9.2.2 薄膜干涉
在上节的杨氏双缝实验中,两束光在相遇处叠加时的位相差仅决定于两束光之间几何路程之差。在本节讨论的薄膜干涉中,光线将经历不同的介质,例如,光线从空气中射入薄膜中。这时,相干光线间的位相差就不能单纯由两束相干光的几何路程来决定。为此,我们先介绍光程的概念。
1.光程
对于给定的单色光,其频率ν在不同介质中是恒定不变的。在折射率为n的介质中,光速v是真空中光速c的1/n,即v=c/n,则在这种介质中传播的单色光波长为
![]()
由此可见,光经过较密介质(其折射率恒大于1)时,它的波长要缩短。在折射率为n的某一介质中,如果在一段时间内通过的几何路程为x,亦即其间的波数为x/λ′,那么同样波数的光波在真空中的几何路程将是

由此可见,光波在介质中的路程x相当于在真空中的路程nx。我们将光波在某介质中所经历的几何路程x与这种介质的折射率n的乘积nx定义为光程。计算光程实际上就是计算与介质中几何路程相当的真空中的路程,也就是把涉及不同介质时的复杂情形都变换成真空中的情形。由此可见,两束相干光通过不同介质后,在空间某点相遇时所产生的干涉现象与两者的光程差(用符号δ表示)有关,而不决定于两者的几何路程差。两束初位相相同的相干光在相遇点的位相差Δφ与光程差δ间存在下述关系:
![]()
在相干光干涉现象中,一般出现明条纹处称为相干加强,出现暗条纹处称为相干减弱。对于初位相相同的两束相干光,当它们在空间相遇时,相干加强(明纹)或相干减弱(暗纹)的条件为

或

下面,我们简单说明光波通过薄透镜传播时的光程情况。一束平行光通过透镜后会聚于其焦平面上(如图9.15所示),相互加强成一亮点。
这是由于在平行光束波阵面上各点(如图9.15(a)中A、B、C、D、E点)的位相相同,到达焦平面后位相仍然相同,因而相互加强。可见,从A、B、C、D、E等各点到F点的光程相等。关于这个事实还可这样理解,虽然光线Aa F比光线Cc F经过的几何路程长,但是透镜的折射率大于1,因此折算成光程后,Aa F的光程与Cc F的光程相等。对于斜入射的平行光,会聚于焦平面上的F′点,类似讨论可知Aa F′、BbF′等的光程均相等,如图9.15(b)所示。因此,在观察干涉时,使用透镜不引起附加的光程差。

图9.15 光波通过薄透镜时的光程情况
2.薄膜干涉
当光源不是点和狭缝,而是具有一定的宽度时,称为扩展光源。在自然条件下,我们常常会观察到扩展光源所产生的干涉现象。例如,当太阳光照在肥皂泡的膜面上,或照射在漂浮在水面的油膜上时,在薄膜的表面上都可以看到许多彩色条纹,这些彩色条纹就是扩展光源发出的光波。在薄膜两个表面上反射后相互叠加产生的干涉现象,称其为薄膜干涉。我们首先讨论平行平面薄膜的干涉现象。
如图9.16所示,折射率为n 2的平行平面薄膜,其上、下层介质的折射率分别为n 1和n 3,设n 1<n 2>n 3,ab、cd分别为薄膜的上、下两个表面。由扩展光源上S点发出的光线1,以入射角i投射到薄膜上表面的A点后,分为两部分,一部分由A点反射,成为光线2;另一部分射入薄膜,产生折射,又在下表面B点被大部分反射,再经界面ab而出成为光线3。显然,光线2和光线3是两条平行光线,经透镜L会聚于P点。由于光线2、3是由同一入射光线分出的两部分,只是经历了不同的路径而有恒定的光程差,亦即具有恒定的位相差,因此它们是相干光,在会聚的P点会产生干涉现象。
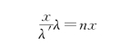
由光线1分成的两条光线2、3到P点的光程差决定了P点干涉图样的明暗。现在我们计算光线2和光线3的光程差,同时讨论P点干涉加强或减弱的条件。

图9.16 薄膜干涉
设CD⊥AD,由于D到P点和C到P点的光程相等,所以上述两条光线的光程差为(https://www.daowen.com)
![]()
其中,
这一项是由于光线2是光线1在由光疏介质射向光密介质而在界面反射形成的半波损失项。设薄膜厚度为e,γ为折射角,由图中可以看出
![]()
AD=AC sin i=2e tanγsin i
根据折射定律n 1 sin i=n 2 sinγ,则

于是干涉条件为

注意,式(9.13)是由n 1<n 2>n 3得到的,对于n 1>n 2<n 3也可得到相同的结果,但若n 1<n 2<n 3,由于半波损失在两个界面上都产生,结果是
![]()
对透射光来说,也有干涉现象。如图9.16所示,还是对于n 1<n 2>n 3情况,光线AB中有一部分直接从B点折射出薄膜,成为光线4,同时还有一部分光经B点和C点两次反射后由F点折射出薄膜,成为光线5。由于n 1<n 2>n 3,所以光在薄膜表面B点和C点两次反射时无附加的半波损失,因而光线4和5的光程差为
![]()
式(9.15)与式(9.13)相比,差λ/2。可见当反射光相互加强时,透射光将相互减弱,二者形成“互补”的干涉图样。若用复色光源,则能观察到彩色的干涉条纹。
在现代光学仪器中,如照相机镜头或其他光学元件,常采用组合透镜,对于一个具有四个玻璃-空气界面的组合透镜来说,由于反射而损失的光能约为入射光能的20%。随着界面数目的增加,因反射而损失的光能还要增多。为了减小这种反射损失,一般是在透镜表面上镀一层厚度均匀的透明薄膜,常用氟化镁(MgF2)等折射率介于空气与玻璃之间的物质做镀层材料。当镀层形成的薄膜厚度合适时,就可以使某种单色光在透明薄膜的两个表面上反射后,相互干涉而抵消掉。于是由于干涉作用,这种单色光就完全不发生反射而透过透明薄膜,此时,薄膜起到增透作用,称为增透膜。
在现代光学仪器中也常常需要有高反射率的界面,而应用光的干涉作用恰恰能实现这一点。一般采用折射率n 1=2.35的硫化锌(ZnS)为镀膜材料。根据计算,若玻璃折射率n 2=1.52,则垂直入射光的反射率高达33%左右,而且n 1越大,反射率也越大,称这种镀膜为反射膜。对于反射膜,一般利用多层膜可制成高反膜,其反射率高达99%以上,如激光器谐振腔两端的反射镜就属于多层高反膜。
多层膜就是在玻璃基底上交替地镀以折射率较大的ZnS镀层和折射率相对较小的Mg F2膜层,对于某种波长为λ的单色入射光,每层膜的光学厚度都是λ/4,且与基底和空气相邻的都是ZnS镀膜。光从空气入射到第一层ZnS膜层时,在膜的上表面反射时有半波损失,而在膜的下表面反射时无半波损失,根据上面的讨论知,第一层膜对光的反射有加强作用。当光进入第二层膜时,在上表面反射时无半波损失,但在下表面反射时有半波损失,因而也对光的反射有加强作用。同理,每一层镀膜都使光的反射加强,只要膜层数足够多,就可以使透射光很弱,反射率很高。但一般考虑到镀层对光的吸收作用,所以镀层数不宜太多。
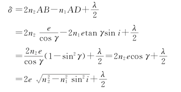
例9.4 白光垂直入射到空气中一厚度为3 800Å的肥皂水膜上,肥皂水膜正面呈什么颜色?
解 对肥皂水膜正面,反射光1在上表面反射时有半波损失,而反射光2在下表面反射时无半波损失,所以两束光之间有附加光程差,即

因为反射加强,所以有

因为可见光为4 000~7 600Å,所以反射光中λ2=6 739Å和λ3=4 043Å的光得到了加强,前者为红光,后者为紫光。即膜正面呈红、紫色。