阅读栏/本章小结/复习思考
第十二章 行为金融
行为金融学是金融学、心理学、行为学和社会学等学科相交叉的边缘学科,它以金融市场中投资者的事实行为为基础,力图解释金融市场的异象和投资者非理性行为的决策机制。
传统金融理论认为投资者是理性的,具有风险厌恶的特质,且依据效用最大化原则进行投资活动。在此基础上,传统金融理论进一步提出有效市场假说,即证券价格能反映所有投资者可获得的信息。然而,随着金融市场上各种异常现象的累积以及心理学等相关科学的发展,传统的“理性人”假定以及有效市场假说已经无法解释现实中人的投资行为与金融市场的异象。越来越多的研究人员开始尝试从实验心理学的角度来研究人的经济与金融行为,试图借此修正传统金融理论的假设。在这样的背景下,行为金融学(Behavioral Finance)开始悄然兴起。
与传统金融理论不同,行为金融学否定了“理性人”的假定,认为人是“有限理性”的。即个人在做决策时,无法如“理性人”那样对所有可能发生的事件及其发生概率做详尽分析,且个人常常在不能充分了解自己所面临的情况下,以认知的偏差、经验法则或直觉作为决策依据,进而使得决策存在情绪偏离(Emotional Bias)和认知偏差(Cognitive Bias)。从传统金融的“理性人”视角来看,这样的决策结果可能是次优的,会使得金融市场短暂的甚至长期偏离有效状态。在本章的后续章节中,我们将首先介绍行为金融学对传统金融理论所提出的挑战。其次,基于行为金融学的视角,揭示解释金融市场异象产生的原因。最后,介绍当前最主要的行为金融理论模型。
第一节 对传统金融的挑战
基于现实中观察到的个人的行为,行为金融学开始挑战传统金融理论的假设。传统金融理论对个人行为的假设有时并不与现实中观察到的个人行为相一致。投资者不一定做出符合效用理论的决策,也不一定根据贝叶斯公式改变其对未来的期望。他们的行为可能是不利己的,也可能会追逐风险。此外,投资者无法得到完美的信息,且无法处理所有获得的信息。
行为金融学并不认为个体是完全理性的,反而尝试在个体投资者的投资行为中识别和学习人类心理现象。这类心理现象在影响个体投资者的投资行为的同时,可能反过来影响金融市场。与传统金融一样,行为金融学也以观察到的投资者行为的基本定律和假设为指导,但并不理想化投资者行为。
一、有限理性
自从“理性人”被引入经济学以来,它的有效性已成为经济学中最具争议的问题之一。反对“理性人”假定的学者通过攻击完美信息、完美理性和完全自利的这3个基本假设来挑战“理性人”。凯恩斯(Keynes)认为人们在做决定时存在固有的局限性。于是,行为金融学提出了有限理性,它是完美信息和完全理性的替代方案。有限理性假设个人的选择是理性的,但选择局限于他们个人的知识和认知能力。有限理性研究人们的决策方式,认为最终的决策是由决策过程本身决定的。
西蒙(Simon)提出了有限理性的概念,他意识到人们做决策时并不是完全理性的,而是基于“满足”(Satisfice,定义见下文)而非最优化以达成决策。在做决策时,人们在信息、智力和计算方面存在限制。即使使用计算机增强个人的能力,人类仍不能完全了解信息,并做出理性的决策。西蒙引入了“有限理性”和“满足”这些术语来描述这样的现象。即人们收集一些(但不是全部)可获得的信息,使用启发法简化信息处理过程,并在做出满意的而非最优的决定时停止继续处理信息。与根据预期效用理论做出决策的“理性人”相反,现实中的投资者,收集他们认为足够的信息,以他们认为足够有效的方式处理信息,他们满足于有限的次优目标,而非试图达成效用的最优化。当他们获得令他们满意的决策结果时,他们将停止继续处理信息,放弃进一步优化决策结果的可能性。
“满足”(Satisfice)这一词语结合了“满意”(satisfy)和“足够”(suffice),指的是决策、行为和结果可能不是最优的,但它们是足够好的。在现实中若要达成“满足”,须在决策过程中找到一个解决方案,该方案要符合当前的状况,且能达成决策者的目标。最优化需要找到最好的或最优的解决方案,而“满足”只需找到一个可接受的解决方案。最优解决方案使得效用在当前情况下最大化。然而,个人缺乏达成最优解决方案的认知资源。例如,个体通常不知道潜在结果的相关概率,很少能识别或评估所有可能的结果,并且具有较差的和不可靠的记忆。
决策者之所以选择“满足”而非最优解决方案,是因为寻找最优解所花费的成本和时间可能非常高。在这样的条件下,“满足”为决策过程提供了停止规则,减少了决策者所花费的成本和时间。决策者使用“满足”的另一个原因是,即使成本因素不是障碍,人们可以持续地详尽评估替代策略,他们仍然需要找到新的替代策略和这些策略的预期结果。因此,搜寻最佳结果常常会变得特别复杂和耗时,使得它最终并不可行。西蒙的研究表明,消费者、雇员和商人通常追求“满足”而非最优化,而其原因则是有限理性。个人无法找到所有可能的替代策略,评估每个替代策略产生的每个可能结果的概率,且无法对每个替代策略使用一致的效用函数。
人们仅仅关注那些能够满足他们需求的策略,并以他们的需求建立约束条件,而非研究每一个替代策略。以这种方式得到的结果不是可接受的最差结果,而是令人满意的可接受结果。西蒙将这些约束称为期望准位(aspiration levels)。人们根据经验以及与其他个人取得的成果进行比较以设定期望准位。人们往往渴望一个比过去更好的未来。当期望达成时,人们倾向于调高期望;当期望没有达成时,人们往往会调低期望。
当决策者寻找问题的解决策略时,可能使用启发法来引导解决策略的搜索。尽管使用启发法可能简化策略的搜索,但也可能导致某些策略被遗忘。启发法更多地使用增量策略,而不是采用整体方法。启发法的一个典型例子是策略与目的分析(means-ends analysis),决策者处于当前状态,并决定目标状态。决策者逐步走近目标,而不是寻找策略以整体实现目标。决策者逐渐做出决定,直到实现目标:第一个决定是为了更接近目标一步,下一个决定能更接近目标,并继续做出决策,直到达到目标状态。另一个例子是分治算法程序(divide and conquer procedure),在该程序中,问题被分解成各个子问题。在这种情况下,决策者不是试图寻找方案来整体解决问题,而是试图为每个子问题找到令人满意的解决方案。
一个公认的决策原则是只考虑最重要的问题。在评价解决策略时,投资者需要了解当前的经济和政治环境,需要深入了解商人、政府官员和其他投资者的期望水平和基于启发法的“满足”度。投资者很少能使用最优化的方法来找到最好的投资组合。替代策略几乎是无限多的,且准确地预估每个替代策略的结果不仅非常困难,而且花费的成本和时间都过大。因为投资者的能力是有限的,他们在有限理性的框架下进行投资决策。因此,投资组合的决策仅仅考虑有限的因素,例如,对最终目标有重大影响的经济指标。当替代策略有限时,一个人可以投入更多的时间来评估最可能出现的结果,以帮助他们做出能够达成投资目标的决策。
当决策者的行为违反某些被普遍认同的理性行为规则,但仍像理性人一样追逐一系列适当的目标时,我们认为他是有限理性的。一个有限理性的例子是:小豆有多余的钱,她可以存款赚取利息。此外,她想要她的资金安全有保障,所以她去了离她工作场所最近的银行。这家银行的利率看起来是可以接受的,因此,她在确定这家银行的存款有政府保险之后在该银行存款。小豆的行为与理性人一致吗?
答案是不一致的。小豆的行为显示出了有限理性和“满足”。银行利率是足够多,且满足政府保险的条件,所以她接受了。小豆没有研究所有可能的其他选项,且拥有的信息是不完美的(有限理性)。因此,我们没有理由期望小豆的存款利率是最优的。
二、前景理论
前景理论(Prospect Theory)修正了传统金融理论中对理性的风险厌恶型投资者的描述。在传统金融理论中,投资的财富越多,效用也就越高。随着个人财富的不断增加,投资者效用的增速是递减的。即随着财富的增加,效用曲线变得越来越平坦,详见图12-1A。图12-1B是前景理论的效用函数,与图12-1A不同,前景理论的效用函数取决于财富水平的变化量。
当财富的变化量为正时,即当面对利得时,前景理论的效用函数是凹函数,每增加一个单位的利得,其增加的效用也低于前一单位利得所增加的效用。这意味着当面对利得的时候,投资者是风险厌恶者。而当财富的变化量为负时,即当面对损失时,前景理论的效用是凸函数,这表明投资者每增加一单位的损失,其失去的效用低于前一单位损失所降低的效用。这意味着在面对损失的时候,投资者是风险追求者而非风险厌恶者。

图12-1 传统的效用函数及前景理论的效用函数
第二节 行为金融对市场异象的解释
传统金融理论假定,在金融市场上,价格反映了所有已知的信息,而满足这样的假定金融市场被认为是有效市场。然而,在现实金融市场中,有限理性的市场参与者虽然试图以理性的方式判断市场方向并进行投资,但仍会受到各种心理因素的干扰,造成行为偏差,使得市场上出现大量难以用传统理性模型解释的市场异象。这类异象主要有3类:一是基本面异象(fundamental anomalies),包括股票溢价与股价波动之谜等;二是日历异象(calendar anomalies),包括1月效应、交易周的日效应等。三是技术异象(technical anomalies),包括短期动量效应和长期反转效应等。
一、基本面异象
基本面异象指的是当人们基于公司的基本面,分析公司股价的未来表现时所发现的反常现象。股票溢价之谜和股票市场波动之谜是学者们最早在对美国股票市场的研究中发现的较知名的基本面异象。
股票溢价之谜(equity premium puzzle)是指股票市场的总体历史收益率水平高出无风险收益率(同期国债收益率)的部分很难由投资者的资产定价模型来解释。麦诺和普雷斯科特(Mehra&Prescott)的研究结果显示,从美国股票市场的历史数据来看,股票回报率比长期国债回报率平均高7%左右。同样地,坎贝尔和科克伦(Campell&Cochrane)在另一项研究也得出了类似的结果,他们使用1871至1993的年度数据,发现标准普尔500指数的收益率比短期商业票据的收益率高3.9%。
西格尔(Siegel)的研究显示,在1802年持有1美元,到2006年年底,若投资股票,你可以获得1270万美元;若投资长期债券你可以获得18235美元;若投资短期债券,你可以获得5061美元;若投资黄金,你可以获得32.84美元;若投资一般商品,你可以获得16.84美元(见图12-2)。由此可见,股票市场的收益水平远远超过了其他资产。传统金融理论试图用“灾难理论”(Reitz)和“幸存偏差理论”(Brown,Goetzmann & Ross)和“习惯理论”(Constantinides)来解释股票溢价之谜,但束缚于传统金融理论的框架,以上理论都存在缺陷,直到行为金融学出现。

图12-2 1801—2001年美国市场工具的历史数据
数据来源:Siegel,J.J.Stocks For The Long Run Fourth Edition
本纳兹和塞勒(Benartzi&Thaler)利用期望理论来解释股票的高溢价现象。他们假定投资者是“损失厌恶”(Loss Aversion)的。即当投资者面临同等数量的损失和收益时,损失所带来的效用减少大大超过了收益所带来的效用增加。同时他们假定投资者会频繁评价投资组合的绩效,这将使他们更多地感受到损失的发生,从而加速他们的效用下降水平。本纳兹和塞勒将损失厌恶和频繁评价结合在一起,称之为“短视性风险厌恶”。
投资者的短视性风险厌恶使得投资者在股价的波动中获得的效用损失远远超过了效用的增加。因此投资者对于财富大幅缩水的恐惧使得他们要求较高的风险溢价作为补偿,且评价越频繁,要求的风险溢价越高。
股价波动之谜(volatility puzzle)是指证券价格(包括股票价格和债券价格)的波动明显过大,远远大于由有效市场理论所预测的内在价值(未来收益的现值)的波动。统计数据显示,美国股票的实际年收益率的标准差是15.5%,而红利的实际增长率的标准差只有6%。这意味着股价波动之大不能仅由红利的变动来解释。
行为金融利用小数定律、过度自信和赌场资金效用等理论来解释股价波动之谜。基于小数定律的理论认为,当股利出现大幅度增长时,小数定律使得投资者过快地相信股利的平均增长率提高了,这使得股价相对于股息增加得更快,从而加剧了收益的波动性;基于过度自信的理论认为,投资者的投资决策更多地依赖于私有信息而非公共信息,且投资者会对私人信息过度自信,而低估了理性交易者通过交易向市场发出的公共信息,这也可能导致股价过度波动。
二、日历异象
日历异象是指金融市场与日期相联系的非正常收益,主要包括1月效应和周效应等。罗瑟夫和肯尼(Rozeff and Kinney)发现美国股票市场中存在1月效应,即在1月份股票市场的平均收益率显著高于其他月份的收益率。罗瑟夫和肯尼运用方差分析技术,计算了纽约证券交易所市场指数在1924年至1974年的月收益率,结果发现1月份股票市场指数平均收益率是3.48%,而其他月份的平均收益率只有0.68%,这样的差别是极为显著的。此后,大批学者还对美国以外的股市进行了实证检验,发现东京证券交易所也存在着1月效应。表12-1是纽约交易所和东京交易所的1月效应的比较。从表12-1也可以发现,东京交易所也存在着显著的1月效应。
表12-1 证券交易的1月效应

数据来源:戴军、股市效应的国际实证研究。中国证券报,2001-10-9
周效应最早是由凯利(Kelly)发现的,指的是在交易周的周一,收益率大大低于其他交易日。随后,其他学者如克罗斯(Cross)、凯姆和斯坦博(Keim&Stambaugh)均证实美国股市存在周效应。戴军对纽约证券交易所和东京证券交易所的交易日平均收益做了比较,研究证实了纽约证券交易所和东京证券交易所的周效应,如表12-2所示。
表12-2 证券交易的周效应

数据来源:戴军、股市效应的国际实证研究。中国证券报,2001-10-9
行为金融学认为投资者的情绪是造成日历效应的主要因素。1月效应的产生是因为人们把年末当作结算时间,而把新年视为新的开始,他们倾向于在新旧之交时改变他们的行为模式。同时行为金融的研究发现,人们通常在周五以及假日之前的情绪比较高,而在周一的情绪比较低,这就解释了为什么周一的股价会下跌。当然,不可否认的是,日历效应产生的原因是多方面的,更加深入和细致的研究有待行为金融学进一步的挖掘。
三、技术异象
技术异象指的是当人们研究公司过去的历史价格和历史交易中所发现的反常现象。短期的动量效应和长期的反转效应是两种最为典型的技术异象。
动量效应(Momentum Effect)是指股票价格变化表现出具有向同一方向波动的持续性。杰加地西和蒂特曼(Jegadeesh & Titman)的实证研究显示,过去3~12个月表现好或差的股票在接下来的3~12个月内继续表现好或差。利用这一现象的动量交易策略(即买入赢者、卖空输者)在美国和大多数成熟市场中都能获得持续的异常收益(也称动量收益)。
长期反转效应(Long-term Reversal)是指在某期间表现较差的股票在随后一段时间内将会出现大幅度的反向势头,而在当期表现较好的股票会在接下来一段时间内表现变差。德·邦德和塞勒(De Bondt & Thaler)比较了两组公司股票的收益率情况,一组由亏损最严重的公司股票组成,另一组由盈利最多的公司股票组成。他们从1933年开始算起,把前3年表现最好的公司和最差的公司分别编组,各自作为一个投资组合。然后,考察此后5年间投资于这两个组合所得到的收益情况,经验统计结果显示,投资于最差公司的股票组合的收益率要显著优于投资于最好公司的股票组合。
动量效应和长期反转效应的存在不仅证明证券市场不是有效的,还在一定程度上告诉投资者:基于股票的历史价格信息是能够预测未来股票价格的大致走向的。对于动量效应与长期反转效应,传统金融理论认为这是由于股票价格对于某一信息有了过度反应,使得短期和中期出现了动量效应;然而从长期来看,过度反应终将被纠正,使得在长期收益率序列之间存在负相关。此外,传统金融理论试图将动量效应、长期反转效应与风险溢价的变化联系起来。当市场风险溢价发生变化时,投资者需要找到准确的风险溢价,动量效应与长期反转效应不过是投资者在寻找风险溢价的过程中,股价的正常反应而已。尽管如此,传统金融理论仍没有给出动量效应和长期反转效应的令人信服的解释。
对此,行为金融学从投资者的心态特征出发,提出了DHS模型(Daniel,Hirshleifer &Subrahmanyam)、BSV模型(Barberis,shleifer & Vishny)和HS模型(Hong & Stein),较好地解释了动量效应和长期反转效应。我们将在第三节的行为金融理论模型中进一步阐述。
第三节 行为金融理论模型
早期的行为金融学研究侧重于批判传统金融学理论假设的不足。在动摇了传统经济学的理论基础之后,行为金融学提出了修正的理论假设,并借鉴传统的经济学分析工具,构建行为金融理论模型。行为金融学从投资者的心态特征出发,提出了DHS模型、BSV模型和HS模型等行为金融决策模型。此外,在有限理性的假定下,行为金融学引入心理学的研究成果,对传统金融理论中的资产组合理论和资本资产定价模型进行了修正,相应地提出了行为资产定价模型(BAPM)和行为资产组合理论(BPT)。
一、行为金融决策模型
1.DHS模型
DHS模型认为过度自信的投资者会高估自身私有信息准确性,进而引发股票价格的序列负相关,即反转效应。露西阿科特为我们提供了一个DHS模型的精简版本。假设世界上有两类投资者:一是风险中性的知情投资者,他们拥有关于证券价值的私有信息,但这类投资者存在过度自信问题,即高估他们的私有信息的准确性;二是不具有私有信息,但对信息的理解是无偏的,他们是价格的接受方。
首先,我们假设在t=0期时市场处于均衡;在t=1期出现一个私人噪声信号(我们可以认为是知情投资者通过分析得到了关于证券真实价值的部分信息);t=2期人们正式得知证券的真实价值。在t=1期私人信号完整的表达式为
![]()
式中,θ均值为零,
代表证券真实价值变动的方差。ε是噪声项,均值为零,方差为
,所以真实价值只能被部分观察到。在这里,过度自信是指知情交易者高估了自身私人信息的准确性,推断时假定噪声项的方差为
而非
,并且有
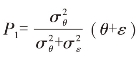
。因为我们假设交易者均为风险中性,那么在t=1期的价格即为已知信号为S1时随机变量θ的条件期望值。在t=2期,证券的真实价值体现为价格。
考察在t=1期的证券价格,关键是把真实价值信息从噪声中分离。显然,若
相对于
较小,那么有理由认为信号主要反映的是真实价格的变动,相反,若
相对于
较大,那么信号则主要为噪声。前者情况下应以S1为参考调整估值,而后者情况下估值则不应该变化太多。更正的表达式可写为:
(https://www.daowen.com)
式中,P1为t=1期证券的价格。在另一方面,过度自信的投资者认为自己的信号误差小于实际值,鉴于此,其对t=1期的证券估值为

由于
,故
,比之理性情况下,价格被信号S1过度影响。
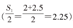
图12-3的例子说明了这对价格将产生怎样的影响。假设θ=2、
、
,我们考虑两种情况:ε=2.5(情况1)和ε=1.5(情况2)。实线是过度自信交易者决定的价格路径。虚线则是当不存在过度自信交易者时的价格路径。

图12-3 基于DHS模型的模拟
首先情况1,即使是理性条件下的价格也高于均衡价格,为2.25。这是因为
,那么根据
认为信号的一半为真实信息
是合理的。然而过度自信的投资者认为S1的更大一部分为真实信息,由此给出了更高的价格。再考虑情况2,此时理性价格略低于均衡价格,为1.75。我们要注意到,当信号的一半为真实信息,另一半为噪声,也即通常情况下的情形时,理性价格将会迅速实现为均衡价格。在情况2下过度自信投资者的价格依然反应过度,将价格推高至2.33。当噪声相对于真实信息足够小时,即使是过度自信的投资者依然会得出低于均衡价格的价格。但一般而言,他们将反应过度,使得之后的反转成为必然。
2.BSV模型
BSV模型(Barberis,Shleffer&Vishny)认为,人们进行投资决策时存在两种偏差:其一是代表性偏差(representative),人们通常不考虑样本规模,理所当然地认为小样本可以像大样本一样代表总体;另一种是保守主义偏差(conservatism),即投资者对最近出现的事件反应太慢。这两种偏差的相互作用常常导致投资者产生两种错误决策:反应不足(Under Reaction)和过度反应(Over Reaction)。由于收益变化是随机的,上述两种偏差使投资者会做出两种错误的判断:一是投资者认为收益变化是一种暂时现象,未能及时调整自身对未来收益的预期,即反应不足;二是投资者认为近期股票价格的同方向变化反映公司收益的变化是趋势性的,并对这一趋势进行外推,导致过度反应。
BSV模型是从这两种偏差出发,解释投资者决策模型是如何导致市场价格变化偏离效率市场假说的。当公司出现利好消息时,保守主义使得投资者对新消息反应不足,导致一定的价格趋势,而代表性偏差会使得这样的趋势在未来得以延续。而在长期,随着价格趋势的不断延续,投资者会意识到公司估值过高,错误定价得到纠正,进而出现反转。所以法玛(Fama)认为DHS模型和BSV模型虽然建立在不同的行为前提基础上,但二者的结论是相似的。
3.HS模型
HS模型(Hong&Stein)区别于BSV和DHS模型之处在于:它把研究重点放在不同作用者的作用机制,而不是作用者的认知偏差。该模型把作用者分为“观察消息者”和“动量交易者”两类。观察消息者根据获得的关于未来价值的信息预测股票价格,其局限是完全不依赖于当前或过去的价格;“动量交易者”则完全依赖于过去的价格变化,其局限是他们的预测必须是过去价格历史的简单函数。在上述假设下,HS模型将反应不足和过度反应统一归结为关于基本价值信息的逐渐扩散,而不包括其他的对投资者情感刺激和流动性交易的需要。HS模型认为最初“观察消息者”对私人信息有反应不足的倾向,之后“动量交易者”力图通过套期策略来利用这一点,而这样做的结果恰好走向了另一个极端——过度反应。
二、行为资产定价模型(BAPM)
斯塔曼和谢弗林(Shefrin&Statman)提出了行为资产定价模型(Behavioral Asset Pricing Model,简称BAPM)。行为资产定价模型是对现代资本资产定价模型(Capital Asset Pricing Model,简称CAPM)的扩展。与CAPM不同,在BAPM模型中,投资者被划分为信息交易者和噪声交易者。信息交易者是“理性投资者”,他们通常支持现代金融理论的CAPM模型,不会出现认识性偏差并且具有均值方差偏好。噪声交易者通常跳出CAPM模型,易犯认知性偏差错误,没有严格的均值方差偏好。当信息交易者占据交易的主体时,市场是有效率的,而当后者占据交易的主体地位时,市场是无效率的。
资本资产定价模型认为噪音交易者的非理性行为对市场的影响可以忽略,即任何一种资产的必要报酬率可以表示为无风险报酬加上风险溢价。表示为:
![]()
式中:ri是资产i的报酬率;rf是无风险利率;rM是市场投资组合的期望收益率;βi是资产i的收益率变化对资本市场组合收益率变化的敏感指数。
行为资产定价模型仍然在均值—方差框架下,但引入前面分析的噪声交易者行为,通过一个行为市场组合,对风险进行分析,表示为:
![]()
式中:ri是资产i的报酬率;rf是无风险利率;
是行为市场组合的期望收益率;
是行为贝塔,即资产i的收益率变化对行为市场组合收益率变化的敏感指数。
从BAPM的公式中可以发现,BAPM与CAPM之间有两点重要的区别:一是BAPM采用行为贝塔代替了CAPM中的传统贝塔。由于BAPM在估计的过程中剔除了噪声交易者风险,得到了应是一个相对较低的系统性风险。因此理论上,行为贝塔小于传统贝塔。二是BAPM采用行为市场组合代替了CAPM中的传统市场组合,而行为资产组合较市场组合要人为调高成长型股票的比例。
三、行为组合模型
行为组合模型(Behavior Portfolio Theory,简称BPT)模型是由斯塔曼和谢弗林(Shefrin & Statman)在行为金融理论的研究成果和资产组合理论(APT)的基础上发展起来的。在APT模型中,投资者通常假定他们始终都是风险厌恶者,并将资产作为整体来考虑,且仅仅考虑不同证券之间的协方差。在BPT模型中,投资者具有金字塔形层状结构的资产组合,资产组合金字塔的每一层都对应着投资者的特定投资目的和风险特性(方差)。金字塔是在与安全性、潜力性和期望收益这三者相关的投资需求上构建起来的。金字塔的底部是为投资者提供安全性而设计的证券,包括货币市场基金和银行存款保证;往上一层是债券,投资者需要把某些特定的投资用于某些特定的目标,例如:使用零息债券去实现准备供养孩子上大学的目标;再上一层是股票和房地产。金字塔结构从底部到顶部是按其风险程度由低到高排序的,从右到左则是按其收入价值由低到高排序的。
谢弗林和斯塔曼认为,行为投资组合的构建要考虑5个主要因素。一是不同层的投资分配取决于投资者的目标和目标的重要性。例如,假设第一个投资者认为投资组合要有上升潜力是最重要的投资目标,而第二个投资者认为潜在损失最小化是最重要的目标,那么,对于最高上升潜力层的资金分配,第一个投资者要大于第二个投资者。二是层内的资金分配到特定资产将取决于该层设定的目标。目标越高,则该层选择的资产风险越大,投机性越强。三是层内选择的资产数量取决于投资者效用函数的形状。风险厌恶的投资者的效用函数是凹函数,这意味着财富的边际效用是递减的。效用曲线的弧度越大,投资者在该层选择的证券种类就越多。四是如果投资者认为他们拥有某些证券的私人信息,那么他的资金可能集中分配于这些证券中。五是不愿意确认损失的投资者可能持有数量更多的现金,这样他们就不必通过出售可能处于亏损状态的证券来满足流动性需求。此外,这些投资者之所以持有某些证券,可能不是因为这些证券具有增长潜力,而是因为投资者不喜欢确认损失。虽然这使得他们的投资组合看起来多样化,但实际上,从均值方差的角度来看,它们的组合可能不是有效率的。
弗里德曼和萨维奇(Friedman&Savage)认为,一个人购买保险的同时又购买彩票,是明显不合理的行为。谢弗林和斯塔曼应用行为组合模型对这类看似不合理的行为进行了解释。在行为组合理论中,投资者最大化预期财富的同时,又不想让自己的财富受到太多的损失。在这样的目标背景下,对于极小的概率才能实现的财富水平,虽然最终目标没有达成,但投资者是可以接受的。换句话说,投资者构建特定投资组合,在保证自身财富不受过大损失的同时最大化预期财富。因此,行为组合模型中的投资者的最佳投资组合是债券或无风险资产与高投机资产的组合。也就是说,行为投资组合中投资者基本上都会构建一个类似于保险和彩票的投资组合。
对于金字塔形层状结构的资产组合,在最底层,投资者通过购买债券或无风险资产以确保他的目标财富的安全;在第二层,投资者愿意用剩余财富追求风险。因此,在行为投资组合理论中,投资者的最优投资组合可能不同于基于均值方差理论的理性投资组合。
假定两个行为符合行为投资组合理论的投资者正在构建投资组合。他们的投资组合最多包含3层:第一层是无风险投资,第二层是风险适度的投资,第三层是高风险投机投资。无风险投资层(第一层)的预期回报率是1%。适度风险投资层(第二层)的预期回报率为-3%的概率是10%,预期回报率为5%的概率为80%,预期回报率为9%的概率为10%,故适度风险投资层的总体预期回报率为4.6%。投机投资层(第三层)预期回报率为-50%的概率为15%,预期回报率为12%的概率为50%,预期回报率为75%的概率为35%,故投机投资层的总体预期回报率为24.75%。
第一个投资者A有2000元,且其财富的期望水平也是2000元,概率为100%。换句话说,投资者A不会容忍任何财富损失。第二个投资者B也有2000元,其财富的期望水平是2100元,概率为80%,且投资者B不能容忍他的投资组合财富水平下降到1800元以下。基于上述描述,我们可以为每个投资者构建他们的最优行为投资组合。
鉴于投资者A无法忍受任何财富损失,A的投资组合是将100%投入无风险投资层中。投资者B的期望回报率为5%,高于适度风险投资层4.6%的总体预期回报,故在配置B的资产时主要考虑无风险投资层和投机投资层。鉴于B的安全财富水平为1800元和投机投资层的最大可能损失为50%,投资者可在第一层投入大约1568.63元,占比78.43%,在第三层投入431.37元占比为21.57%。这样的资产配置可以保证即使投资投机层发生了最严重的50%的资产损失,B的资产仍然会有1800元(1568.63×1.01+431.37×50%)。从表12-3可以发现,这一投资组合将会给投资者B带来6.12%的总体预期回报。
表12-3 投资者B的资产配置与预期回报

进一步考虑这样的资产配置能否满足投资者B要求的投资组合有80%的概率至少为2100元。结合投机投资层的投资状况,我们可以发现这个投资组合的最终价值为1800元(1568.63×1.01+431.37×50%)的概率是15%,价值为2067.45元(1568.63×1.01+431.37×1.12)的概率是50%,价值为2339.22元(1568.63×1.01+431.37×1.75)的概率是35%。尽管这样的投资组合满足了投资者B的财富安全目标,但投资组合没有达到投资者的期望财富水平。投资组合的价值有85%的概率至少为2067.45元,而不是以80%的概率至少为2100元。考虑到投资者的风险承受能力,投资者可以决定接受这样的投资组合,或者可以考虑降低他的安全财富水平。
阅读栏/本章小结/复习思考
阅读栏
噪声交易
噪声交易理论是在20世纪90年代初,由哈佛大学的德隆等人提出的,指的是市场上有大量的缺乏真正信息的“噪声交易者”(通俗说就是“散户”),这些交易者对于资产价格的估值会有一些偏差。在传统金融理论模型中,如果这些投资者的交易是独立的行为,最后都被两两抵消掉,因而不会对市场价格造成影响。可是德隆认为,真实市场上,小散户们的信息是高度相关的,甚至是相互传染的。大伙儿都攒着一股劲往一个方向交易,就形成系统性的估值偏差,最终反映在市场均衡价格中。
要是这种估值偏差是乐观的,市场价格就会持续上涨;要是悲观的,就会持续下跌。这样一来,那些有信息的投资者(比如说基金、保险等机构),即使知道这个价格是“错误”的(或者说是偏离了基本面的),在一定时段内,也一定会追涨杀跌,引起更牛的“牛市”或更熊的“熊市”。也正因为此,偏离基本面的“错误定价”可能一直存在于市场上,在相当长的一段时间内甚至会不断加深。
美国市场很多次的大动荡都验证了德隆说的“噪声交易者风险”。比如20世纪90年代末的“高科技泡沫”之后,很多机构投资者承认自己当时并不相信那些高科技公司的价格是“理性的”,但既然大家情绪高涨,那么价格就还有上涨空间,那么自己自然应该“随波逐流”——这也是华尔街常常说的“聪明资金效应”(smart money effect)。因此这些价格的“噪声”由会在市场上一波波地传下去,直到大梦初醒,泡沫破灭。同样地,2007年之前的美国次贷市场上,基金经理们心照不宣玩着击鼓传花的游戏,鼓点越来越急促响亮,所有的“聪明人”都以为自己能在鼓声戛然而止前全身而退。
现在,我们再来看看中国经济状况,2014年、2015年中国经济下滑态势明显。CPI同比增长不足2%,PPI(工业品出厂价格指数)同比增长率甚至为负值,简单地说,中国已处于通货紧缩周期无疑。同期的工业增加值、工业利润、社会零售总额,以及固定投资总额增速都处于下行通道。另一方面,从上市企业报表来看,A股上市公司平均利润也呈现下降的态势。如果我们相信股票市场的价格最终应正确反映经济基本面和企业的盈利状况,那么无论是从宏观经济指标,还是从微观企业利润,2015年年初A股市场有人高喊的“万点不是梦”的“超级大牛市”是缺乏强有力的基本面支持的。
那么问题来了。既然都知道企业盈利不佳,经济状况堪忧,短期内也很难大幅度回暖,股票市场的暴涨也就是所谓的“错误定价”了,那为什么投资者还会在年初狂热地涌进市场呢?
中国A股市场中约有70%的投资者是散户,其中有相当比例没有接受过大学教育、投资经验在一年以下,电视里“砖家”股评是他们最大的信息来源——这样就不难理解为什么狂欢的情绪特别容易在这个市场里蔓延。市场的“噪声”如此之大,理性的声音一来不容易听见,二来即使听见,又怎么样呢?如果投资者知道“噪声”或“错误定价”会持续下去,作为理性人类,他最好的选择一定是加入狂欢人群与他们一起吹泡泡。这就是“噪声交易者风险”在我国市场的体现。我国的股票市场兼有新兴和转轨两大特征,噪声交易者的影响就更为严重。
本章小结
1.行为金融理论的发展已经完成了从批评到建设的关键一步,它已不再是纯粹的批判式理论。
2.有限理性指的是人的信息收集能力、计算能力和认识能力是有限的,故在决策中追求的是“满足”而非理性的最优化。
3.在行为金融学中,前景理论替代了传统金融学的期望效用理论。在前景理论中,人们的效用取决于财富的变化量而非财富的大小。
4.有效市场的三大类异象分别是基本面异象、日历异象和技术异象,并基于行为金融的视角,对这三类异象进行了解释。
5.行为金融决策模型、行为资产定价模型和行为组合模型等是当前行为金融理论的核心模型。
6.随着时间的推移,行为金融学将越来越不能被看作金融学中一个微不足道的分支,而是会逐渐成为严肃的金融理论的中心支柱。作为现代金融学的一个新兴领域和重要研究方向,行为金融学并不是对传统金融学进行全盘否定。简单地说,二者的区别仅在于行为金融学添加了心理学的研究成果,对传统金融理论进行了修正和补充,突破了传统的最优决策模型,使对投资者的决策研究方向从“应该怎么做”转变为“实际该怎么做”,从而更加符合现实情况。
7.行为金融理论的发展仍然处于初级阶段,其主要理论和模型的出现还比较零散,尚未形成如同传统金融理论统一的理论体系。在现有理论和模型的基础上,整合和发展出一套统一的行为金融理论体系是接下来亟须解决的问题。
复习思考
名词解释
有限理性 满足 前景理论 基本面异象 股票溢价之谜
股价波动之谜 日历异象 技术异象 动量效应 长期反转效应
问答题
1.试结合现实例子说明有限理性的变现形式。
2.请利用前景理论解释为什么开赌场的总是会赚钱。
3.简述日历异象的表现及行为金融对日历异象的解释。
4.请利用代表性偏差和保守主义偏差解释动量效应和长期反转效应。
5.在DHS模型的例子的两种情况下,即使理性投资者也会在某一种情况下出现过度反应,为什么?
6.在DHS模型中,假设θ=1、σθ=1、σε=2;σc=1以及S1=2,描述并论述过度自信的投资者和理性投资者各自所决定的价格路径。