课后习题答案
第1章
一、选择题
1.B 2.D 3.D 4.C 5.A 6.C 7.B 8.B
二、填空题

3.变速曲线运动,变速直线运动4.-i+4j
5.20 m/s 6.16Rt 2,4
![]()
三、计算题
![]()
2.(1)8 m
(2)10 m
3.(1)x 2/a 2+y 2/b 2=1
(2)v=-aωsinωt i+bωcosωt j;a=-ω2(a cosωt i+b sinωt j)
(3)a=-ω2r
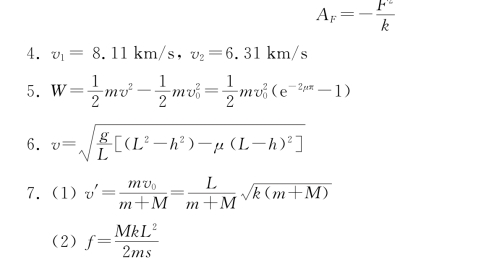
4.略
5.(1)s=2v
sin(θ-α)cosθ/(g cos2α)
(2)当θ=π/4+α/2时,s有极大值,其值为
![]()
6.t=1 s时,质点P的速度大小为8 m/s,加速度大小35.8 m/s2
7.(1)驾驶员应取的航向为北偏东
![]()
(2)飞机相对于地面的速率为170 km/h
8.(1)v=2t i+2j,a=2i

第2章
一、选择题
1.C 2.D 3.D 4.B 5.B 6.C 7.C 8.B
二、填空题

7.l=h/sinθ=2.92 m时,最省力 8.3mg/4
三、计算题

4.F<μ(m 1+m 2)g
第3章
一、选择题
1.A 2.C 3.B 4.D 5.B 6.A 7.C 8.A 9.D 10.C 11.D
二、填空题

5.6.14 cm/s,35.5° 6.m 6gh,方向为垂直斜面向下
7.(1)0.003 s;(2)0.6 N·s;(3)2×10-3 kg
8.mgd 1,mvd 2
9.12k,3k
三、计算题
![]()
3.(1)1 800 N;(2)v A=6 m/s,v B=22 m/s
![]()
5.(1)p(t)=-mω(a sinωt i-b cosωt j)
(2)0
6.-0.89 m/s

8.M=mgb k;L=mgbt k
9.L=L 1+L 2=[m 1 d 2+m 2(l-d)2]ω,方向为垂直水平面向下

重力对O点的力矩为mgl sinα,方向为v的方向;重力对O′点的力矩为mgl sinα,方向为v的方向
(2)L O=mvr,r=l sinα,方向垂直于圆面向上;L O′=mvl sin
=mvl;r′与v的矢积方向,r′为O′指向m
(3)对O点的角动量守恒,对O′点的角动量不守恒
12.1 833 333.3 kg·m2/s; 0
13.5.26×1012 m

第4章
一、选择题
1.D 2.B 3.C 4.C 5.B 6.B 7.B
二、填空题

三、计算题
1.980 J
2.(1)31 J
(2)5.35 m/s

绳的拉力T对m 1所做的功为
![]()
恒力F对m 2所做的功为

8.v=4 m/s,与初始运动方向夹角为30°
![]()
第5章
一、选择题
1.C 2.D 3.C 4.C 5.B 6.D 7.D 8.C 9.D 10.D
11.D 12.D 13.B 14.C
二、填空题

三、计算题

3.解:(1)Q=q
![]()
![]()
(3)球内电势为

球外电势为

4.(1)金属丝表面处的场强为
E 1=2.54×106 V/m
(2)圆筒内表面处的场强为(https://www.daowen.com)
E 2=1.7×104 V/m
第6章
一、选择题
1.D 2.D 3.B 4.A 5.C 6.D 7.C 8.C 9.B 10.C
二、填空题
1.非极性,极性 2.取向,取向;位移,位移

三、计算题
1.(1)σ1=σ4=2.66×10-8 C/m2
σ2=-σ3=0.89×10-8 C/m2
(2)U=V A-V B=1 000 V

5.外力所做的功为
![]()
第7章
一、选择题
1.A 2.A 3.B 4.C 5.D 6.D 7.C 8.A 9.D 10.B 11.C 12.C 13.D 14.B 15.C
二、填空题
1.所围面积,电流,法线(n)
2.(1)μ0 I/(4R 1)+μ0 I/(4R 2),垂直向外
(2)(μ0 I/4)(1/R 1 2+1/R 2 2)1/2,π+arctan(R 1/R 2)
3.0
4.0.16 T
5.μ0n IπR 2
6.环路L所包围的电流,环路L上的磁感应强度,内外
7.(1)μ0 I;(2)0;(3)2μ0 I
8.-μ0IS 1/(S 1+S 2)
9.IBR
10.10-2,π/2
11.0.157 N·m; 7.85×10-2 J
三、计算题
1.(1)ΦabOc=BSabOc cosπ=-2×0.4×0.3=-0.24 Wb
![]()
(3)Φacde=BSacde cosθ=BSabOc=0.24 Wb

4.B x=μ0I/(8a),B y=0
第8章
一、选择题
1.B 2.A 3.B 4.C 5.B 6.C 7.C 8.B 9.A 10.A 11.B
二、填空题

5.1.5 m H 6 .4 ;0
![]()
9.P点电场强度的方向为垂直平行板向下,磁场强度的方向为⊗
三、计算题

第9章
一、选择题
1.D 2.B 3.C 4.D 5.B 6.C
二、作图题
1.

2.

3.

三、计算题
1.(1)v=2.1×108 m/s
(2)t=s/v=2.7×10-8 s
2.厚度至少是1.2×10-7 m
第10章
一、选择题
1.C 2.D 3.B 4.C 5.D
二、填空题
1.3.36×106 2.1.04 kg/m3

8.(2),(1)
三、计算题
(
1)0.71
(2)3.5×10-7 m
第11章
一、选择题
1.B 3.D 3.C 4.B 5.D 6.A 7.D 8.C 9.A
二、填空题
1.(1)-|W 1|;(2)-|W 2|

三、计算题
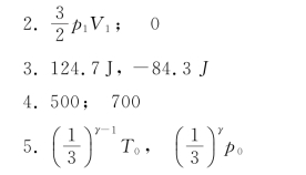
1.(1)266 J,系统吸收热量
(2)-308 J,系统放热
2.ΔE=Q-W=1.654 k W(或ΔE=1.654 kJ/s)
3.(1)等体过程,吸热Q=ΔE=623.25 J,对外做功W=0
(2)等压过程,吸热Q=1 038.75 J,内能增加ΔE=623.25 J,对外做功A=Q-ΔE=415.5 J
第12章
一、选择题
1.D 2.CD 3.A 4.D 5.CD 6.①C ②A
7.AC 8.C 9.ACD 10.BC 11.AC
12.BCD 13.ACD 14.B
二、填空题
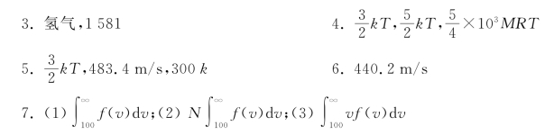
1.红光;蓝
2.入射光频率和金属红限频率;入射光强度
3.频率
4.6.63×10-33 m
5.1.28×10-10 m