5.1.2 库仑定律
2026年01月14日
5.1.2 库仑定律
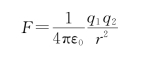
1785年库仑通过对实验结果的分析,总结出如下的规律(即库仑定律):真空中两个静止点电荷之间相互作用的静电力F的大小与它们的带电量q 1、q 2的乘积成正比,与它们之间的距离r的平方成反比,作用力的方向沿着两个点电荷的连线。在国际单位制中,它的数学表达式为

式中,
为比例系数,它的数值和单位取决于式中各量所采用的单位。在国际单位制中,力的单位为牛(N),距离的单位为米(m),电量的单位为库仑(C)。因为式中所有物理量的单位都已选定,所以比例系数需由实验测定。测量结果为
ε0=8.854 187 817×10-12 C2/(N·m2)≈8.85×10-12 C2/(N·m2)
因此
(https://www.daowen.com)
ε0叫作真空电容率(又称真空介电常量或真空电系数),是自然界基本常量之一。
库仑定律的矢量表达式为
![]()
其中,F 21为q 1对q 2的作用力,e r21是从电荷q 1指向电荷q 2的单位矢量。
当空间存在多个静止的点电荷时。实验表明,两个点电荷之间的作用力并不因第三个电荷的存在而改变。因此,n个点电荷同时存在时,施于某一点电荷的静电力等于每个点电荷单独存在时施于该点电荷的静电力的矢量和。这个结论叫作静电力叠加原理。
库仑定律是静电学的理论基础,也是电磁学的基本实验定律之一。库仑定律是物理学中著名的平方反比定律之一。库仑定律只适用于点电荷间的相互作用力。对于一般的带电体,可以把它划分为许许多多的电荷元,每个电荷元可视为点电荷。实验证明,整个带电体受到的力是所有电荷元所受力的矢量和。