7.5 磁场对电流的作用
实验证明,置于磁场中的载流导线也要受到磁场的作用力。理论解释是由于导线中形成电流的大量定向运动的载流子在磁场中要受到洛伦兹力的作用,其宏观效果将表现为载流导线受到磁场的作用力。载流导线受到的磁场力通常叫作安培力。
安培最早用实验方法研究了电流和电流之间的磁力的作用,从而总结出载流导线上一小段电流元所受磁力的基本规律,称为安培定律。其内容如下:放在磁场中某点处的电流元I d l所受到的磁场作用力d F的大小和该点处的磁感强度B的大小、电流元的大小以及电流元I d l和磁感应强度B所成的角θ(或用(I d l,B)表示)的正弦成正比,即
d F=k BI d l sinθ
d F的方向与矢积I d l×B的方向相同(图7.19)。中学时我们用左手定则判断安培力,大家可以自行分析,两种方法得到的受力方向是完全相同的。

图7.19 电流元所受的安培力
式中的比例系数k的量值取决于式中各量的单位。在国际单位制中,B的单位用特斯拉(T),I的单位用安培(A),d l的单位用米(m),d F的单位用牛顿(N),则k=1,安培定律的表达式可简化为d F=BI d l sinθ,写成矢量表达式,即
![]()
式(7.15)表达的规律叫作安培定律。
因为安培定律给出的是载流导线上一个电流元所受的磁力,所以它不能直接用实验进行验证。但是,任何有限长的载流导线L在磁场中所受的安培力F应等于导线L上各个电流元所受安培力d F的矢量和,即
![]()
对于一些具体的载流导线,理论计算的结果和实验测量的结果是相符的。这就间接证明了安培定律的正确性。
式(7.16)是一个矢量积分。如果导线上各个电流元所受的磁力d F的方向都相同,则矢量积分可直接化为标量积分。例如,长为L的一段载流直导线放在均匀磁场B中,如图7.20所示,根据矢积的右手螺旋定则,可以判断导线上各个电流元所受磁力d F的方向都是垂直纸面向外的。所以整个载流直导线所受的磁力F的大小为
![]()
其中,θ为电流I的方向与磁场B的方向之间的夹角。F的方向与d F的方向相同,即垂直于纸面向外。
由式(7.17)可以看出,当直导线与磁场平行(即θ=0或π)时,F=0,即载流导线不受安培力作用;当直导线与磁场垂直(θ=
时,载流导线所受安培力最大,其值为F=BIL。如果载流导线上各个电流元所受安培力d F的方向各不相同,则式(7.16)的矢量积分不能直接计算。这时应选取适当的坐标系,先将d F沿各坐标分解成分量,然后对各个分量进行标量积分:
,最后再求出合力,其大小为![]()
例7.10 如图7.21所示,不规则的平面弯曲载流导线通有电流I,求此段导线在均匀磁场B中所受的力。

图7.20 载流直导线在均匀磁场中

图7.21 例7.10用图
解 取一段电流元I d l,则其受到的安培力为
d F=I d l×B
将d F分解到两个坐标轴上,得
d F x=d F sinθ=BI d l sinθ=BI d y
d F y=d F cosθ=BI d l cosθ=BI d x
分别积分,有

所以,有

结论:任意平面载流导线在均匀磁场中所受的力等于从起点到终点连起的直导线通过相同的电流时受的安培力。
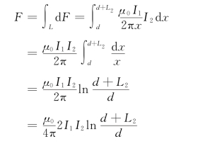
例7.11 如图7.22所示,载流长直导线L 1通有电流I 1=2.0 A,另一载流直导线L 2与L 1共面且正交,长为L 2=40 cm,通电流I 2=3.0 A。L 2的左端与L 1相距d=20 cm,求导线L 2所受的磁场力。
解 长直载流导线L 1所产生的磁感强度B在L 2处的方向虽都是垂直纸面向内,但它的大小沿L 2逐点不同。要计算L 2所受的力,先要在L 2上距L 1为x处任意取一线段元d x,在电流元I 2 d x的微小范围内,B可看作恒量,它的大小为


图7.22 例7.11用图
根据矢积I d l×B的方向可知,电流元受力的方向垂直L 2沿纸面向上。由于所有电流元受力方向都相同,所以L 2整体所受的力F是各电流元受力的和,可用标量积分直接计算

代入题设数据后得
![]()
导线L 2受力的方向和电流元受力方向一样,也是垂直L 2沿纸面向上。
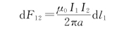
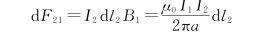
例7.12 求两无限长平行载流直导线间的相互作用力。设两导线间的距离为a,分别通有同向电流I 1和I 2,如图7.23所示。

图7.23 例7.12用图
解 两载流导线间的相互作用力实质上是一载流导线的磁场对另一载流导线的作用力。根据长直电流的磁场公式,导线1在导线2处产生的磁场为(https://www.daowen.com)
![]()
B 1的方向垂直导线2。
由安培力公式,导线2上电流元I 2 d l 2受到的安培力为
![]()
其大小为
![]()
d F 21的方向在两导线构成的平面内并垂直指向导线1。同理,导线2产生的磁场作用在导线1的电流元I 1 d l 1上的安培力大小为
![]()
方向与d F 12的方向相反。
因此,单位长度导线所受磁力大小为

上述讨论表明,当两平行长直导线通有同向电流时,其间磁相互作用力是吸引力;通有反向电流时,是排斥力。
在国际单位制中,电流强度的单位“安培”就是根据式(7.19)定义的。设在真空中两无限长平行直导线相距1 m,通以大小相等的电流。如果导线每米长度的作用力为2×10-7 N,则每根导线上的电流强度就规定为1“安培”。
![]()
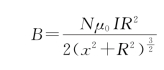
1.磁感应强度
磁感应强度B的大小为
![]()
方向:规定磁场中,小磁针静止时N极的指向方向为该点磁感应强度B的方向。
可用磁感应线(B线)来形象化地描述磁场的分布情况:磁感应线上任一点的切线方向与该点的磁感应强度B的方向一致;磁感应线的密度表示B的大小。
2.毕奥-萨伐尔定律
稳恒电流的电流元I d l在真空中某点所产生的磁感应强度为
![]()
(1)载流直导线的磁场为

当载流导线为无限长时,

(2)圆形电流的磁场为

圆心处,

3.磁通量
通过曲面S的磁通量为

4.磁场中的高斯定理

它表明磁场是无源场,或者说是涡旋场。
5.安培环路定理
![]()
它表明稳恒磁场是非保守场。
6.磁场对载流导线的作用力
安培定律
d F=I d l×B
有限长载流导线所受的安培力为
![]()