12.3 光的波粒二象性
2026年01月14日
12.3 光的波粒二象性
19世纪,通过光的干涉、衍射等实验,人们已经认识到光是一种波动——电磁波,并建立了光的电磁理论——麦克斯韦理论。而进入20世纪,从爱因斯坦开始,人们又认识到光是粒子流——光子流。综合起来,关于光的本性的全面认识就是:光既具有波动性,又具有粒子性,相辅相成。在某些情况下,光突出地显示出其波动性,而在另一些情况下,则突出地显示出其粒子性。光的这种本性被称为波粒二象性。光既不是经典意义上的单纯的波,也不是经典意义上的单纯的粒子。
光的波动性可以用光波的波长λ和频率ν描述,光的粒子性可以用光子的质量、能量和动量描述。一个光子的能量为
![]()
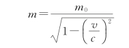
根据相对论的质量-能量关系E=mc 2,则一个光子的质量为在相对论中,粒子质量和运动速度的关系为

(https://www.daowen.com)
对于光子,v=c,而m是有限的,因此只能是m 0=0,即光子是静止质量为零的一种粒子。但是,由于光速不变,光子对于任何参考系都不会静止,所以在任何参考系中光子的质量实际上都不会是零。
根据相对论的能量-动量关系
![]()
对于光子,m 0=0,所以光子的动量为
![]()
式(12.7)和式(12.8)是描述光的性质的基本关系式,其中E和p描述光的粒子性,λ和ν描述光的波动性。光的这两种性质在数量上通过普朗克常量h联系在一起。