7.4.2 安培环路定理的应用举例
应用安培环路定理也可以方便地计算某些具有特殊对称性的电流的磁场分布。具体计算步骤如下:
(1)根据电流分布的对称性分析磁场分布的对称性;
(2)选取合适的闭合积分路径L(称为安培环路),注意闭合路径L的选择一定要便于使积分∮L B·d l中的B以标量的形式从积分号中提出来;
(3)应用安培环路定理求出B的数值并确定B的方向。
能够直接用安培环路定理计算磁场的电流分布有以下几种情形:
(1)具有轴对称性的无限长电流,因而磁场的分布也是轴对称性;
(2)具有平面对称性的无限大电流,因而B的大小也呈平面对称性,且B的方向平行于对称面;
(3)均匀密绕的长直螺线管及螺绕环电流。
下面举几个例子说明。
例7.6 图7.15所示的无限长载流圆柱体半径为R,电流为I,求其磁场分布。
解 如图7.15(b)所示,利用磁场叠加原理和对称性分析,由于电流分布对圆柱轴线具有对称性,因此磁场分布对轴线也具有对称性,磁感应线应该是在垂直轴线平面内以轴线为中心的同心圆,方向绕电流的方向右旋(如图7.6(b)所示),而且在同一圆周上磁感应强度B的大小相等。

图7.15 例7.6用图
如图7.15(a)所示,过任意场点P,在垂直轴线的平面内取一中心在轴线上半径为r的圆周为积分的闭合路径,称为安培环路L,积分方向与磁感应线的方向相同。由于L上B的量值处处相等,且B的方向沿L各点的切线方向,即与积分路径d l的方向一致,所以沿L的B的环流为

当r>R时,

当0<r<R时,

图7.15(c)给出了B与r的关系曲线。
例7.7 求无限长载流直螺线管内的磁场。
如图7.16所示,设螺线管是均匀密绕的,缠绕密度(即单位长度上的线圈匝数)为n,通有电流I。

图7.16 例7.7用图(长直螺线管内磁场的计算)
解 根据磁场叠加原理,进行对称性分析,可将长直密绕载流螺线管看作由无穷多个共轴的载流圆环构成,其周围磁场是各匝圆电流所激发磁场的叠加结果。在长直载流螺线管的中部任选一点P,在P点两侧对称性地选择两匝圆电流,由圆电流的磁场分布可知二者磁场叠加的结果,磁感强度B的方向与螺线管的轴线方向平行。由于螺线管长度远大于管截面的直径,则长直螺线管可以看成无限长,因此在P点两侧可以找到无穷多匝对称的圆电流,它们在P点的磁场叠加结果磁场强度与轴线平行。由于P点是任选的,因此可以推知长直载流螺线管内各点磁场的方向均沿轴线方向。磁场分布如图7.16所示,在管内的中央部分,磁场是均匀的,其方向与轴线平行,并可按右手螺旋定则判定其指向;而在管的中央部分外侧,磁场很微弱,可忽略不计,即B=0。
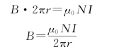
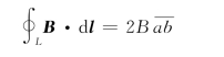
据此,过管内任意场点P作图7.16所示的矩形回路abcda,在回路的cd段上以及bc和da段的管外部分,均有B=0,在bc和da的管内部分,B与d l相互垂直,即B·d l=0,回路的ab段上各点B的量值相等,方向与d l一致,所以沿闭合路径abcda上B的环流为
(https://www.daowen.com)
穿过回路的线圈匝数为n ab,通过每匝线圈的电流为I,所以穿过回路的电流总和为In ab,于是由安培环路定理得
![]()
上述计算与矩形回路的ab边在管内的位置无关,表明无限长载流直螺线管内的磁场是均匀磁场(此结果与使用叠加原理得到的结果是一致的)。
例7.8 求载流螺绕环的磁场。
绕在圆环上的螺线形线圈叫作螺绕环(如图7.17(a)所示)。设环管的平均半径为R,环上均匀密绕N匝线圈,每匝线圈通有电流I。
解 根据电流分布的对称性可知,在管内的磁感应线为与环共轴的圆周,圆周上各点B大小相等,方向沿电流的右手螺旋方向。故取与环共轴、半径为r的圆周为安培环路L(如图7.17(b)所示)。沿环路L的B的环流为

穿过L的电流总和为NI。由安培环路定理得


图7.17 例7.8用图(螺绕环内的磁场的计算)
在螺绕环横截面半径比环的平均半径R小得多(细环)的情形下,可取r≈R,因而上式可表示为
![]()
其中,n=N/2πR为螺绕环的平均缠绕密度。B的方向沿电流的右手螺旋方向。
对环外任意一点,若过该点作一与环共轴的圆周为安培环路L,则因穿过L的总电流为0,因而有B=0。
上述结果说明,密绕螺绕环的磁场全部限制在环内,磁感应线是一些与环共轴的同心圆,环外无磁场。当环的横截面半径远小于环的平均半径时,环内的磁场B=μ0n I,与无限长直螺线管的磁场相同。这是因为当环的半径趋于无限大时,螺绕环的一段就过渡为无限长的螺线管。
例7.9 求无限大载流平面的磁场分布。
设电流均匀地流过一无限大平面导体薄板,电流面密度为j(即通过与电流方向垂直的单位长度的电流),如图7.18(a)所示。
将无限大载流薄板视为由无限多根平行排列的长直电流组成。对板外任意场点P,相对OP对称地取一对宽度相等的长直电流j d l和j d l′,它们在P点产生的磁场分别为d B和d B′,如图7.18(b)所示。由对称性可知,它们的合磁场d B∥的方向平行于载流平面,因而无数对对称长直电流在P点产生的总磁场也一定平行于载流平面。同理,对平面另一侧的场点,其总磁场也与载流平面平行,但方向与P点磁场方向相反。即载流平面两侧B的方向相反。又由于载流平面无限大,故磁场分布对载流平面具有对称性,即在与平面等距离的各点处B的大小相等。
根据磁场分布的面对称性,取一相对载流平面对称的矩形回路abcda(图7.18(b))为安培环路L,由于在回路的ab及cd段上B的量值处处相等,且B的方向与积分路径的方向相同,

图7.18 例7.9用图(无限大载流平面)
在回路的bc和da段上B的方向处处与积分路径垂直,B·d l=0,所以沿回路B的环流为

穿过该回路的电流为j ab,根据安培环路定理得

式(7.14)表明,无限大均匀载流平面两侧的磁场大小相等,方向相反,并且是均匀磁场。