习 题
一、选择题
1.下列说法中正确的是( )。
A.运动的物体有惯性,静止的物体没有惯性
B.物体不受外力作用时,必定静止
C.物体做圆周运动时,合外力不可能是恒量
D.牛顿运动定律只适用于低速、微观物体
2.如习题图2.1所示,P是一圆的竖直直径PC的上端点,一质点从P开始分别沿不同的弦无摩擦地下滑时,把到达各弦的下端所用的时间相比较( )。
A.到A用的时间最短
B.到B用的时间最短
C.到C用的时间最短
D.所用的时间都一样

习题图2.1
3.假设质量为70 kg的飞机驾驶员由于动力俯冲得到6 g的净加速度,问作用于驾驶员上的力最接近下列哪一个值?( )。
A.10 N B.70 N C.420 N D.4 100 N
4.在平面直角坐标系x Oy中,质量为0.25 kg的质点受到力F=t i(N)的作用。t=0时,该质点以v=2j(m/s)的速度通过坐标原点O,则该质点在任意时刻的位置矢量为( )。

5.如习题图2.2所示,一根轻绳跨过一个定滑轮,绳的两端各系一个重物,它们的质量分别为m 1和m 2,且m 1>m 2(滑轮质量和一切摩擦不计),系统的加速度为a。今用一竖直向下的恒力F=m 1 g代替重物m 1,系统的加速度为a′,则有( )。

习题图2.2
A.a′=a B.a′>a C.a′<a D.不能确定
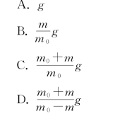
6.如习题图2.3所示,一只质量为m的猴子抓住一根用绳吊在天花板上的质量为m 0的直杆,在绳子突然断开的同时,猴子沿杆竖直向上爬,猴子在攀爬过程中,始终保持它离地面的高度不变,此时直杆下落的加速度应为( )。


习题图2.3
7.如习题图2.4所示,水平地面上放一物体A,它与地面间的动摩擦因数为μ。现加一恒力F,欲使物体A有最大加速度,则恒力F与水平方向的夹角θ应满足( )。

习题图2.4
A.sinθ=μ
B.cosθ=μ
C.tanθ=μ
D.cotθ=μ
8.一段水平的公路,转弯处轨道半径为R,汽车轮胎与路面间的摩擦因数为μ,要使汽车不发生侧向打滑,汽车在该处的行驶速率( )。
(https://www.daowen.com)
二、填空题
1.一质量为2 kg的质点在力F=20t+8(N)的作用下,沿Ox轴做直线运动。在t=0时,质点的速度为3 m/s。质点在任意时刻的速度为_________。
2.质量为m的小艇在即将靠岸时关闭发动机,此刻的船速为v 0,设水对小艇的阻力F正比于船速v,即F=kv(k为比例系数),小艇在关闭发动机后还能行驶的距离为_________。
3.一热气球的总质量为m,以大小为a的加速度竖直下降,今欲使它以大小为a的加速度竖直上升,则应从该热气球中抛掉压舱沙袋的质量为_________。(忽略空气阻力)
4.如习题图2.5所示,质量为m的物体A用平行于斜面的细线连接置于光滑的斜面上,若斜面向左做加速运动,当物体A刚好脱离斜面时,它的加速度大小为_________。
5.已知水星的半径是地球半径的0.4倍,质量为地球的0.04倍。设在地球表面的重力加速度为g,则水星表面的重力加速度为_________。
6.如习题图2.6所示,在一只半径为R的半球形碗内,有一粒质量为m的钢球,当小球以角速度ω在水平面内沿碗内壁做匀速圆周运动时,它距碗底的高度为_________。(不计一切摩擦)

习题图2.5

习题图2.6
7.如习题图2.7所示,一人在平地上拉一个质量为m的木箱匀速前进,木箱与地面间的动摩擦因数μ=0.6。设此人前进时,肩上绳的支撑点距地面的高度为h=0.5 m,不计箱高,为使人最省力,绳的长度l应为_________。
8.如习题图2.8所示,系统置于以a=12g的加速度上升的升降机内,A、B两物体质量相同,均为m,A所在的桌面是水平的,绳子和定滑轮质量均不计,若忽略滑轮轴上和桌面上的摩擦,并不计空气阻力,则绳中的张力为_________。

习题图2.7

习题图2.8
三、计算题
1.质量为16 kg的质点在xOy平面内运动,受一恒力作用,力的分量为f x=6 N,f y=7 N。当t=0时,x=y=0,v x=-2 m/s,v y=0。当t=2 s时,求:
(1)质点的位矢;
(2)质点的速度。
2.摩托快艇以速率v 0行驶,它受到的摩擦阻力与速率的平方成正比,可表示为F=-kv 2(k为正值常量)。设摩托快艇的质量为m,当摩托快艇发动机关闭后,求:
(1)速率v随时间t的变化规律;
(2)路程x随时间t的变化规律;
(3)证明速率v与路程x之间的关系为v=v 0 e-k′x,其中k′=k/m。
3.如习题图2.9所示,在水平面上固定一半径为R的圆环形围屏,质量为m的滑块沿环形内壁在水平面上转动,滑块与环形内壁间的动摩擦因数为μ,不计滑块与水平面之间的摩擦力。
(1)当滑块速度为v时,求它与壁间的摩擦力及滑块的切向加速度;
(2)求滑块速率由v变为
所需的时间。
4.如习题图2.10所示,用质量为m 1的板车运载一质量为m 2的木箱,车板与箱底间的摩擦系数为μ,车与路面间的滚动摩擦可不计,拉车的力F为多少才能保证木箱不滑动?

习题图2.9

习题图2.10