5.5.3 电势差
2026年01月14日
5.5.3 电势差
即
电势差,顾名思义,就是电场中某两点的电势之差。电势差通常用U表示。
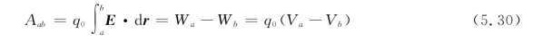
式(5.25)两端除以q 0可得


V a-V b为电势之差,即电势差,记为U ab,即有
![]()
在电场中a、b两点的电势差在量值上等于单位正电荷从a点经过任意路径到达b点时电场力所做的功,也可以理解为单位正电荷在a、b两点处所具有的电势能之差。在静电场中给定两点的电势差具有完全确定的值,而与电势零点的选择没有任何关系。
要注意的是,在物理学中我们通常所说的增量应该为后量减前量,而这里的电势差为前量减后量。(https://www.daowen.com)
电势的零点P 0选择具有任意性,也可以取其他方便的点作为电势零点。因此,电势还可定义为

电势与电势差具有相同的单位,在国际单位制中,电势和电势差的单位都是伏,用符号V表示,1 V=1 J/C。
如果已知a、b两点间的电势差,可以很容易地知道电荷q 0从a点移到b点时,静电场力所做的功。根据式(5.28)有
![]()
在实际应用中,需要用到的是两点间的电势差,而不是某一点的电势,所以常取地球的电势为电势量度的起点,即取地球的电势为零。
注意:①电势V a为标量,可正、可负或为零。
②电势的零点(电势能零点)任选。在理论上对有限带电体通常取无穷远处电势为0,实际上通常取地球为电势零点。一方面,因为地球是一个很大的导体,它本身的电势比较稳定,适宜作为电势零点;另一方面,因为任何其他地方都可以方便地将带电体与地球比较,以确定电势。
③电势与电势能是两个不同的概念,电势是电场具有的性质,而电势能是电场中电荷与电场组成的系统所共有的,若电场中不引入电荷,就无电势能,但各点电势还是存在的。