期股票价格的同方向变化反映公司收益的变化是趋势性的,并对这一趋势进行外推,导致过度反应。
BSV模型是从这两种偏差出发,解释投资者决策模型是如何导致市场价格变化偏离效率市场假说的。当公司出现利好消息时,保守主义使得投资者对新消息反应不足,导致一定的价格趋势,而代表性偏差会使得这样的趋势在未来得以延续。而在长期,随着价格趋势的不断延续,投资者会意识到公司估值过高,错误定价得到纠正,进而出现反转。所以法玛(Fama)认为DHS模型和BSV模型虽然建立在不同的行为前提基础上,但二者的结论是相似的。
3.HS模型
HS模型(Hong&Stein)区别于BSV和DHS模型之处在于:它把研究重点放在不同作用者的作用机制,而不是作用者的认知偏差。该模型把作用者分为“观察消息者”和“动量交易者”两类。观察消息者根据获得的关于未来价值的信息预测股票价格,其局限是完全不依赖于当前或过去的价格;“动量交易者”则完全依赖于过去的价格变化,其局限是他们的预测必须是过去价格历史的简单函数。在上述假设下,HS模型将反应不足和过度反应统一归结为关于基本价值信息的逐渐扩散,而不包括其他的对投资者情感刺激和流动性交易的需要。HS模型认为最初“观察消息者”对私人信息有反应不足的倾向,之后“动量交易者”力图通过套期策略来利用这一点,而这样做的结果恰好走向了另一个极端——过度反应。