2.3.1 矩阵逆的概念
2026年01月14日
2.3.1 矩阵逆的概念
设给定一个线性变换:

它的系数矩阵是一个n阶矩阵A,若记

则线性变换(2.14)可记作
![]()
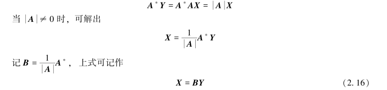
以A的伴随阵A*左乘上式两端,可得

式(2.16)表示一个从Y到X的线性变换,称为线性变换(2.15)的逆变换.将式(2.16)代入式(2.15),可得
![]()
可见AB为恒等变换所对应的矩阵,故AB=E.将式(2.15)代入(2.16),可得
![]()
于是有BA=E.从而有
(https://www.daowen.com)
由此引入逆矩阵的定义.
定义2.3.1 对于n阶矩阵A,如果有一个n阶矩阵B,使
![]()
则称矩阵A是可逆的,并称B为A的逆矩阵,简称逆阵.
若矩阵A可逆,则A的逆阵是唯一的.事实上,假设B和C都是A的逆矩阵,即同时有
![]()
则
![]()
所以A的逆阵是唯一的.
A的逆阵记作A-1,即若AB=BA=E,则B=A-1.

因此,按逆矩阵的定义,可知A可逆,且有
