8.3 感生电动势和感生电场
本节讨论引起回路中磁通量变化的另一种情况。当一个静止的导体回路包围的磁场发生变化时,穿过它的磁通量也会发生变化,这时回路中也会产生感应电动势。这样产生的感应电动势称为感生电动势,它和磁通量变化率的关系也由式(8.1)表示。
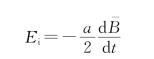
产生感生电动势的非静电力是什么力呢?由于导体回路未动,所以它不可能像在动生电动势中那样是洛伦兹力。由于这时的感应电流是原来宏观静止的电荷受非静电力作用形成的,而静止电荷受到的力只能是电场力,所以这时的非静电力也只能是一种电场力。由于这种电场是磁场的变化引起的,所以叫作感生电场。它就是产生感生电动势的“非静电场”。以E i表示感生电场的场强,则根据电动势的定义,由于磁场的变化,在一个导体回路L中产生的感生电动势应为

根据法拉第电磁感应定律,应该有
![]()
法拉第当时只着眼于导体回路中感应电动势的产生,麦克斯韦则更着重于电场和磁场的关系的研究。他提出,在磁场变化时,不但会在导体回路中,而且在空间任一地点都会产生感生电场,而且感生电场沿任何闭合路径的环路积分都满足式(8.16)表示的关系。用B来表示磁感应强度,则式(8.16)可以用下面的形式更明显地表示出电场和磁场的关系:
![]()
其中,d r表示空间内任一静止回路L上的位移元,S为该回路所限定的面积。由于感生电场的环路积分不等于零,所以它又叫作涡旋电场。此式表示的规律可以不十分确切地理解为变化的磁场产生电场。

图8.9 例8.2用图(电子感应加速器)
在一般情况下,空间的电场可能既有静电场E s,又有感生电场E i。根据叠加原理,总电场E沿某一封闭路径L的环路积分应是静电场的环路积分和感生电场的环路积分之和。由于前者为零,所以E的环路积分就等于E i的环流。因此,利用式(8.17)可得
![]()
这一公式是关于磁场和电场关系的又一个普遍的基本规律。
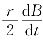
例8.2 电子感应加速器是利用感生电场来加速电子的一种设备,它的柱形电磁铁在两极间产生磁场(图8.9),在磁场中安置一个环形真空管道作为电子运行的轨道。当磁场发生变化时,就会沿管道方向产生感生电场,射入其中的电子就会受到感生电场的持续作用而被不断加速。设环形真空管的轴线半径为a,求磁场变化时沿环形真空管轴线的感生电场。
解 由磁场分布的轴对称性可知,感生电场的分布也具有轴对称性。沿环管轴线上各处的电场强度大小应相等,而方向都沿轴线的切线方向。因此,沿此轴线的感生电场的环路积分为
![]()
以B -表示环管轴线所围绕的面积上的平均磁感应强度,则通过此面积的磁通量为
![]()
由式(8.18)可得

由此得


图8.10 例8.3用图(测铁磁质中的磁感应强度)
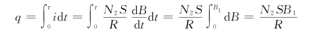
例8.3 如图8.10所示,在用铁磁试样制作的环上绕上两组线圈。一组线圈匝数为N 1,与电池相连。另一组线圈匝数为N 2,与一个“冲击电流计”(这种电流计的最大偏转与通过它的电量成正比)相连。设铁环原来没有磁化。当合上开关使N 1中的电流从零增大到I 1时,冲击电流计测出通过它的电量是q。求与电流I 1相对应的铁环中的磁感应强度B 1是多大?(https://www.daowen.com)
解 当合上开关使N 1中的电流增大时,它在铁环中产生的磁场也增强,因而N 2线圈中有感生电动势产生。以S表示环的截面积,以B表示环内磁感应强度,则Φ=BS,而N 2中的感生电动势的大小为

以R表示N 2回路(包括冲击电流计)的总电阻,则N 2中的电流为
![]()
设N 1中的电流增大到I 1需要的时间为τ,则在同一时间内通过N 2回路的电量为

由此得
![]()
这样,根据冲击电流计测出的电量q就可以算出与I 1相对应的铁环中的磁感应强度。这是常用的一种测量磁介质中磁感应强度的方法。
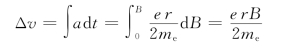
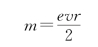
例8.4 按经典模型,一电子沿半径为r的圆形轨道运动,速率为v。今垂直于轨道平面加一磁场B,求由于电子轨道运动发生变化而产生的附加磁矩。处于基态的氢原子在较强的磁场(B=2 T)中,其电子的轨道运动附加磁矩为多少?
解 电子轨道运动的磁矩大小为
![]()
在图8.11(a)中,电子轨道运动的磁矩方向向下。设所加磁场B的方向向上,在该磁场由0增大到B的过程中,在该区域将产生感生电场E i,其大小为
(参看例8.2),方向如图8.11所示。在此电场作用下,电子将沿轨道加速,加速度为
![]()
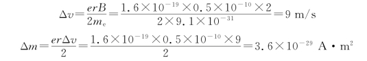
在轨道半径不变的情况下,在加磁场的整个过程中,电子速率的增加值为则此速度增量相应的磁矩的增量——附加磁矩Δm——的大小为


其方向由速度增量的方向判断,如图8.11(a)所示,是和外加磁场的方向相反的。

图8.11 例8.4用图(电子轨道运动附加磁矩的产生)
如图8.11(b)所示,如果电子轨道运动方向与图8.11(a)中的相反,则其磁矩方向将向上。在加同样的磁场的过程中,感生电场将使电子减速,从而也产生一附加磁矩Δm。此附加磁矩的大小也可以如上分析计算。要注意,如图8.11(b)所示,Δm的方向也是和外加磁场方向相反的。
氢原子处于基态时,电子的轨道半径r=0.5×10-10 m。由此可得

这一数值比顺磁质原子的固有磁矩要小5~6个数量级。