2.3.2 牛顿运动定律的应用
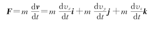
式(2.5)在直角坐标系中也可写成

即
F=ma x i+ma y j+ma z k
式(2.6)是牛顿第二定律的数学表达式,又称牛顿力学的质点动力学方程。上式为矢量式,直角坐标系下的分量式为
![]()
牛顿第二定律只适用于质点的运动,物体做平动时,物体上各质点的运动情况完全相同,所以物体的运动可看作是质点的运动,此时这个质点的质量就是整个物体的质量,以后如不特别指明,在论及物体的平动时,都是把物体当作质点来处理的。牛顿第二定律所表示的合外力与加速度之间的关系是瞬时关系,也就是说,加速度只在外力有作用时才产生,外力改变了,加速度也随之改变。
当质点在平面上做曲线运动时,我们可取图2.15所示的自然坐标系,e n为法向单位矢量,e t为切向单位矢量,于是质点在点A的加速度a在自然坐标系的两个相互垂直方向上的分矢量为a t和a n,这样质点在平面上做曲线运动时,在自然坐标系中牛顿第二定律可写成如以F t和F n代表合外力F在切向和法向的分矢量,则有


其中,F t叫作切向力,F n叫作法向力(或向心力),a t和a n相应地叫作切向加速度和法向加速度。
牛顿运动定律广泛地应用于科学研究和生产技术中,也大量地体现在人们的日常生活中。这里所指的应用主要涉及用牛顿运动定律解题,也就是对实际问题中抽象出的理想模型进行分析及计算,其基本步骤如下。

图2.15 自然坐标系的分量形式
(1)选择研究对象,进行受力分析。
牛顿运动定律是紧紧围绕“力”而展开的,正确分析研究对象的受力大小、方向,以及受力分析的完整性都是正确完成后续步骤并得到正确解答的前提。
先选择研究对象。研究对象可能是一个也可能是若干个,依次对其作受力分析,画出受力图。凡两个物体彼此有相对运动,或者需要讨论两个物体的相互作用时,都应该隔离物体再作受力分析。当两个或多个物体没有相对运动,加速度相同时,可以将它们看成一个整体,这时不必分析它们之间的相互作用力,而只需找出来自这几个物体之外的力。
(2)对研究对象的运动状态作定性的分析。
根据题目给出的条件,分析研究对象是做直线运动还是做曲线运动,是否具有加速度,研究对象不止一个时,彼此之间是否具有相对运动,它们的加速度、速度、位移之间有什么联系。对研究对象的运动进行大致的分析,对定量计算是有帮助的。
(3)选择恰当的坐标系。
坐标系选择得恰当,可以使方程的数学表达式以及运算求解实现最大限度的简化。坐标系建立后,应当在受力图上一并标出,使力和运动沿坐标方向的分解一目了然。
(4)列方程。
一般情况下可以先列出牛顿运动定律的分量式方程。使用分量式时,一定要标明正方向。有时也直接使用矢量方程。该方程表述的物理意义应清楚,等式的左边为物体所受的合外力,等式的右边为力的作用效果,即质点的质量乘以加速度,表明质点的加速度与所受合外力正比而同方向的关系。不要在一开始列方程时就将某一分力随意移项到等式的右边,使方程表达的物理意义不清晰。如果物体受到了约束或各个物体之间有某种联系,则应列出相应的约束方程,如与摩擦力相关的方程、与相对运动相关的方程。如果需要进一步求解速度、运动方程等,则还应根据题意列出初始条件。
(5)求解方程,分析结果。
求解方程的过程应当采用代数方法进行运算,检查无误之后再代入具体的数值。以代数符号表述的方程和结果可以使各物理量的关系清楚,所表述的物理意义一目了然,既便于定性分析和量纲分析,又可以避免数值的重复计算。
下面我们以具体的例题来讲解牛顿运动定律的应用。
例2.6 如图2.16所示,m=4 kg的小球挂在小车后壁上,细线与竖直方向成37°角。求:
(1)小车以a=g向右加速;
(2)小车以a=g向右减速
时,细线对小球的拉力F 1和后壁对小球的压力F 2各多大?

图2.16 例2.6用图
解 (1)向右加速时小球对后壁必然有压力,球在三个共点力作用下向右加速。合外力向右,F 2向右,因此G和F 1的合力一定水平向左,所以F 1的大小可以用平行四边形定则求出:F 1=50 N,可见向右加速时F 1的大小与a无关;F 2可在水平方向上用牛顿第二定律列方程:F 2-0.75G=ma,计算得F 2=70 N。可以看出F 2将随a的增大而增大。(这种情况下用平行四边形定则比用正交分解法简单。)
(2)必须注意:向右减速时,F 2有可能减为零,这时小球将离开后壁“飞”起来。这时细线跟竖直方向的夹角会改变,因此F 1的方向会改变。所以必须先求出这个临界值。此时G和F 1的合力刚好等于m a,所以a的临界值为a=
g。当a=g时小球将离开后壁。不难看出,这时F 1=2mg=56 N,F 2=0。
例2.7 质量为m 1、倾角为q的斜面可以在光滑水平面上运动。斜面上放一小木块,质量为m 2。斜面与小木块之间有摩擦,摩擦因数为μ。现有水平力F作用在斜面上,如图2.17(a)所示。欲使小木块m 2与斜面m 1以相同的加速度一起运动,水平力F的大小应该满足什么条件?
解 在本例中,虽然斜面m 1和小木块m 2之间没有相对运动,但小木块欲与斜面以相同的加速度运动,就必须要考虑斜面对小木块的静摩擦力作用,因此仍应将m 1、m 2分别选作两个研究对象,隔离物体进行受力分析。
由题意分析,如果水平力F过小因而加速度a过小,小木块m 2有沿斜面下滑的趋势,此时斜面对小木块的静摩擦力沿斜面向上,如图2.17(b)所示。如果水平力F过大从而加速度a过大,小木块就有沿斜面上滑的趋势,此时小木块受到的静摩擦力沿斜面向下,如图2.17(c)所示。下面分别就两种情况列方程。

图2.17 例2.7图
(1)小木块m 2有沿斜面下滑的趋势。对照图2.17(b),小木块受到的力有重力G 2、斜面对它的正压力F N、斜面对它的静摩擦力F S,按图示坐标,有
F N sinθ-F Scosθ=m 2a
F N cosθ+F Ssinθ-m 2g=0
斜面受到的力有重力G 1、水平力F、小木块给予的正压力F N,小木块只沿水平方向运动,故只需列出x方向的方程就可以了。
F+F Scosθ-F N cosθ=m 1a
再考虑到m 1、m 2相对静止,摩擦力为静摩擦力,应有
F S≤μF N
联立以上方程求解可得
![]()
(2)小木块m 2有沿斜面上滑的趋势。参照图2.17(c),对小木块来说,除了静摩擦力F S改为沿斜面向下外,其他力方向不变,因此有
F N sinθ+F Scosθ=m 2a
F N cosθ-F Ssinθ-m 2g=0
对于斜面来说,静摩擦力改为沿斜面向上,在x方向上有
F-F Scosθ-F N cosθ=m 1a
静摩擦力F S仍然应满足
F S≤μF N
联立以上方程求解可得

因此,水平力F的大小应满足
![]()
例2.8 如图2.18所示为质量m的人乘电梯上升,若电梯以数值为a的加速度启动,求人对电梯的压力。
解 选地面为惯性参考系,取人作为研究对象。N表示电梯对人的支持力,mg表示人所受的重力。
建立竖直向上的坐标轴Oy,写出牛顿第二定律的投影式:
N-mg=ma
解得
N=m(g+a)
根据牛顿第三定律,人对电梯的压力为
N′=-N=-m(g+a)

图2.18 例2.8用图
方向竖直向下。
此例中,若令电梯的加速度向下,则加速度在y轴上的投影为-a,由此解出人对电梯的压力
N′=-N=-m(g-a)
这就表明人与电梯间的挤压弹性力的大小与加速度a的大小、方向有关,需要根据物体受力和物体运动的加速度,由牛顿第二定律求出。
如果在例2.8中,电梯中放一个弹簧磅秤,人站在秤上称体重,测得的重量称为“视重”。电梯未启动时,人和磅秤相对于地面静止,人所受重力的方向垂直向下,其大小在数值上等于人对磅秤的压力。在此情形中,人的加速度为零,处于平衡状态,重力是磅秤对人的支持力的平衡力。当人随电梯加速上升时,磅秤读数即视重大于电梯静止时的读数,通常把这种现象称为人处于“超重”状态;人随电梯加速下降时磅秤读数则小于电梯静止时的读数,通常把这种现象称为人处于“失重”状态。实际上,这里的“重”字是指物体对支持物的压力而言的。因为不论是物体的质量还是物体所受的重力,在上述各种情形中都是一样的。
与质点运动学相似,质点动力学也大体可以分为两类问题。
第一类问题是已知质点的运动学方程,或任一时刻的速度或加速度,求质点所受的力。这类问题比较简单,只要对运动学方程求导两次得出加速度,再根据式(2.6),即可得到质点所受的力。
第二类问题是已知质点受到的力,求质点的运动方程等,包括任意时刻质点的位置、速度、加速度。解决第二类问题的方法是积分法。
例2.9 阿特伍德(Atwood)机。
(1)如图2.19(a)所示,一根细绳跨过定滑轮,在细绳两侧各悬挂质量分别为m 1和m 2的物体,且m 1>m 2,假设滑轮的质量与细绳的质量均略去不计,滑轮与细绳间的摩擦力以及轮轴的摩擦力亦略去不计。试求重物释放后,物体的加速度和细绳的张力。
(2)若将上述装置固定在图2.19(b)所示的电梯顶部。当电梯以加速度a相对地面竖直向上运动时,试求两物体相对电梯的加速度和细绳的张力。(https://www.daowen.com)

图2.19 例2.9用图
解 (1)选取地面为惯性参考系,并作图2.19(a)所示的示意图,考虑到可忽略细绳和滑轮的质量,故细绳作用在两物体上的力F T1、F T2与绳的张力F T应相等,即F T1=F T2=F T。按照图示的加速度a的正方向,根据牛顿第二定律,有
m 1 g-F T=m 1a
F T-m 2g=m 2a
联立以上两式求解可得两物体的加速度的大小和绳的张力分别为
![]()
(2)仍选取地面为惯性参考系,电梯相对地面的加速度为a,如图2.19(b)所示,如以a r为物体1相对电梯的加速度,那么物体1相对地面的加速度为a 1=a r+a,由牛顿第二定律,有
G 1+F T1=m 1a 1
按图2.19(b)所选的正方向,考虑到物体1被限制在y轴上运动,且a 1=a r-a,故上式可写为
m 1g-F T=m 1a 1=m 1(a r-a)
由于绳的长度不变,物体2相对电梯的加速度的大小也是a r,物体2相对地面的加速度为a 2,按图2.19(b)所选的坐标,a 2=a r+a。于是,物体2的运动方程为
F T-m 2g=m 2a 2=m 2(a r+a)
由上面的式子可得物体1和2相对电梯的加速度的大小为

轻绳的张力为

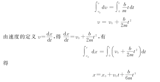
例2.10 质量为m的质点,在力F=bt i的作用下,沿x轴正方向做直线运动,在t=0时,质点位于x 0处,其速度为v 0,求质点在任意时刻的位置。
解 由牛顿第二定律知F=m a=m
,质点在直线上运动,则
![]()
作用力F是时间t的函数,用积分方法可求得速度,即

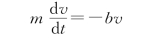
例2.11 物体在黏滞液体中的运动如图2.21所示,一质量为m、半径为r的球体,由水面静止释放沉入水中,求竖直沉降的速度与时间的函数关系。已知水对运动小球的黏滞阻力F r=-b v,式中b是与水的黏性、小球的半径有关的一个常量。

图2.20 例2.11用图
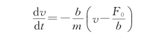
解 如图2.20(a)所示,球体在水中受到重力G、浮力F B和黏滞阻力F r的作用。浮力F B的大小等于物体所排出的液体的重量,即F B=m′g。黏滞阻力的大小为F r。重力G与浮力F B的合力称为驱动力F 0=G+F B,其大小为F 0=P-F B=mg-m′g,其方向与球体的运动方向相同,为一恒力。由牛顿第二定律可得球体的运动方程为
F 0-F r=ma
即

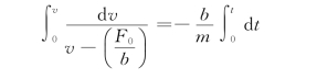
因此有由于球体是由静止释放,即t=0时,v 0=0,故其速度是随时间的增加而增加的;当v=F 0/b时,球体的速度才达到极限值。对上式取分离变量并积分,得

于是有

![]()
根据上式,可作如图2.20(b)所示的曲线。从该曲线可以看出,球体下沉速度随时间的增加而增加;当t→∞时,e(b/m)t→0,这时下沉速度达到极限值v L=F 0/b。实际上,下沉速度达到极限值并不需要无限长的时间,当t=3m/b时,e-(b/m)t=e-3≈0.05,此时的下沉速度为
![]()
这就是说,下沉速度已达极限速度的95%。因此,一般认为t≥3m/b时,下沉速度已达到极限速度,如t=5m/b,则v=0.993v L。
若球体落在水面上时具有竖直向下的速率v 0,且在水中所受的浮力F B与重力G亦相等,即F 0=F B+G=0,那么球体在水中仅受黏滞阻力F=-b v的作用,则
![]()
由题意可设时,对上式取分离变量并积分,有

积分后,可得
v=v 0 e-(b/m)t
球体在水中的速率与时间的关系如图2.20(c)所示。
例2.12 如图2.21所示,长为l的轻绳一端系质量为m的小球,另一端系于定点O,开始时小球处于最低位置,若使小球获得初速v 0,小球将在垂直平面内做圆周运动。求小球在任意位置的速率及绳的张力。

图2.21 例2.12用图
解 由题意知,在t=0时,小球位于最低点,速率为v 0,在时刻t时,小球位于点A,轻绳与铅直线成θ角,速率为v,此时小球受重力G和绳的拉力F T的作用。由于绳的质量不计,故绳的张力就等于绳对小球的拉力。由牛顿第二定律知,小球的运动方程为
F T+m g=m a
为列出小球运动方程的分量式,我们选取自然坐标系,并以过点A与速度v同向的轴线为e t轴,过点A指向圆心O的轴为e n轴,那么上式在两轴上的运动方程分量式分别为
F T-mg cosθ=ma n
-mg sinθ=ma t

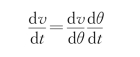
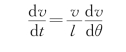
上式中

由角速度的定义式ω=
以及角速度ω与线速度之间的关系式v=lω,可得

于是切向方向的公式可写成
v d v=-gl sinθdθ
对上式积分,并注意初始条件有

得
![]()
把上式代入法向方向的公式中,得
![]()
从速率v的公式可以看出,小球的速率与位置有关,所以小球做变速率圆周运动。
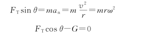
例2.13 圆锥摆如图2.22所示,长为l的细绳一端固定在天花板上,另一端悬挂质量为m的小球,小球经推动后,在水平面内绕通过圆心O的垂直轴作角速率为ω的匀速率圆周运动。问绳和铅直方向所成的角度θ为多少?空气阻力不计。
解 小球受重力G和绳的拉力F T的作用,其运动方程为
F T+G=m a
其中,a为小球的加速度。
由于小球在水平面内做线速率为v=rω的匀速率圆周运动,过圆周上任意点A取自然坐标系,其轴线方向的单位矢量分别为e n和e t,小球的法向加速度的大小为a n=v 2/r,而切向加速度a t=0,且小球在任意位置的速度v的方向均与G和F T所成的平面垂直。因此,运动方程在法向和竖直方向的分量式分别为


图2.22 例2.13用图
由图2.22知r=l sinθ,故由以上两式,得
F T=mω2l

即
![]()
可见,ω越大,绳与垂直方向所成的夹角θ也越大。根据这个道理可以制作蒸汽机的调速器。