4.2.8 常见问题及防治

4.2.8 常见问题及防治

实施质量全程控制制度,以规避前一阶段的通病,提升后期工程的质量。具体来说就是:在施工准备阶段,以施工组织为主线消除质量通病;在施工组织中单独设立章节提出质量通病控制措施,并对具体各专业常见质量通病进行详细阐述;在施工过程中,以工序样板为主线消除质量通病;在验收阶段,以验收标准为主线规避质量通病,质量通病规避分解图如图4-38所示。下面从几个方面分析质量通病,并提出防治措施。

4.2.8.1 测量与放样

1.施工井位与设计井位发生较大偏差

1)现象

工作井或接收井构筑完工后,发现施工井位与设计井位有较大的偏差这种现象,在管道转折处的矩形井中更容易发生。

2)原因分析

(1)坐标或中心桩有错误。

(2)两井位之间的距离与设计图上标注的距离有差错,是由测量引起的。

(3)管道转折点都设在井中心。在圆井时一般会以圆心为转折点,但在矩形井时,常会误以井壁中点为转折点。

3)防治措施

应严格按照操作规程所规定的实施放样复核制度。一旦发生这种错误,如果在施工完工后发现,则无法挽回。

2.管道中心线偏差较大

1)现象

管道顶完在做竣工测量时,发现管道中心线与设计的管道中心线有较大的偏差。

2)原因

(1)坐标或中心桩有错误。

(2)由于测量或移动中心桩过程中发生错误所造成的。

(3)由于测量仪器误差过大所引起的。

3)防治措施

(1)严格执行测量放样复核制度。

(2)测量仪器必须保持完好,必须定期进行计量校核。

3.管底标高偏差较大

1)现象

管底标高在局部或全部与设计标高发生较大偏差。

2)原因

(1)由于测量差错引起的。

(2)由于落水方向错误。

(3)局部则是由于纠偏失控所造成的。

3)防治措施

(1)严格执行测量放样复核制度。

(2)防止测量仪器被人或其他东西碰到而移动。

4.2.8.2 工作井的构筑与设备布置

1.工作井渗漏

1)现象

工作井内产生渗漏,底板上不断冒水或涌砂。

2)原因分析

(1)如果是钢板桩井,则是钢板桩接缝处不严密。

(2)如果是沉井,则是由于混凝土浇捣不良所引起的。

(3)如果是槽壁法施工的井,则是由于内衬施工不良所引起的。

(4)底板浇筑不良。

3)防治措施

(1)施工前应选符合规定的钢板桩和施工方法。

(2)采用降水或采用注浆加固并形成隔水帷幕。

(3)对施工不良的混凝土处采用注浆止水。

(4)底板浇捣应符合设计要求,确保质量,若有渗漏可采用局部修补或注浆加固以堵漏。

2.导轨偏移

1)现象

基坑导轨在顶管施工过程中产生左右或高低偏移。

2)原因

(1)导轨自身的强度不够,受到管子自重的压力而变形。

(2)导轨固定不牢靠,受到外力及震动后发生偏移。

(3)导轨底部所垫木板太软而产生较大变形。

3)防治措施

(1)对导轨进行加固或更换。

(2)把偏移的导轨校正过来,并用牢固的支撑把它固定。

(3)垫木应用硬木或用型钢、钢板,必要时可焊牢。

(4)对工作底板进行加固。

3.洞口止水圈撕裂或外翻

1)现象

(1)洞口止水圈左顶进过程中被撕裂。

(2)洞口止水圈外翻,泥水从中往外渗漏,同时洞口地面产生较大的塌陷。

2)原因

(1)洞口止水圈孔径尺寸不符合设计要求。

(2)止水圈的橡胶材质不符合要求或选料错误。

(3)安装不当,与管子有较大的偏心。

(4)橡胶板过薄或推进时选用的土压力、水压力过大。

3)防治措施

(1)洞口止水圈应严格按设计要求的尺寸和材料进行加工。

(2)洞口止水圈应按设计图纸的尺寸要求正确安装。

(3)土压力太高或橡胶止水圈太薄引起的外翻,应增加洞口止水圈的层数或增加橡胶止水圈的厚度。

4.后靠背严重变形、位移或损坏

1)现象

(1)后靠背被主顶油缸顶得严重变形或损坏,已无法承受主顶油缸的推力。

(2)后靠背被顶得与后座墙一起产生位移。

(3)钢板桩工作坑,由于复土太浅或被动土抗太小而使钢板桩产生位移影响到后靠背的稳定。

2)防治措施

(1)采用刚度好的钢结构件取代单块钢板做后靠背。

(2)后靠背后面的洞口要采取措施,可用刚度好的板桩或工字钢叠成“墙”垫住洞口或管口。

(3)后座墙后的土体采用注浆等措施加固,或者在其地面上压上钢锭,增加地面荷载。

(4)用钢筋混凝土浇筑整体性好的后座墙,并且尽量使墙脚插入工作坑底板以下深一些。

5.主顶油缸偏移

1)现象

(1)主顶油缸轴线与所顶管子轴线不平行或者与后靠背不垂直。

(2)主顶油缸与管节轴线不对称,偏向一边。

2)原因

(1)主顶油缸架没有安装正确。

(2)后靠背没有安装正确。

(3)主顶油缸反复受力以后产生偏移。

3)防治措施

(1)正确安装立顶油缸,同时后靠背一定要用薄板垫实或用混凝土浇实。

(2)重新正确安装油缸架。

6.测量仪器移动

1)现象

用测量仪器观察标尺,偏差一下子大很多或无法找到标尺。在大多数情况下水准气泡也不准。

2)原因

仪器被人碰到而移动或者是固定仪器的架子有移动。

3)防治措施

(1)仪器架一定要固定在基坑底板上,而且底板要牢固,不要把仪器架固定在会移动的支撑等上面。

(2)仪器附近应设栏杆,防止被碰,失准。

(3)发现仪器移动必须重新安装好,必须对原始数据做核对,确保重新安装后的仪器数据正确。同时,还应有人复核,并做好记录。

7.工作井飘移

1)现象

(1)较小的弹性位移,可以从安装在底板上的仪器发现工作井位有规律化变动。

(2)较大的位移,可观察到工作井有明显的移动,而且不容易复位。工作井后靠土体生产滑动、隆起,顶管施工不能正常进行。

2)原因

(1)位移大多发生在覆土层较浅而且所顶管节口径较大,顶进距离又较长的情况下。

(2)主顶推动已超过工作井所允许的最大推力,工作井虽还不至于被损坏,但是工作井后的土体已遭破坏。

3)防治措施

(1)验算沉井后面土体的稳定性。沉井结构形式的工作井则应按沉井计算荷载验算沉井结构强度,并验算沉井后面土体稳定性。钢板桩支护工作井,按顶管荷载验算板桩结构刚度和强度,并验算板桩后面土体稳定性。

(2)加强对工作井位移进行定时、定人的观察,以掌握其动态。

(3)加固工作井后的土体。

(4)使用中继间,从而降低主顶油缸推力。

8.工作井浸水

1)现象

工作井被水淹没,机具设备全浸在水中。

2)原因

(1)在暴雨季节,由于工作井坑所处的位置地势低洼,地面雨水流到工作井内没有及时排出。

(2)地面雨水通过已顶完的管子道,流到工作坑中未能及时排出。

(3)水量虽然不大,但工作坑中的排水设备损坏或排量过小。

3)防治措施

(1)在雨季施工时,应在工作坑周围砌一圈挡水墙,以防止地面水流入工作坑内。

(2)已顶好的管节应把头子封住,防止雨水或其他明水通过管道流到工作坑中。

(3)工作坑中的排水设施应完好,同时要有备品备件,确保及时排水。

4.2.8.3 管材与接口

1.管接口处错口

1)现象

(1)错口不规则,错口不大。

(2)错口较大,有的可达到管壁厚度或更大。

2)原因

(1)错口不大,大多由于管接口处失圆,管壁厚薄不均匀所造成的。

(2)错口较大是由于T型钢套环损坏。T型钢套环套在管子外面的接口处,在纠偏过程中纠偏力会使钢套环损坏。T型钢套环套在管节外面的接口处,在纠偏过程中纠偏力会使钢套环变形,环口扩张。当朝前的张口充塞满泥砂以后,欲向相反方向纠偏时,这个张口必须闭合,张口内的泥砂被挤,T型钢套环的直径会被撑大。反复纠偏,T型钢套环焊缝处易被撕裂,同时,钢套环的环口就发生卷边。T型钢套环连接的前后两只管节就发生错口,随着推进距离的增长,错口会越变越大,甚至使管道报废。

3)防治措施

(1)加强对成品混凝土管质量的复查、挑选。

(2)控制好顶管的方向,有偏差要及时纠偏,慢慢地纠正,以防纠偏过头。

(3)如果在砂性土中应增加触变泥浆的注入量,让浆套很好地形成。

(4)在砂土中顶管,最好采用F型钢套接口,因为F型钢套接口的前半部是埋在混凝土管内的,在纠偏过程中能承受较大的纠偏力,钢套不会损坏。

2.管端破损

1)现象

(1)在顶进过程中管端内壁产生剥落。

(2)顶进过程中发现管端出现环形裂缝,同时有一部分内壁剥落。

2)原因

(1)两管的张角过大,使其受压面积下降,压应力增加,超过管节所允许的压力。

(2)主顶油缸的总推力超过了管节所能承受的推力,往往发生在靠近工作坑处的几节管节中。当然后一种情况也有可能与前一种情况同时发生在一处。

(3)木垫环太薄或太硬。

3)防治措施

(1)在顶进过程中认真控制好方向,纠偏不要产生大起大落。

(2)适当增加垫板的厚度,尽量扩大在张角大时的受压面积。

(3)在损坏的接口处用环氧树脂修补后再安装上内套环。

3.管接口渗漏

1)现象

管接口处有地下水渗入或者产生漏水漏泥现象。

2)原因

(1)管接口损坏。

(2)张角过大使密封失效。

(3)橡胶止水圈没有安装正确或已损坏。

3)防治措施

安装前应查验橡胶止水圈的规格、型号与外观质量,正确套入混凝土管的插口槽。在止水圈进入套环之前要涂抹一些浓肥皂水。止水圈不能有翻转有挤出现象。

4.管壁裂缝与管壁渗漏

1)现象

管内壁有渗水,并有环向、纵向或不规则的裂缝。

2)原因

(1)管口附近出现环向裂缝,大多是纠偏过量。此种裂缝在企口管中最为常见。

(2)管内产生纵向裂缝则有可能:管顶载荷太大,管节未达到应有的养护期,成品管节质量有问题,管道的混凝土不符合标准要求等。

(3)管节承受的推力过大。

3)防治措施

(1)防止纠偏过度,企口管管口张角每增加0.5°,其承受的推力则下降50%左右。

(2)可在企口管承受推力的端面上垫上一定厚度的木垫环,以增加管口承受推力的接触面积。

(3)加强管道使用前的检验工作。

(4)安放中继间。

4.2.8.4 中继间

1.中继间渗漏

(1)现象。在使用了一段时间以后,中继间发生渗漏现象,而且越来越厉害。

(2)原因。这是由于中继间的密封受到磨损以后而产生失效所致。

(3)防治措施。中继间密封件应采用耐磨材料,如耐磨橡胶等制成。密封件在磨损以后应有补偿的办法,用它来重新调整压缩量,形成有效的密封。也可把密封件设计成可更换的,一旦磨损严重时予以更换。

2.中继间易回缩

(1)现象。中继间在停止供油或把阀切换到回油位置时,中继间前面的管子就往后退,中继间油缸回缩。

(2)原因。这种情况大多发生在复土比较深、所顶管子的管径比较大而且中继间与顶管机靠得比较近的情况下。

因为复土比较深及管径比较大,则作用在顶管顶断面上的力也比较大,该力可使中继间油缸处于回油状态下时往后缩。另外,由于中继间比较靠近顶管机,所顶管子比较少,在管壁间所形成的摩阻力不足以克服作用在顶管机上的力,从而使中继间油缸回缩。

(3)防治措施。中继间,尤其是紧接顶管机后的中继间应与顶管机保持一定的距离,不能靠顶管机太近。如果发生了上述情况,则必须在中继间油缸的回油路中安装一只单向背压阀,并且把其背压设定在中继间不会产生回缩的状态中。这样,当该中继间后的管子推进时,超过它所设事实上的背压时,中继间油缸才会回缩。

3.中继间处发生折点

(1)现象。在中继间处有一个明显的折点,使管子的方向不易控制。

(2)原因。这种情况大多发生在曲线顶管时或方向纠偏比较猛的地方。因为这种状态本身已成为能使中继间产生折点的条件,再加上中继间配合间隙过大及中继间油管接法不妥,或者由于所用中继间油缸的行程太长,从而造成在中继间处产生一个折点。

(3)防治措施。中继间处产生折点以后,在其后的推力会明显增加。预防措施是在方向纠偏过程中不能过猛,即不能有大起大落的现象。另外,中继间油缸应从下部向两边分别供油,或者分多组进油,以减小每个油缸推力的衰减值所造成的中继推力分布不均匀现象。中继间油缸的行程一般以300~400mm之间为好,不宜太长。

4.2.8.5 注浆减摩

1.注浆材料选用不当

(1)现象。在空隙比较大的砂土中,若注浆效果不明显,则注浆与不注浆对推力的影响不大。

(2)原因。这大多是因为注浆材料选用不当,或者是调制不当,使浆液都渗透到砂土层里了,形不成浆套的缘故。

(3)防治措施。在空隙较大的砂性土中,应选择一种单一的化学浆。这种材料在没有吸水之前,看上去是一种白色粉末,当它吸收了水以后,体积可以有数百倍的膨胀。这时,看上去就像一颗颗透明的鱼肝油丸。由于它的体积较大,就不容易在砂土中溢出。

2.浆液不符合要求

(1)现象。注浆用的浆液泥浆水一样,太稀。

(2)原因。如果用这种很稀的注浆注入管外的土层里,根本形不成浆套,也达不到注浆应有的效果,有时甚至比不注浆还要坏。产生这种现象的原因:注浆材料的质量太差是浆液太稀的原因之一。注浆材料是以膨润土为主,加入一些添加剂而成的。如果膨润土的质量太差,它没有在吸水以后较快的膨胀这一性能,或者膨胀的体积不够大就会造成浆液太稀。如果膨胀的时间不足,也会使浆液太稀,还有如果添加剂失效同样会使浆液太稀。

(3)防治措施。应该选用质量好的注浆材料,在调制浆液时一定要经过充分搅拌,然后放置一定时间再用。所以,盛浆容器应有两个以上。再有,如果是加有添加剂的注浆材料,则必须在它的质量保证期(一般为三个月)以内使用。

3.注浆工艺不完善

(1)现象。注浆管有堵塞,注浆减摩效果不明显,有时浆液冒出地面。

(2)原因:

①没有安装注浆专用单向阀,让流砂把注浆孔和部分管道堵住,从而使注浆效果差。

②管接口的注浆孔设置不合理,且注浆压力太高使浆液冒出地面。

(3)防治措施:

①在注浆孔中一定要设置单向阀,它只能让浆液流出,而不让流砂流入。

②在混凝土或钢管顶管中,都应设置工艺性好的注浆孔。浆液从注浆孔内流出时,先在管端内形成一个浆环,然后再从此内挤出,从而保证浆套的形成。

③采用脉动小的螺杆泵注浆而不要采用活塞式泵,同时降低注浆压力但不减少注浆的量。这样浆液就不会冒到地面上来了。

4.2.8.6 地面沉降与监测

1.地表隆起

(1)现象。在任何一种顶管施工中,若操作不当,都会使机头前方沿滑裂面范围内的土体遭破坏使地表隆起。

(2)原因。无论何种形式的顶管,其他表隆起原因都是由于欠挖所造成的,而且在欠挖的同时又使机头前的土压力大于顶管机所处土层的被动土压力所造成的。

(3)防治措施。严格控制排土是与推进速度之间的关系,并且控制好机头前的土压力,务必使它小于顶管机前头的被动土压力。

2.地面沉降

(1)现象。在顶管机过后或顶管施工完成以后,在管子中心线左右两侧的地面产生沉降。并且,随着时间的推延,沉降槽的宽度与深度均匀与日俱增。

(2)原因。沉降的原因有四种:第一种是超挖所造成的,正常的挖土量须控制在应挖土体的95%~100%之间。第二种是顶管过程中对土拓扰动而产生的沉降。第三种则是由于润滑浆套内的浆液流失所造成的沉降。第四种是由于采用了辅助的降水施工所造成的沉降。

(3)防治措施:

①控制好进尺与出土量之间的关系,做到不超挖。

②润滑浆要有一定的稠度,不能太稀。如果对沉降要求很高的情况下顶完全程后,必须用充填浆把润滑浆完全置换出来。

③尽量少采用降水这一辅助施工手段,而采用无须降水的机械式顶管施工。

3.沉降监测

1)现象

在顶管过程和顶管完工以后,地面沉降会由最初的沉降量较大进入到最终的稳定状态。沉降槽的宽度也会由慢慢扩大进入到最终稳定。在顶管施工的沉降过程中,应加强观测和监控。

2)原因

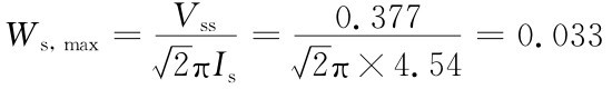
根据经验,沉降槽的断面形状近似于正态分布曲线,其最大沉降量可由下式求出:

Ws,max=Vss(41)■2πIs

式中 Ws,max——中心线处最大沉降量(m);

Vss——损失的土体体积(m3/m);

Is——沉降槽的宽度系数。

当从地表到管道中心轴线的深度Z。在≥3m且≤43m的黏土中时,推导的Is的计算公式为:

(42)Is=0.43(Z0-Z)+1.1

式中 Z0——从地表到管道中心轴线的深度(m);

Z——沉降测定面的深度(m)。

如果沉降测定面在地表,则Z=0。

1985年又有学者推荐Is的计算公式为

Is=0.64+0.48(Z0-Z)±1.01(43)

对于低固结土,则为

Is=0.64+0.48(Z0-Z)±1.01

例如,一个处于软压缩性土壤中的管道,从地表到管道中心轴线的深度Z0为8m,Z=0,代入式(4-2),则

Is=0.43×(8-0)+1.1=4.54

如果管外径为4.0m,土体体积损失为3%,则

Vss=πd24×3%=3.144×42×0.03=0.377m3/m

这时,管道中心线的地表最大沉降为

Ws,max=Vss■2πIs=0.377■2π×4.54=0.033

(3)防治措施。严格地讲,在顶管施工过程中,地面沉降是不可避免的。但是,采用不同的施工方法,会有不同的沉降结果。沉降由大到小的顶管施工方法是手掘式顶管、气压式顶管、土压平衡式顶管、泥水平衡式顶管。另外,同一顶管施工方法,由于土质的不同和复土深度不同、管道直径不同,也有不同的沉降。只有掌握了这些基本规律,才能对沉降做出有效的预测。

4.2.8.7 手掘式顶管

1.严重偏高

(1)现象。管子前面出现塌方,工具管及管子均严重偏高。

(2)原因。管子严重偏高是手掘式顶管中常见的质量通病。其产生的原因都是土质较差的前提下,辅助施工措施(如降水等)又没有很好发挥作用时,工具管前方发生塌方。这时,操作者为了处理塌方而错误地采用了所谓的“闷顶”,即不出土的情况下一味地往前顶而造成的。

因为在工具管前方发生塌方时,塌方的土就按土的自然休止角涌入工具管内,工具管前上方的土受到了扰动。这时,工具管往前顶时就会沿着土的自然休止角往上爬。当清理完管内的土再进行测量时,工具管已爬得很高了。情况严重的工具管可爬到地面附近,在数十米长度内可一下子爬高2~3m。所以“闷顶”是万万不可采用的。

(3)防治措施。当工具管前方出现塌方以后应采取必要的辅助施工方法来稳定挖掘面。如采用井点降水或采用注浆等措施,也可在工具管内充以适当的气压来使挖掘面稳定。

2.左右偏差较大

(1)现象。左右偏差已超差,而且方向纠偏越纠越偏。

(2)原因。左右偏差一般较高低偏差引正起来容易些,发生在手掘式顶管中的这种偏差不外乎于以下几种原因:

①采用单排单边井点降水,产生靠近井点的一边的土较硬,另一边土较软,因此工具管和管节偏向土软的一边。

②因为手掘式顶管比较简单,施工人员没有引起足够的重视,派不太熟悉测量仪器的人进行测量,仪器被看错。

(3)防治措施。降水也好,注浆也好,尽量使管节两侧的措施对称。测量人员一定要经过严格培训合格以后方可上岗,初上岗的人员要在有经验较丰富的人员带领下进行作业,同时多加以复核,以免测量差错。

3.严重偏低

(1)现象。工具管越顶越低,工具管内下部的土比较湿,比较软。

(2)原因。造成这种偏差的原因是由于工具管上部土较硬,下部土较软。土软硬可有两种情况:一种是土质本身存在着上层较硬,下层较软,我们是在两层土之间顶进。另一种是由于辅助施工措施使用不当或该措施没有充分发挥作用的结果。例如,当采用井点降水时其降水深度太浅,没有降到管底以下,从而发生了前述情况。

(3)防治措施。尽量多挖上部较硬的土,而少挖下部较软的土。延长井点降水时间或设法改善井点降水效果。

4.主顶推力过大

(1)现象。主顶油缸的推力已超出正常顶进阻力,每平方米管外面积的综合摩阻力已达20k N以上。

(2)原因。管节顶得不直,方向和高低偏差有大起大落现象。注浆效果不好,使管节与土层间形不成浆套。这是手掘式常见的问题之一。因为手掘式顶管的工具管是敞开的,前几节管节不能充分注浆,否则浆液会流到挖掘面上去,因此,不易形成浆套。或者是上述两种情况兼而有之。

(3)防治措施。方向纠偏切忌过猛。加强注浆管理。可适当地增加浆液的稠度和注浆量。提前安装中继间。如果当主顶推力接近设计总推力的80%时,就应安装中继间。当主顶推力达到设计推力的90%时,就应启动中继间。如果是长距离顶管,第一只中继间的安装位置还可适当提前些,以留有余量。

5.地面沉降较大

(1)现象。当管道顶进过后,在管位上方地面的两侧有较宽的平行的沉降裂缝,同时管中心有明显的沉降槽。

(2)原因。大多数手掘式顶管施工时均采用井点降水作为辅助施工措施。井点降水时土体会因失去地下水而产生一次压密沉降。再加上手掘式顶管的挖掘面是敞开的,土体损失也比较大,会产生较大的地面沉降。这种沉降会因土质的不同而不同,但是地面沉降大是手掘式顶管的一个通病。因此,我们在做施工方案时就应把这个因素考虑进去,也有可能是复土太浅所致。

(3)防治措施。尽量使工具管内土体不要出现超挖、塌方。

6.地面隆起

(1)现象。在所顶工具管前方一定距离的地面上发生隆起。

(2)原因。工具管内积土过多且带土一次推进距离过长,在工具管内积聚的土形成一个土塞,再由土塞使工具管前上方的土体被破坏,从而使地面产生隆起。

(3)防治措施。适当地掌握好挖土与顶进的关系,做到勤挖、勤顶。同时加强地面观测。

4.2.8.8 泥水式顶管

1.泥水冒出地面

(1)现象。在顶进时,地面有泥水冒出,在泥水平衡顶管中称之冒顶。

(2)原因。因覆土层太浅。泥水平衡顶管的复土深度必须大于1.5倍管外径,否则易发生冒顶。因土质情况所致。泥水平衡顶管的复土如果是渗透系数很大的卵石、粗砂等也容易产生冒顶。

(3)防治措施。控制泥水密封舱的水泥压力,保持在1~1.1倍正面土体静止土压力为宜。土层渗透系数很大,或复土深度小于1.5时,应加深复土。增加进水中黏土的比例,适当提高进水比重,使泥水不易渗透。

2.主顶推力猛增

(1)现象。没有顶几节管道,主顶油缸的推力已达极限,甚至有管道被顶裂。

(2)原因。这种情况大多出现在含水量少的硬黏土层而又采用泥水顶管施工场合。因为土层的含水量少,土遇到泥水以后会吸收水分,同时体积也会产生一定的膨胀。又因为所用管材混凝土管在顶进过程中又会吸收水分。这样黏土就会被粘在所顶管子的外周。此时顶管的推力已不单纯是克服管子与土之间的摩阻力,而是克服粘在管外的土与土层之间的剪切力,这种剪切力随顶进距离的略微增加而会猛增,而且远比管子与土之间的摩阻力大许多,因此会使顶力猛增。

(3)防治措施。在这种情况下可设法把顶入的管道和顶管机退出。使顶管机外径大于管道外径。另外在所有顶进管外涂一层水柏油之类的防水涂料,使土不易粘在管外表。最后还须及时补充足够的润滑浆。

3.爬高

(1)现象。在泥水顶管中,顶管机会越爬越高,即使纠偏也丝毫无法减小这种爬高的趋势。

(2)原因。这种现象大多发生在水力切割土体的非泥水平衡顶管中。由于水力切割土体时,土体会沿一定坡度分布,特别是遇到砂性土时更是如此。这样,在顶进时,顶管机会沿这个坡度往上爬。

(3)防治措施。在泥水顶管的选型上要慎重,遇到砂性土就应选泥水平衡式顶管,并且应采用刀盘切割土体的顶管机,而不应选用水力切割土体的顶管机。

4.叩头

(1)现象。顶管机在推进过程中一直往下走,即使纠偏使用也不明显。

(2)原因:

①大多发生在粉砂等砂性土中。由于泥水平衡顶管机比较重,而且机器转动起会相起震动,这种震动会使砂性土很快液化,从而降低了它的承载力,就会使顶管机产生往下沉的趋势。

②或者是遇到了上下两层不同性质的土,由于下面一层土较软,而使顶管机往下偏。

③泥水压力控制不好。

(3)防治措施。首先应仔细阅读土质资料,如果是在粉砂等砂性土中顶进偏低时,一方面把进泥的泥浆浓度适当降低。同时要停止刀盘转动和减小顶管机的推进速度。

如果是遇到两层软硬程度不一样的土时,应注意让顶管机的头部略微往上翘一些,同时把前三至四节混凝土管与顶管机后壳体联成一体。

5.泥水管内产生沉淀、堵塞现象

(1)现象。泥水管内泥水流动不畅通,顶管机推进因此也不顺利。

(2)原因。泥水管内在泥水管内管生沉淀这种现象大多发生在砂土层中。一是由于排泥泵效率低下流量不足,在泥水管内的流速应小于临界流速而使泥砂产生沉淀。二是在顶管机停止推进以前对管内冲洗力度不足而使泥砂产生沉淀。如果是粉细砂,一旦沉淀在泥水管内,时间一长板结起来就比较难冲洗干净。

在含水量少的黏土层中,黏土会变成如同鸡蛋一样的泥团,如果泥团过大,它在管道的弯头处或蝶阀处会把管道堵塞。无论是哪一种管道堵塞,都会影响顶管机的正常推进,时间一长,顶管机会往下沉,从而影响到顶管的质量。

(3)防治措施。如果排泥泵达不到所需的流量要求时,就应该更换。停止推进前必须对排泥管道进行较为彻底的清洗。如果是在含水量少的黏土中推进,应减小刀盘每转一圈时所切削泥土的厚度,同时适当加大送水量。另外,在排泥管道与基坑旁通之间加一只沉淀箱,可让土块或卵石在该箱里沉淀下来,过一段时间只需打开箱底把它们排出即可。

6.泥水压力过高

(1)现象。在顶进过程中,在位于刀盘前土体滑裂面的范围内的地面有渗水或冒水,并有微微地隆起。如果当机头通过此处之后,地面又会产生较大的沉降,且泥水压力表的压力较高。

(2)原因:

①顶进距离较长且排泥系统中无中继泵,使排泥流速过低或流量过小造成排泥不畅。

②排泥管路有漏气。

③排泥泵扬程过低,无法满足要求。

④推进速度过快,排泥管有堵塞。

⑤进水泵排量过大,与排泥泵不匹配,造成泥水压力增高。

⑥中继泵排量过小。

(3)防治措施:

①在顶进距离过长时,应适时安装中继泵。

②检查排泥管路有无漏气并设法把漏气处堵住。

③更换较高扬程的排泥泵。

④保持合理的推进速度。

⑤做好进水泵、排泥泵、中继泵之间的匹配工作。

4.2.8.9 土压式顶管

1.地面隆起与塌陷

(1)现象。①地面隆起,且有放射状裂纹。②地面下陷,在沉降槽两边有平行的两条裂纹。

(2)原因:

①不论是地面隆起还是地面下陷,都是由于没有控制好土仓压力的结果。对土压平衡顶管而言,其土仓的压力由下式决定:

P=P0±20(44)

式中 P——土仓内控制土压力(k Pa);

P0——静止土压力(k Pa);

P0=K0γh(45)

式中 K0——静止土压系数;

γ——土的容重(k N/m3);

h——土层的厚度(m)。

在式(45)中,静止土压系数K0与土的性质有很密切的关系,在砂性土中,K0一般可取0.25~0.33之间;在黏性土中,K0一般可取0.33~0.70之间。

②如果当土仓内的控制土压力大于掘进机所处土层的被动土压力Pp时,地面就会隆起。隆起的部位是位于顶管机机头的前上方。这种隆起有两个特征:第一,反应相当迅速。即只要当土仓内土压力一超过Pp时,地面立即隆起。第二,隆起的中心有好几条放射状的裂缝向四周伸展开去。而被动土压力则由下式确定:

Pp=γhtan2(45°+Φ/2)+2cot(45°+Φ/2)(46)

③如果当土仓内的控制土压力小于顶管机所处土层的主动土压力Pp时,地面就会下陷。下陷最深的地面是位于顶管轴线上方的地面上。下陷的反映没有隆起反映那么快,而是有一个过程的。另外,地面下陷以后,在地面沉降槽的边缘会有两条平行的裂纹。主动土压力由下式确定。

Pa=γhtan2(45°-Φ/2)-2cot(45°-Φ/2)(47)

式中 Φ——土的内摩擦角(°);

C——土的内聚力(k Pa)。

(3)防治措施:

①严格控制好土仓内的控制土压力,不使它超出允许范围之外。一般在静止土压力± 20k Pa范围之内。

②如果在复土比较浅或过河等条件比较差的情况下,决定了土仓内的控制土压力以后,还须和它的主动土压力及被动土压力相比较,使Pmin>Pa,Pmax<Pp

③一旦发现有隆起,应把控制土压力调低些。反之,一旦发现有较大的下陷,则应把控制土压力调高一些。调整以后,还须对地面的变化情况加以跟踪。

2.顶管机偏转

(1)现象。顶管机转向顺时针或逆时针,给操作、排土、测量等工作带来诸多不便。

(2)原因。在出洞之前,如果是大刀盘顶管机,由于机身与导轨之间的摩阻力不足以抵抗刀盘转矩的反力而使顶管机偏转。刀盘如果是顺时针方向转,顶管机则往逆时针方向偏转,反之则相反。

不论是大刀盘还是多刀盘顶管机,在土层中顶进过程中都会发生偏转。这种偏转往往不仅仅限于顶管机,而且涉及整条已顶进的管道。大刀盘可用反力来解释这种偏转,而多刀盘则无法解释这种偏转现象。但有一点是可以肯定的:即纠偏越频繁,方向歪歪扭扭则这种偏转越大;反之则小。

(3)防治措施。可在顶管机或随其后2~3节管节上,焊上防偏转的定位板,让它卡在导轨的两边。在顶管机出洞时,可用两只较大吨位的手拉葫芦,一头挂在前座墙的挂钩上,另一头钩在顶管机或混凝土管的拉环上,当管子徐徐推进时,把手拉葫芦慢慢地收紧,就可防止顶管机在出洞时发生偏转。

利用大刀盘的反力来校正这种偏转。校正时必须注意到以下几点:第一,顶管机向哪个方向偏转,刀盘就向哪个方向转动。第二,要适当地加大刀盘的吃土深度,以使其力矩增大,否则不易校正过来。

3.顶管机飘浮不定

(1)现象。当管节顶到一定距离如50m以外时,会出现以下情况:主顶油缸一旦顶进,顶管机则沉下;主顶油缸一旦退回时,顶管机会浮起。如此让人感觉顶管机有关飘浮不定,不仅影响测量,而且也影响管子顶进质量。

(2)原因。此种现象为土压平衡管中的一种特有现象,它必须同时具备以下几个条件:第一,这种土压平衡顶管机的重量比较轻;第二,是在复土深度较深的软黏土层中顶时;第三,这种黏土的容重比较轻,即土中的气体含量比较丰富。

当主顶油缸顶进时,土仓内的土压力会增高,使顶管机周围的土中所含的一个个微小的空气泡被压缩,顶管机下部的土的体积会变小,于是顶管机沉下。反之,当主顶油缸退回时,顶管机下部的土就不受主顶油缸顶进压力的影响,于是这些微小的气泡就会膨胀,从而可以把顶管机托起来。与此同时,顶管机上部和左右两侧土的气泡也会随着主顶油缸顶进时,它们被压缩,当主顶油缸退回时它们会膨胀,但它们的变化对顶管机的影响不大,所以不会在顶管机上反映出来。

(3)防治措施。可适当降低土压平衡顶管机内的土压力。尤其是在主顶油缸要退回时,先让螺旋输送机排土,把土仓内的压力降到与主动土压力较接近的值。为了使测量数据有可比性,每次测量都应在主顶油缸顶进时进行。如果顶管机太轻还可在顶管机内压上些铅块或铸铁块。

4.喷发

1)现象

喷发是指土压平衡顶管机的螺旋输送机的排土口会喷出大量的泥水。

2)原因

(1)是顶管机前方有较丰富的明水。如遇到了断裂漏水的上、下水管道;与河床贯通;与水塘等积水、蓄水池贯通。

(2)顶管机遇到了承压水或地下蓄水包。

3)防治措施

(1)立刻将螺旋输送机出土口关闭。

(2)调查属于哪种类型的水。

(3)如果与河道等贯通则必须用不排土的方法“闷顶”一段距离。这时应观察土压力表,不能让它太高,否则就须顶顶停停,直到不再喷发为止。这里的“闷顶”与手掘式“闷顶”有区别,它是刀盘转而不排土。

(4)如果是遇到承压水或水包,喷发一段时间以后,水的压力会慢慢降低,水流渐渐减小。这时,可把螺旋输送机反转,同时把顶管机慢慢地向前推进,直到不排水时为止。

5.叩头

(1)现象。顶管机在出洞时头往下偏差较大。

(2)原因。顶管机在出洞时,或是由于洞口没有延伸导轨,或是由于土质软而产生叩头,不仅土压式顶管有,其他形式的顶管也有这种现象。

(3)防治措施。首先,在洞口处应设置延伸导轨或者用砖头砌一个弧形的托,把顶管机下部托住,不让它叩头。其次,如果土太软则应把纠偏油缸全部收紧,同时把顶管机与其后的三到四节管道联成一体。

4.2.8.10 气压式顶管

1.漏气

(1)现象。空气的消耗量增加,气压仓的压力下降或不稳定,继而影响顶管质量及进度。

(2)原因。顶管机设备自身的原因如管路、气压仓等处有漏气。是土质条件发生了变化,地面或所顶管道产生的漏气。

(3)防治措施。检查顶管机及其附属设备及供气管路等处,看看有无漏气,有则加以堵漏。

所顶管道内产生漏气多由接口处密封不良所致且在全气条件下顶管时会发生。对有漏气的接头用橡胶内衬套及内套环封住。

由土质发生变化的防治最为复杂。可以是因为复土层太薄,也可以是没有足够厚的黏土层,还可以是由于土层松散等。如果这只是局部的,那只要推过这段即可,可用降低气压的办法来推过去。如果是较长距离或全线都是这样,那只能改变方案采用另外合适的顶管施工方式。

2.地面下陷

(1)现象。在所顶管道上方的地面产生很大的沉降,局部地面下陷较深,还可以导致地下公用管线损坏。

(2)原因。气压式顶管施工方法自身决定了它在施工以后的地面沉降较大。原因是利用气压在挖掘面上疏干地下水时土层会产生一次压密沉降过程。另外,顶管作用过程也会产生一次沉降。气压顶管施工的沉降是这两次沉降的叠加,因此是比较大的。

局部产生较大的沉降有可能是由于超挖所致,沉降过大以后必然会导致地下管线损坏。

3.偏差较大

(1)现象。高程或左右偏差出现较大值,而且纠偏的效果不明显。

(2)原因。气压式顶管采用的是机械手挖中者采用人工挖土,在纠偏过程中,除了使用纠偏油缸来进行纠偏以外,还可以挖土方式与多少来辅助纠偏,大多不易出现较大偏差。只有在复杂土质条件下才可能出现较大偏差。其一是挖掘面上产生较大的塌方,顶管机则容易偏高。其二是遇到古旧的废弃的河道,就会出现偏差。如果河道偏左,方向则易向左偏;反之,则相反。

(3)防治措施。只有以挖土方式辅助纠偏。如偏高,则尽量挖下部的土,并且让土仓内的土适当地充满些,以土压力来防止塌方;如果偏左或偏右,则多挖去右边或左边的土,同时,与方向纠偏系统共同进行纠偏,这样效果会较明显些。

4.2.8.11 无排土顶管

无排土顶管多在直径较小、覆土较深、土质较软、距离较短的条件下施工。它的主要特征是把土向顶管机四周挤正,在顶管机过后,紧随在顶管机后的管子也顶入土中的施工方法,这种挤压有机械的,也有采用气动冲击等多种形式的,而不用排土则是它们共同的特征。

1.方向偏差

(1)现象。方向偏差较大,已无法进行测量。

(2)原因。由于无排土顶管施工的口径一般都较小,只在Φ100mm与Φ300mm之间,所以方向一有较大偏差,就会发生测量靶找不到而无法测量的现象,因此,对无排土顶管的方向要求较严格。

方向偏差大多是由于土质条件所造成的,如土较硬,就会产生向上的偏差。这是因为在顶管机下部的土不易再被压实,而使顶管机产生向上的分力,从而使顶管机易偏高。

也有可能是遇到障碍,使顶管机产生偏差。

(3)防治措施。如果是土质条件较硬而使顶管机偏高可改变顶管机头部的几何形状来加以改善。普通的顶管机的头部大多做成圆锥形,顶管机在顶进过程中容易产生径向分力。尤其在土质条件较硬的情况下,这种向上的分力较大,必然使顶管机产生爬高。如果把顶管机机头改成由一个个直径从小到大圆柱体叠加在一起的宝塔形,在其顶进过程中就只受端面的阻力而没有或很少有径向分力,顶管机也就不易产生偏差。另外,如果再辅以方向纠偏装置,这样一来,顶管机就不容易造成偏差了。当然,遇到障碍的偏差是无法避免的,一般情况下只有把所顶管子及顶管机拨出,在另外一处再顶。

2.推力增大

(1)现象。在顶管过程中,主顶油缸的推力突然增大。

(2)原因。这大多由于顶管机前有障碍所致。与其他顶管形式相比较,无排土顶管属于向微型顶管,口径比较小。如果以10倍顶管机外径的深复土计算,也不过3m左右。在浅土层中障碍比较多,这是无排土顶管经常遇到障碍的原因。

(3)防治措施。可以拨出重新顶,也可以在地面开挖,把障碍物排除以后再顶。

4.2.8.12 夯管

夯管就是空气锤把水平的钢管夯到土层中去的一种铺设地下管道的施工方法。它所夯的管大多在直径较小钢管,个别的钢管直径可达2m左右。它只有用于钢管,而不能用于混凝土管或PVC管等。

1.方向偏差

1)现象

由于夯管大多没有方向校正装置的及其方向偏差的采用的测量手段也不够精确,所以经常出现较大偏差。而且这种偏差许多只有在钢管到达接收坑以后才能精确测量出来。

2)原因

(1)钢管接头在焊接时前后管节的轴线不直是方向偏差产生的主要原因。

(2)也可能是由于土质或障碍的原因所造成的。

3)防治措施

(1)顶管工作坑要有足够的长度,从而可使钢管管节长些,以避免焊接时前后两管不直而产生方向偏差。

(2)钢管端面与轴线要保持垂直。

(3)焊接时,前一节钢管留在工作坑内有足够的度长,以便于对得更准确些。而且,导轨也要有足够长度。

2.夯管机损坏

1)现象

夯管机在夯管过程中损坏,外壳破碎。

2)原因

(1)夯管子距离过长,使夯管机一直处于超负荷状态下运转。

(2)土质太硬不适合夯管作业。

3)防治措施

(1)设计、夯管距离时应充分考虑夯管机能力这一因素。

(2)若遇到不适宜于夯管作业的土质时,就必须改变作业方式。

(3)属正常损坏,更新。

4.2.8.13 钢管顶进

1.管接口断裂

1)现象

顶进过程中发现有的接口出现裂纹并从中有水渗漏出来。

2)原因

(1)接口焊接质量有问题:焊条牌号与钢管材料是否适用;焊接坡口是否标准;焊缝是否焊缝。有的因焊缝拉于钢管中的底部,有导轨等搁着,就不焊,这是非常危险的。这时钢管下部只有管内焊缝,如果在此焊缝处产生向上的折角,焊缝就很容易被破坏。

(2)纠偏过于频繁,偏差且又过大,使焊缝被破坏。

3)防治措施

(1)应根据钢管材料选用合适的焊条,在冬季、雨天还要防止焊缝骤冷产生裂纹。

(2)应根据焊接规范对钢管接口进行设计,推荐采用K型坡口或单V型坡口。

(3)人不能进入的钢管采用单V型坡口,在管外进行单向焊接双面成形。对人能进入的钢管采用K型坡口,且内外均要焊透,为此,需在工作坑内设低于底的焊接工作坑,且在导轨上留出100mm左右的焊接工艺槽口。焊接后还应采用拍片或无损探伤,以确保焊接质量。

(4)防止过大的纠偏,更要防止过大的蛇形,以减小焊缝在承受不必要的外力时便破坏。

2.推力增大

1)现象

顶进过程中主顶油缸的推力超出正常的推力的有很大的增加。

2)原因

(1)钢管方向不准。钢管推进与混凝土管推进的最大区别就在于接口,前者是焊接接口,呈刚性,后者是柔性接口。因此,校正方向对推力的影响就比较大。

(2)地面上堆积的荷载是否太重。这种情况下所有顶管的推力都会增大,不仅仅是钢管顶管。地面堆积了大量预制构件,砂石材料就会增加管子的摩擦力。

(3)是否有障碍物卡住管外。

3)防治措施

(1)要注意方向校正,不要急于纠正偏差,要缓缓地纠正。

(2)清除地面堆积物。

(3)如果有障碍物卡住时,钢管在推进中会有变形或有声响,应把障碍物排除。

4.2.8.14 管棚施工

管棚施工是在要铺设的管道或地下建筑物的上部或周边先用微型顶管机顶一排或一圈钢管作为支护,钢管与钢管之间没有可止水的接口,然后,在钢管棚架下或里面进行施工的一种辅助施工方法。

1.接口渗漏、错口

(1)现象。在棚架内施工时,发现有的钢管与钢管之间的接口有渗漏,有的甚至出现错口现象。

(2)原因。产生接口渗漏现象大多为接口的密材性差,或者是接口有损坏。出现错口现象则是微型顶管机在顶进过程中方向控制得不好,使两根钢管轴线不平行所致。另外,可能是最后插入的一根钢管的位置不准确,导致接口密封失效所致。

(3)防治措施。在有渗漏的接口内充填止水材料,如遇水膨胀橡胶、油棉、泡沫塑料等,或者在有错口的地方采用注浆方法来弥补。在封闭最后一根钢管时一定要准确定位。

2.顶棚钢管变形严重

1)现象

在挖掘过程中测出顶棚钢管的变形已大大超过允许的范围。

2)原因

(1)支持开挡不适宜地拉大,增加了顶棚的跨距。

(2)挖掘面上出现塌方,也增加了顶棚的跨距。

(3)地面载荷有变化或者与原先设计的值有较大的出入。

3)防治措施

(1)及时支撑或临时支撑加密以减小变形。

(2)注浆以减少挖掘面坍方,保持挖掘面上的稳定。

(3)地面能卸载的及时进行卸载。

4.2.8.15 曲线顶管

1.曲率半径增大

1)现象

在较小曲主率半径的顶管过程中,怎么也保持不了设计所要求的曲率半径,而是一味地增大。

2)原因

(1)这种现象大多发生在软土地基中,由于地基的反力不够大,不能够产生足够大的径向分力而使管道按设计的曲率半径推进。

(2)也有可能是顶管机无法按设计的曲线推进。

3)防治措施

(1)如果是软土中地基的反力不够大,可以采取以下两种方法解决。其一是从地面上向导管推进轨迹的外侧注浆,以增大地基的反力。其二是采用预调式曲线顶管。所谓预调式曲线顶管就是在每两个管子连接的接口处,安装可调节的螺旋千斤顶(其实是一个较大的双头螺丝,两头螺纹旋向相反,中间有六角可以用板头调节接口的缝隙),在进入曲线段之前,可以预先把管子调整到设计曲线所需的张角。

(2)减小顶管机各节的长度。如果曲率半径还可把顶管前做成前中后三段,没有两组可调节曲率半径又可进行方向纠偏的油缸,从而解决顶管机自身的不足。

2.曲率半径变小

1)现象

在曲线顶管过程中,顶力突然增大,而且大得异乎寻常。

2)原因

在曲线顶管中顶力突然异乎寻常地增大的现象大多发生在含水量低的较硬的土层中。由于顶管机机壳或混凝土管节过长,在曲率半径变小时没有达到应有的超挖量,此时顶管机或混凝土管节在已挖成的曲线巷洞内转不过弯来,所用顶力激烈增大。

3)防治措施

(1)增大超挖量。可以把超挖刀加和或者把刀盘的偏心加大。

(2)减小管节长度或顶管机机壳长度。有时,为了顶小曲率半径的管子,往往把原来长2m的管子制成长1m的管节。由于管节长度变小了一半,故也称之谓半管推进。

3.管口破损

1)现象

在靠曲线内侧的管接口有混凝土剥落或裂缝产生。

2)原因

这是由于管接口的张角增大,管口接触的面积变小而使压应力超过管口所能承受的极限,才导致管口损坏。

3)防治措施

(1)适当增加管接口内木垫环的厚度,以让其管接口张角增大时却使其接触面积不至于变得太小。

(2)减短管节长度以减小张角,从而使管口接触面积不至于变得太小。

(3)对已损坏的管接口进行修补,然后用上内套环不让其损坏扩大。

4.2.8.16 复杂条件下的顶管施工

1.深覆土条件下易发生的间题

1)现象

(1)进出洞口不顺利。

(2)管道容易产生倒退。

(3)初始推力增大。

2)原因

(1)进出洞不顺利的主要原因是因为在深复土的条件下,土压力和地下水压力均会有较大的增加,在制订施工方案时对此认识不足,所以会产生诸如洞口喷水、洞口止水圈翻边和冒泥等。

(2)在深覆土条件下,主动土压力比较大,而管子及顶管机在导轨上的摩阻力不足以抵抗顶管机断面上所受到的主动土压力时,顶管机和管道均会产生后退。如果遇到障碍物时,也会使初始推力增大,尤其是在采用沉井施工的工作坑和接收坑中,会有钢筋、脚手架钢管、未拨去的井管、地面上落下的块石等障碍物挡在顶管机前,也是使初始顶力增加的原因之一。

3)防治措施

(1)首先从制订施工方案开始,对深复土条件下的各种情况应有所预见,并且采取切实可行的技术措施,以增加洞口止水圈的可靠性。另外,在深复土条件下,一般推进距离也比较长,洞口止水圈容易损坏,还应当考虑到它的可更换性。

(2)采用止退装置:它可以是用钢管或型钢做成的支撑在管子与后座之间支撑;也可以是用大吨位手拉葫芦挂在洞口墙,再用钩子钩住欲后退的管子;还可以是在基坑导轨上设止退卡,等等。

(3)如果是土体加固变硬所致,那只能减缓推进速度,如果是障碍,则必须设法把其排除。

2.双排平行推进时方向易失控

(1)现象。在两排平行推进的过程中,后顶的一段管子方向极容易向已顶好的一段管子靠近,而且不容易纠正。

(2)原因。在双排平行推进的管道中,可以采用先顶完一段,然后再顶第二段,在这中间间隔的时间较长,则不容易偏。如果需同时推进也必须使两面管机在前后保持10~20m的距离。产生第二段管节或后顶的一段管节向第一段或先顶的一段管节靠近的主要原因是在于第一段管节施工时其周围的土体有所扰动,从而使作用在第二段管节两个侧面的土压力不等,所以第二段管节在顶进过程中会向第一段管节靠拢。

(3)防治措施。主要是使两段管节保持合适的中心距。由于泥水顶管、土压顶管及手掘式顶管对土体的扰动以及扰动后的土体稳定时间有长短,所以它们各自的中心距,即使在同一口径,同一条件下也有所不同。另外,影响中心距的又一个重要因素是土质条件。根据多年顶管经验和工作实践,提出一个确定各种双排顶管中心距的公式,即:

L≥αBe

式中 L——两平行管的中心距;

α——经验系数;

Be——管顶扰动宽度。

α应根据不同的工法而取不同的值:在泥水顶管工法中,α可取1.5~2之间的值;在土压顶管工法中,α可取1.0~1.5之间的值;手掘式α则可取0.5~1.0之间的值。其中,手掘式顶管施工大多有降低地下水的辅助施工措施,土体较稳定,所以α可取小一些。

Be则是管顶土体扰动宽度,可由下式计算:

[1+sin(45°-Φ2)]DBe=cos5°-Φ(4)2

式中 D——顶管机等效直径;

Φ——土的内摩擦角。

D可以在顶管机的实际外径D0上加上0.1m即可。

3.斜穿河底易产生方向偏差严重

(1)现象。在斜穿河底的顶管施工中,顶管机容易向与河道中心线成锐角的一边偏,而且不容易纠正,这个锐角的角度越小,偏差就越大。

(2)原因。在斜穿河道的顶管施工中,把作用在管道的每一个断面上的两侧土压力进行分析时发现:在管道即将靠近河道的一些断面上,顶管机及管节两边的土压力是不等的,且靠近河流的一边小,另一边大,这就是顶管机产生向河道偏差的主要原因。

(3)防治措施。认识了上述规律以后就做到心中有数,在施工中让管节有一个向相反方向的预偏差和趋势。另外,遇到上述顶管建议采用多刀盘顶管机。因为该机由四个刀盘均布在四个象限中,我们可以用停止某两个刀盘而只开另外两个刀盘,顶管机就非常容易地向开着的两个刀盘的方向偏去,此办法在软土中非常有效。